Involvement of PAR2 in inflammatory mediator release from human blood eosinophils
- Authors: Hu X.1, Wang H.2
-
Affiliations:
- Danyang Second People Hospital
- Department of Pediatrics, Laval University
- Issue: Vol 26, No 2 (2023)
- Pages: 129-140
- Section: ORIGINAL ARTICLES
- Submitted: 22.05.2023
- Accepted: 19.06.2023
- Published: 07.07.2023
- URL: https://rusimmun.ru/jour/article/view/10759
- DOI: https://doi.org/10.46235/1028-7221-10759-IOP
- ID: 10759
Cite item
Full Text
Abstract
Proteinase Activated Receptors (PARs) are the members of G-protein-coupled receptor family and can be cleaved by certain serine proteases to expose a tethered ligand domain, which binds and activates the receptors to initiate multiple signaling cascades. There is some evidence that certain proteases may regulate target cells by activating PARs. There are many studies, in which PARs play important roles in inflammation. One study indicated that PAR2 inhibition and deletion significantly suppressed the degree of inflammation due to decreased IL-6 and IL-1β levels. Another study also showed that PAR’s activation could mediate reactive oxygen species production and MAPK signaling leading to alveolar inflammation. In addition, platelet-derived CAPN1 can trigger the vascular inflammation associated with diabetes via cleavage of PAR1 and the release of TNFα from the endothelial cell surface, and sarsasapogenin may alleviate diabetic nephropathy by the downregulation of PAR1. Another Phellodendron amurense bark extract can suppress the particulate matter-induced Ca2+ influx caused by direct action upon PAR2, alleviating inflammation and maintaining homeostatic levels of cell adhesion components. There are also other two antagonists of I-287 and GB88, which can reduce the PAR2-mediated inflammatory reaction. In this study, we tested expression of PARs and IL-5, IL-6, RANTES and ECP release from human blood eosinophils using different enzymes and PAR agonists. The expression of PARs was assessed in human blood eosinophils by flow cytometry and RT-PCR, and the levels of cytokine and eosinophil cationic protein (ECP) in the cultured supernatants were determined with ELISA kits. Flow cytometry shows that human eosinophils express PAR2 protein and do not express PAR1, PAR3 and PAR4 proteins. RT-PCR analysis revealed expression of PAR2 and PAR3 genes in human eosinophils. Tryptase, trypsin and elastase can induce significant IL-5, IL-6 and ECP release. Trypsin and elastase may also stimulate RANTES secretion, but tryptase cannot induce the RANTES secretion. Tryptase, trypsin and elastase-induced cytokine and ECP release from human blood eosinophils most likely occurs via activation of PAR2.
Keywords
Full Text
Introduction
There are some evidences that certain proteases can regulate target cells by activating PARs [1]. Four members of this receptor family has been cloned and named PAR1, PAR2, PAR3 and PAR4 [14, 15, 25, 27, 31, 35]. Human PAR1, PAR2 and PAR3 are activated by thrombin [14, 15, 27, 31, 35], however PAR2 is activated by trypsin [25]. It has been reported that they are expressed on many inflammatory cells, such as mast cells [12, 26, 36], eosinophils [5, 10, 24], neutrophils [32], macrophages [17, 28], T cells and B cells [4, 13, 16]. There are many studies, in which PARs play important roles in inflammation. One study indicated that PAR2 inhibition and deletion significantly suppressed inflammatory level, which was related to decreased IL-6 and IL-1β levels [3]. Another study also showed that PARs activation could mediate reactive oxygen species production and MAPK signaling leading to alveolar inflammation [19]. In addition, platelet-derived CAPN1 can trigger the vascular inflammation associated with diabetes via the cleavage of PAR1 and the release of TNFá from the endothelial cell surface and sarsasapogenin can alleviate diabetic nephropathy through down-regulating PAR1 [21, 29]. Another phellodendron amurense bark extract can suppress particulate matter-induced Ca2+ influx by directly acting on PAR2, alleviate inflammation and maintain homeostatic levels of cell adhesion components [8]. There are also other two antagonists of I-287 and GB88, which can reduce PAR2 mediated inflammatory reaction [24, 25]. Furthermore, the inhibition of PAR4 can reduce neuroinflammation [22].
Eosinophils are considered to be one of the major effector cells in asthma and there is a strong linkage between the accumulation of eosinophils in the airways of asthma and symptoms. Once present in the tissue, they respond to specific stimuli and release a variety of proinflammatory mediators such as lipid metabolites and cytotoxic granule proteins. Secretion of these mediators causes tissue damage within the airways and contributes to the characteristics of asthma [27].
Previous study indicates that trypsin can stimulate the release of inflammatory mediators from human eosinophils via the activation of PAR2. Human eosinophils express PAR2 [6, 24]. However, the effects of PAR2 agonists on the secretion of IL-5 and RANTES from human eosinophils are unclear. In the current study, the effects of trypsin, tryptase, elastase and PAR2 agonist peptides SLIGKV-NH2 and tc-LIGRLO-NH2 on IL-5 and RANTES release from human eosinophils were investigated. The effects of these agonists on IL-6 and ECP secretion were also evaluated.
Materials and methods
Materials
Human trypsin, soy bean trypsin inhibitor (SBTI), leupeptin hemisulfate, benzamidine, PAR2 inhibitor and bovine serum albumin (BSA, fraction v) were purchased from Sigma (St Louis, MO, USA). Recombinant human lung beta tryptase was from Promega (Madison, WI, USA). Human IL- 5, IL-6 and RANTES ELISA kits were obtained from Pierce. Human ECP ELISA kit was obtained from Cusabio. Agonist peptides of PAR2, SLIGKV- NH2 and tc-LIGRLO-NH2 were synthesized in CL Bio-Scientific Inc (Xi An, China). RPMI 1640, Pen-Strep, fetal calf serum (FCS) and insulin were from GIBCO. Ficoll-Paque Plus was obtained from Amersham Biosciences (Uppsala, Sweden). Anti-CD16 magnetic bead antibody was purchased from MiltenyiBiotec. Fluorescein isothiocyanate (FITC) conjugated mouse anti-human PAR1 and PAR2 monoclonal antibodies, rabbit anti-human PAR3 and PAR4 polyclonal antibodies, mouse IgG1 FITC and IgG2a, rabbit IgG and goat anti-rabbit IgG-FITC were from Santa Cruz Biotechnology (Santa Cruz, CA, USA). FITC-labeled mouse anti-human CD49d antibody was obtained from BioLegend. Trizol reagent was purchased from Invitrogen (Carlshad, CA, USA). The reverse transcription PCR kit was from TakaRa, (Dalian, China). SYBR Green 1 Nucleic Acid Gel Stain was obtained from BMA Inc (USA). All other reagents of analytic grade were obtained from Sigma (St. Louis, MO, USA).
Isolation of human blood eosinophils
The informed consent from 5 healthy volunteers and agreement with the ethical committee of Danyang Second People Hospital were obtained. Human blood eosinophils were isolated by a Ficoll-Paque density gradient method [29]. In brief, fresh peripheral blood was obtained from healthy volunteers, 200 mL from each individual per visit. After centrifugation at 500 × g for 30 min, the granulocyte layer directly above the red blood cells was carefully collected with a pipette. The collected cells were then resuspended in 0.5 mL of a buffer, containing PBS and 1% FCS and the remaining red blood cells were lysed by adding H2O at room temperature for 45 seconds with the equilibration by 1.8% NaCL. After washing twice with PBS, containing 1% FCS at 500 × g for 5 min, eosinophils were resuspended in RPMI 1640 medium, containing 0.5% BSA and 2M EDTA and were incubated with anti-CD16 magnetic bead antibody at 4 °C for 30 min and eluted 3 times in 5 mL buffer. The purity of eosinophils was consistently more than 95% with a little contaminated neutrophils as determined with FITC-labeled mouse anti-human CD49d antibody by flow cytometry and cell count and cell viability was more than 98% as judged by trypan blue dye exclusion.
Determination of PAR expression on human eosinophils
To detect PAR1 and PAR2 expression, purified human eosinophils were incubated with FITC-conjugated mouse anti-human PAR1 and PAR2 monoclonal antibodies for 2 hours on ice. Similarly, for the detection of PAR3 and PAR4 expression, purified human eosinophils were incubated with rabbit anti-human PAR3 and PAR4 polyclonal antibodies for 15 minutes on ice and followed by the incubation of FITC-conjugated goat anti-rabbit IgG for 30 minutes. The cells were washed twice with PBS and were resuspended in 0.5 mL PBS for flow cytometric analyses using a FACScan cytometer (BD Biosciences, San Jose, CA, USA). Data were acquired and analyzed with CellQuest software (BD Immunocytometry Systems).
Determination of PAR mRNA expression on human eosinophils
Total RNA was extracted from eosinophils using TRIzol reagent and was reverse-transcribed to random primed cDNA with a commercial RT-PCR kit according to the manufacturer’s instructions. PCR amplification of the cDNA was conducted using β-actin as the internal control. The amplification conditions were as follows: for PAR1, PAR2, PAR3 and PAR4, 94 °C for 2 min, followed by 35 cycles at 94 °C for 30 s, 67 °C for 30 s, 72 °C for 1 min and then a final elongation cycle of 10 min at 72 °C. For β-actin, 94 °C for 2 min, followed by 35 cycles at 94 °C for 30 s, 55 °C for 30 s, 72 °C for 30 s and then a final elongation cycle of 10 min at 72 °C. Electrophoresis was conducted on 1.5% agarose gels that were stained with SYBR Green 1 Nucleic Acid Gel Stain (BMA) and photographed under UV light. PCR products were confirmed by sequencing.
Challenge of human eosinophils
In order to allow cells to recover from purification procedure, isolated eosinophils were cultured in 24 well culture plates at a density of 1 × 106 cells/well in RPMI 1640 medium (containing 2% FCS and 1% Pen/Strep) at 37 °C with 5% CO2 for at least 1 h. The culture supernatants were then removed and the cells were washed with RPMI 1640 medium twice at 300 × g for 10 min. For challenge experiments, cells were exposed to various concentrations of trypsin (0.01-1 μg/mL), tryptase (0.125-0.5 μg/mL), elastase (0.125-0.5 μg/mL), inhibitors of proteinases (10 and 30 μg/ mL), PAR2 inhibitor (30 μg/mL) and agonist peptides of PAR2 (all at 0.1-100 μM) for 16 h and 30 min respectively before the culture supernatants were harvested and stored at -80 °C until use.
Measurement of IL-5, IL-6, RANTES and ECP
The levels of IL-5, IL-6, RANTES and ECP in the culture supernatants were determined with an ELISA Kit according to the manufacturer’s instructions. The optical density (OD) of samples was measured using a Spectra Max 340 PC Microplate Reader (Molecular Devices, USA).
Statistical analysis
The values were shown as mean ± SEM and the differences between groups were tested for significance using the Student’s t test. * p < 0.05 and ** p < 0.01 were taken as statistically significant. All statistics were performed using SPSS 11.0 for Windows (SPSS Inc).
Results
Expression of PAR2 by human eosinophils
Eosinophils express PAR2, not PAR1, PAR3 or PAR4 protein (Figure 1). RT-PCR analyses show that eosinophils express only PAR2 and PAR3, not PAR1 and PAR4 mRNA (Figure 2). The experiments were repeated 5 times with five different donors.
Figure 1. Expression of PARs protein by flow cytometry analysis on human eosinophils
Note. Eosinophils express PAR2 protein and do not express PAR1, PAR3 and PAR4 proteins.
Figure 2. mRNA expression of PARs by RT-PCR analysis in human eosinophils
Note. RT-PCR shows that eosinophils express PAR2 and PAR3 genes and did not express PAR1 and PAR4 genes. Lanes 1-6 represent PAR1, PAR2, PAR3, PAR4, β-actin and DNA marker, respectively.
Effects of serine proteinases on IL-5, IL-6, RANTES and ECP secretion from human eosinophils
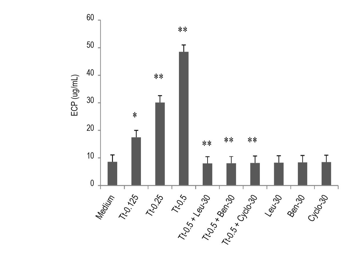
Tryptase at concentration of 0.125 μg/mL induced much more IL-5, IL-6 and ECP secretion and at concentrations of 0.25 μg/mL and 0.5 μg/mL induced more significant IL-5, IL-6 and ECP secretion from eosinophils, when compared to medium, leupeptin, benzamide and cycloheximide controls. The tryptase inhibitors, leupeptin and benzamide and PAR2 inhibitor, cycloheximide inhibited tryptase-induced IL-5, IL-6 and ECP release at concentration of 30 μg/ mL, when they were mixed with 0.5 μg/ mL of tryptase (Figures 3, 4, 5). Similarly, trypsin at concentrations of 0.1 μg/mL and 1.0 μg/ mL induced more significant IL-5, IL-6, RANTES and ECP secretion from eosinophils, when compared to medium, SBTI and cycloheximide controls. Trypsin inhibitor, SBTI at concentrations of 10 μg/mL and 30 μg/mL and PAR2 inhibitor, cycloheximide at concentration of 30 μg/mL could substantially reduce trypsin-induced IL-5, IL-6, RANTES and ECP release, when they were mixed with 0.1μg/ mL of trypsin. However, trypsin at concentration of 0.01 μg/ mL failed to induce IL-5, IL-6, RANTES and ECP secretion from eosinophils, when compared to medium, SBTI and cycloheximide controls (Figures 6, 7, 8, 9). Furthermore, elastase at concentrations of 0.25 μg/mL and 0.5 μg/ mL induced more significant IL-5, IL-6, RANTES and ECP secretion from eosinophils, when compared to medium, EI and cycloheximide controls. Elastase inhibitor and PAR2 inhibitor, cycloheximide at concentration of 30 μg/ mL could significantly reduce elastase-induced IL-5, IL- 6, RANTES and ECP release, when they were mixed with 0.5 μg/mL of elastase. However, elastase at concentration of 0.125 μg/mL failed to induce IL-5, IL-6, RANTES and ECP secretion from eosinophils, when compared to medium, EI and cycloheximide controls (Figures 10, 11, 12, 13).
Figure 3. Effects of tryptase on IL-5 release from human eosinophils
Note. Tryptase at concentration of 0.125 μg/mL induced much more IL-5 secretion and at concentrations of 0.25 μg/mL and 0.5 μg/mL induced more significant IL-5 secretion from eosinophils, when compared to medium, leupeptin, benzamide and cycloheximide controls. Tryptase inhibitors, leupeptin and benzamideand and PAR2 inhibitor, cycloheximide inhibited tryptase-induced IL-5 release at concentration of 30 μg/mL, when they were mixed with 0.5 μg/mL of tryptase.
Figure 4. Effects of tryptase on IL-6 release from human eosinophils
Note. Tryptase at concentration of 0.125 μg/mL induced much more IL-6 secretion and at concentrations of 0.25 μg/mL and 0.5 μg/ mL induced more significant IL-6 secretion from eosinophils, when compared to medium, leupeptin, benzamide and cycloheximide controls. Tryptase inhibitors, leupeptin and benzamide and PAR2 inhibitor, cycloheximide inhibited tryptase-induced IL-6 release at concentration of 30 μg/mL, when they were mixed with 0.5 μg/mL of tryptase.
Figure 5. Effects of tryptase on ECP release from human eosinophils
Note. Tryptase at concentration of 0.125 μg/mL induced much more ECP secretion and at concentrations of 0.25 μg/mL and 0.5 μg/ mL induced more significant ECP secretion from eosinophils, when compared to medium, leupeptin, benzamide and cycloheximide controls. Tryptase inhibitors, leupeptin and benzamide and PAR2 inhibitor, cycloheximide inhibited tryptase-induced ECP release at concentration of 30 μg/mL, when they were mixed with 0.5 μg/mL of tryptase.
Figure 6. Effects of trypsin on IL-5 release from human eosinophils
Note. Trypsin at concentrations of 0.1 μg/mL and 1.0 μg/mL induced more significant IL-5 secretion from eosinophils, when compared to medium, leupeptin, benzamide and cycloheximide controls. Trypsin inhibitor, SBTI at concentrations of 10 μg/mL and 30 μg/mL and PAR2 inhibitor, cycloheximide at concentration of 30 μg/mL can substantially reduce trypsin-induced IL-5 release, when they are mixed with 0.1 μg/ mL of trypsin.
Figure 7. Effects of trypsin on IL-6 release from human eosinophils
Note. Trypsin at concentrations of 0.1 μg/mL and 1.0 μg/mL induced more significant IL-6 secretion from eosinophils, when compared to medium, leupeptin, benzamide and cycloheximide controls. Trypsin inhibitor, SBTI at concentrations of 10 μg/mL and 30 μg/mL and PAR2 inhibitor, cycloheximide at concentration of 30 μg/mL can substantially reduce trypsin-induced IL-6 release, when they are mixed with 0.1 μg/mL of trypsin.
Figure 8. Effects of trypsin on RANTES release from human eosinophils
Note. Trypsin at concentrations of 0.1 μg/mL and 1.0 μg/mL induced more significant RANTES secretion from eosinophils, when compared to medium, leupeptin, benzamide and cycloheximide controls. Trypsin inhibitor, SBTI at concentrations of 10 μg/mL and 30 μg/mL and PAR2 inhibitor, cycloheximide at concentration of 30 μg/mL can substantially reduce trypsin-induced RANTES release, when they are mixed with 0.1 μg/mL of trypsin.
Figure 9. Effects of trypsin on ECP release from human eosinophils
Note. Trypsin at concentrations of 0.1 μg/mL and 1.0 μg/mL induced more significant ECP secretion from eosinophils, when compared to medium, leupeptin, benzamide and cycloheximide controls. Trypsin inhibitor, SBTI at concentrations of 10 μg/mL and 30 μg/mL and PAR2 inhibitor, cycloheximide at concentration of 30 μg/mL can substantially reduce trypsin-induced ECP release, when they are mixed with 0.1 μg/mL of trypsin.
Figure 10. Effects of elastase on IL-5 release from human eosinophils
Note. Elastase at concentrations of 0.25 μg/mL and 0.5 μg/mL induced more significant IL-5 secretion from eosinophils, when compared to medium, leupeptin, benzamide and cycloheximide controls. Elastase inhibitor, EI and PAR2 inhibitor, cycloheximide at concentration of 30 μg/mL can substantially reduce elastase-induced IL-5 release, when they are mixed with 0.5 μg/mL of elastase.
Figure 11. Effects of elastase on IL-6 release from human eosinophils
Note. Elastase at concentrations of 0.25 μg/mL and 0.5 μg/mL induced more significant IL-6 secretion from eosinophils, when compared to medium, leupeptin, benzamide and cycloheximide controls. Elastase inhibitor, EI and PAR2 inhibitor, cycloheximide at concentration of 30 μg/mL can substantially reduce elastase-induced IL-6 release, when they are mixed with 0.5 μg/mL of elastase.
Figure 12. Effects of elastase on RANTES release from human eosinophils
Note. Elastase at concentrations of 0.25 μg/mL and 0.5 μg/mL induced more significant RANTES secretion from eosinophils, when compared to medium, leupeptin, benzamide and cycloheximide controls. Elastase inhibitor, EI and PAR2 inhibitor, cycloheximide at concentration of 30 μg/mL can substantially reduce elastase-induced RANTES release, when they are mixed with 0.5 μg/mL of elastase.
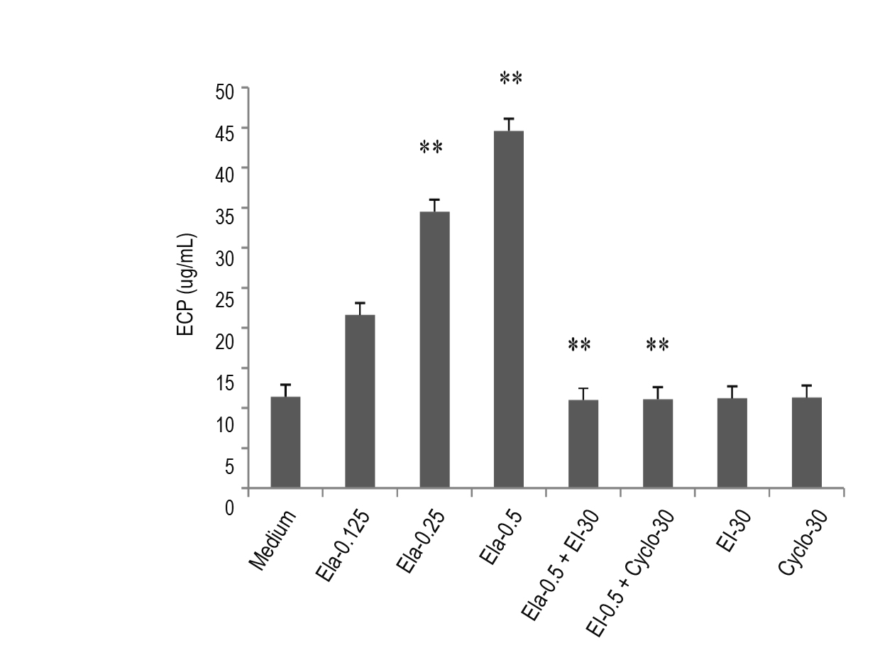
Figure 13. Effects of elastase on ECP release from human eosinophils
Note. Elastase at concentrations of 0.25 μg/mL and 0.5 μg/mL induced more significant ECP secretion from eosinophils, when compared to medium, leupeptin, benzamide and cycloheximide controls. Elastase inhibitor, EI and PAR2 inhibitor, cycloheximide at concentration of 30 μg/mL can substantially reduce elastase-induced ECP release, when they are mixed with 0.5 μg/mL of elastase.
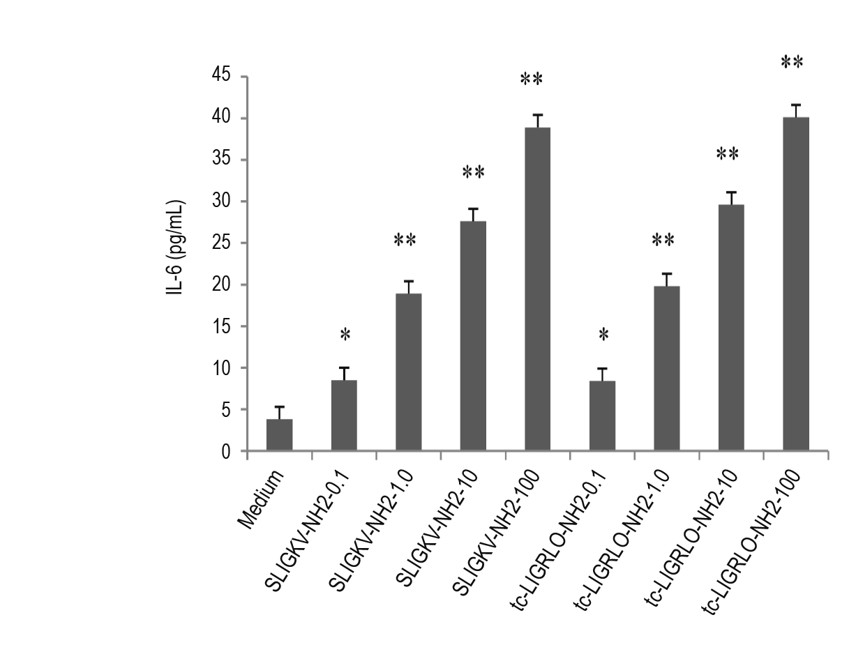
Effects of PAR2 agonist peptides on IL-5, IL-6, RANTES and ECP secretion from human eosinophils
The PAR2 agonist peptides SLIGKV-NH2 and tc-LIGRLO-NH2 at concentration of 0.1 μg/mL induced much more IL-5, IL-6, RANTES and ECP secretion and at concentrations of 1.0 μg/mL, 10 μg/ mL and 100 μg/mL induced more significant IL- 5, IL-6 and RANTES release from eosinophils, when compared to medium control (Figures 14, 15, 16, 17).
Figure 14. Effects of PAR2 agonist peptides on IL-5 release from human eosinophils
Note. The PAR2 agonist peptides SLIGKV-NH2 and tc-LIGRLO-NH2 at concentration of 0.1 μg/mL induced much more IL-5 secretion and at concentrations of 1.0 μg/mL, 10 μg/mL and 100 μg/mL induced more significant IL-5 release from eosinophils, when compared to medium control.
Figure 15. Effects of PAR2 agonist peptides on IL-6 release from human eosinophils
Note. The PAR2 agonist peptides SLIGKV-NH2 and tc-LIGRLO-NH2 at concentration of 0.1 μg/mL induced much more IL-6 secretion and at concentrations of 1.0 μg/mL, 10 μg/mL and 100 μg/mL induced more significant IL-6 release from eosinophils, when compared to medium control.
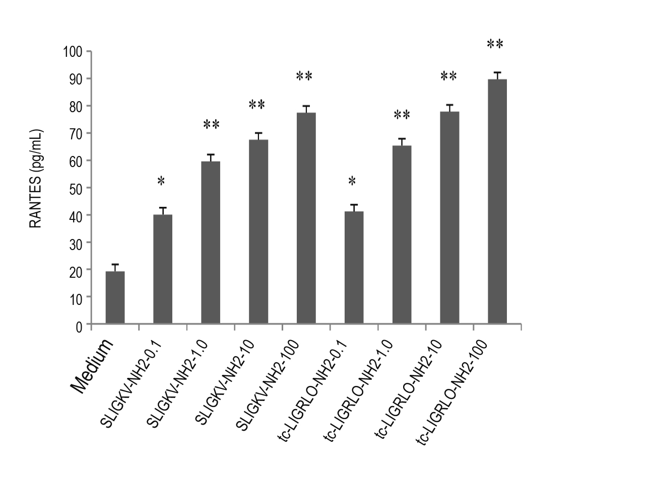
Figure 16. Effects of PAR2 agonist peptides on RANTES release from human eosinophils
Note. The PAR2 agonist peptides SLIGKV-NH2 and tc-LIGRLO-NH2 at concentration of 0.1 μg/mL induced much more RANTES secretion and at concentrations of 1.0 μg/mL, 10 μg/mL and 100 μg/mL induced more significant RANTES release from eosinophils, when compared to medium control.
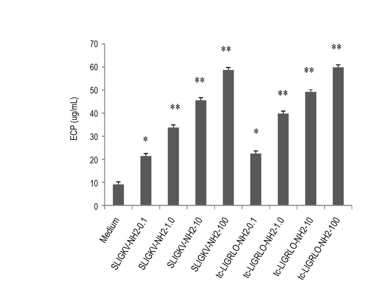
Figure 17. Effects of PAR2 agonist peptides on ECP release from human eosinophils
Note. The PAR2 agonist peptides SLIGKV-NH2 and tc-LIGRLO-NH2 at concentration of 0.1 μg/mL induced much more ECP secretion and at concentrations of 1.0 μg/mL, 10 μg/mL and 100 μg/mL induced more significant ECP release from eosinophils, when compared to medium control.
Discussion
It was demonstrated for the first time that serine proteinases could induce the release of IL-5, IL-6, RANTES and ECP from human eosinophils. Tryptase could induce significant amount of IL-5, IL-6 and ECP secretion at concentrations of 0.25 μg/mL and 0.5 μg/mL. Trypsin at concentrations of 0.1 μg/ mL and 1.0 μg/mL and elastase at concentrations of 0.25 μg/mL and 0.5 μg/mL could induce a large amount of IL-5, IL-6, RANTES and ECP release and it is implicated that these serine proteinases are effective activators of human eosinophils.
Since PAR2 is a receptor for trypsin, tryptase and elastase, the effects of trypsin, tryptase and elastase on the release of IL-5, IL-6, RANTES and ECP are most likely through the activation of PAR2. It has been reported that the mast cell tryptase may have crucial roles in inducing lung fibroblast migration via PAR2 activation, which may contribute to remodeling processes in chronic lung diseases [2]. Similar report also indicates that tryptase in neutrophil migration, and lung inflammation is dependent on PAR2 activation [9]. Furthermore, tryptase can induce eosinophil recruitment in vivo through the activation of PAR2 [23]. All these findings indicate that there is an interaction between tryptase and PAR2 and are consistent with the present results. The tryptase inhibitors, leupeptin and benzamide and PAR2 inhibitor, cycloximide can diminish tryptase-induced IL-5, IL-6 and ECP secretion, indicating that the action of tryptase on eosinophils is dependent upon its intact catalytic site. In the present experiment, tryptase fails to induce the release of RANTES (data not shown) and lack of role of tryptase in induction of RANTES secretion suggests that PAR2 activation may very improbably have any functional roles in the process of RANTES release. Furthermore, there are evidence that tryptase does not induce the secretion of RANTES [7, 30]. These results support the current study.
It has been reported that trypsin and PAR2 play an important role in the aggressiveness of ovarian cancer [18]. Another study also shows that trypsin and PAR2 signaling can cause pancreatic cancer pain [37]. Furthermore, trypsin can induce inflammatory mediator release from human eosinophils via the activation of PAR2 [24]. All these findings also suggest that there is an interaction between trypsin and PAR2 and are consistent with the present results. Similarly, trypsin and PAR2 inhibitors significantly diminish trypsin-induced IL-5, IL-6, RANTES and ECP secretion, indicating that the action of trypsin on eosinophils is also dependent upon its intact catalytic site.
It is easy to imagine that elastase can cause the release of IL-5, IL-6, RANTES and ECP, since PAR2 is highly expressed after allergen stimulation in eosinophilic response and elastase inhibitor can reduce this response [20]. This study indicates the relationship between elastase and PAR2 and supports current finding.
To better understand the actions of tryptase, trypsin and elastase on human eosinophils, it is crucial to confirm the expression of PARs on eosinophils. Human eosinophils express PAR2, not PAR1, PAR3 or PAR4 protein. This result indicates that tryptase, trypsin and elastase are likely to induce the release of IL-5, IL-6, RANTES and ECP by activating PAR2. PAR2 agonist peptides SLIGKV-NH2 and tc-LIGRLO-NH2 can induce the secretion of IL-5, IL- 6, RANTES and ECP from human eosinophils and it is once again demonstrated that tryptase, trypsin and elastase are likely interacted with PAR2.
In conclusion, human eosinophils express PAR2 protein and tryptase, trypsin and elastase are able to induce IL-5, IL-6, RANTES and ECP release from human eosinophils. The actions of tryptase, trypsin and elastase on eosinophil activation are most likely through activation of PAR2. The finding that mast cell tryptase can activate eosinophils demonstrates once again the interactions between mast cells and eosinophils in inflammation in man.
Conclusions
Tryptase, trypsin and elastase-induced cytokine and ECP release from human blood eosinophils most likely occurs via the activation of PAR2.
Acknowledgments
We thank Xinyu Hu for performing the experiment.
About the authors
Xinyu Hu
Danyang Second People Hospital
Email: wzy0222@gmail.com
BSc, Director of Clinical Lab Center, Permanent, Danyang Second People Hospital, Danyang, Jiangsu, China
Taiwan, Province of China, Danyang, JiangsuHaoyang Wang
Department of Pediatrics, Laval University
Author for correspondence.
Email: why1027cn@gmail.com
PhD (Medicine), Director of Centre de Recherche du CHUL (CHUQ), Permanent, Department of Pediatrics, Laval University, Québec, Canada
Canada, Québec, QuébecReferences
- Avet C., Sturino C., Grastilleur S., Gouill C.L., Semache M., Gross F., Gendron L., Bennani Y., Mancini J.A., Sayegh C.E., Bouvier M. The PAR2 inhibitor I-287 selectively targets Gαq and Gα12/13 signaling and has anti-inflammatory effects. Commun. Biol., 2020, Vol. 3, no. 1, 719. doi: 10.1038/s42003-020-01453-8.
- Bagher M., Larsson-Callerfelt A.K., Rosmark O., Hallgren O., Bjermer L., Westergren-Thorsson G. Mast cells and mast cell tryptase enhance migration of human lung fibroblasts through protease-activated receptor 2. Cell Commun. Signal., 2018, Vol. 16, no. 1, 59. doi: 10.1186/s12964-018-0269-3.
- Bang E., Kim D.H., Chung H.Y. Protease-activated receptor 2 induces ROS-mediated inflammation through Akt-mediated NF-B and FoxO6 modulation during skin photoaging. Redox Biol., 2021, Vol. 44, 102022. doi: 10.1016/j.redox.2021.102022.
- Belibasakis G.N., Bostanci N., Reddi D. Regulation of protease-activated receptor-2 expression in gingival fibroblasts and Jurkat T cells by Porphyromonas gingivalis. Cell Biol. Int., 2010, Vol. 34, no. 3, pp. 287-292.
- Bolton S.J., McNulty C.A., Thomas R.J., Hewitt C.R., Wardlaw A.J. Expression of andfunctional responses to protease-activated receptors on human eosinophils. J. Leukoc. Biol.,2003, Vol. 74, no. 1, pp. 60-68.
- Brass L.F., Molino M. Protease-activated G protein-coupled receptors on human platelets and endothelial cells. Thromb. Haemost., 1997, Vol. 78, no. 1, pp. 234-241.
- Chhabra J., Li Y.Z., Alkhouri H., Blake A.E., Ge Q., Armour C.L., Hughes J.M. Histamine and tryptase modulate asthmatic smooth muscle GM-CSF and RANTES release. Eur. Respir. J., 2007, Vol. 29, no. 5, pp. 861-870.
- Choi J., Moon M.Y., Han G.Y., Chang M.S., Yang D., Cha J. Phellodendronamurense extract protects human keratinocytes from PM2.5-induced inflammation via PAR-2 Signaling. Biomolecules, 2020, Vol. 11, no. 1, 23. doi: 10.3390/biom11010023.
- de Almeida A.D., Silva I.S., Fernandes-Braga W., imaFilho A.C.M., Florentino R.O.M., Barra A., de Oliveira Andrade L., Leite M.F., Cassali G.D., Klein A. A role for mast cells and mast cell tryptase in driving neutrophil recruitment in LPS-induced lung inflammation via protease-activated receptor 2 in mice. Inflamm. Res., 2020, Vol. 69, no. 10, pp. 1059-1070.
- Dinh Q.T., Cryer A., Trevisani M., Dinh S., Wu S., Cifuentes L.B., Feleszko W.K., Williams A., Geppetti P., Fan Chung K., Heppt W., Klapp B.F., Fischer A. Gene and protein expression of protease-activated receptor 2 in structural and inflammatory cells in the nasal mucosa in seasonal allergic rhinitis. Clin. Exp. Allergy, 2006, Vol. 36, no. 8, pp. 1039-1048.
- Hansel T.T., de Vries I.J., Iff T., Rihs S., Wandzilak M., Betz S., Blaser K., Walker C. An improved immunomagnetic procedure for the isolation of highly purified human blood eosinophils. J. Immunol. Methods, 1991, Vol. 145, no. 1-2, pp. 105-110.
- He S., Zhang Z., Zhang H., Wei J., Yang L., Yang H., Sun W., Zeng X., Yang P. Analysis ofproperties and proinflammatory functions of cockroach allergens Per a 1.01s. Scand. J. Immunol., 2011, Vol. 74, no. 3, pp. 288-295.
- Hurley A., Smith M., Karpova T., Hasley R.B., Belkina N., Shaw S., Balenga N., Druey K.M., Nickel E., Packard B., Imamichi H., Hu Z., Follmann D., McNally J., Higgins J., Sneller M., Lane H.C., Catalfamo M. Enhanced effector function of CD8(+) T cells fromhealthy controls and HIV-infected patients occurs through thrombin activation of protease-activated receptor 1. J. Infect. Dis., 2013, Vol. 207, no. 4, pp. 638-650.
- Ishihara H., Connolly A.J., Zeng D., Kahn M.L., Zheng Y.W., Timmons C., Tram T., Coughlin S.R. Protease-activated receptor 3 is a second thrombin receptor in humans. Nature.,1997, Vol. 386, no. 6624, pp. 502-506.
- Kahn M.L., Zheng Y.W., Huang W., Bigornia V., Zeng D., Moff S., Farese R.V., Jr, Tam C,, Coughlin S.R. A dual thrombin receptor system for platelet activation. Nature, 1998, Vol. 394, no. 6694, pp. 690-694.
- Kalashnyk O., Petrova Y., Lykhmus O., Mikhalovska L., Mikhalovsky S., Zhukova A.,Gnatenko D., Bahou W., Komisarenko S., Skok M. Expression, function and cooperatingpartners of protease-activated receptor type 3 in vascular endothelial cells and B lymphocytes studied with specific monoclonal antibody. Mol. Immunol., 2013, Vol. 54, no. 3-4, pp. 319-326.
- Kim J.Y., Sohn J.H., Choi J.M., Lee J.H., Hong C.S., Lee J.S., Park J.W. Alveolar macrophages play a key role in cockroach-induced allergic inflammation via TNF- pathway. PLoS One, 2012, Vol. 7, no. 10, e47971. doi: 10.1371/journal.pone.0047971.
- Kim K.K., Turner R., Khazan N., Kodza A., Jones A., Singh R.K., Moore R.G. Role of trypsin and protease-activated receptor-2 in ovarian cancer. PLoS One, 2020, Vol. 15, no. 5, pp. e0232253. doi: 10.1371/journal.pone.0232253.
- Kim Y.H., Kang M.K., Lee E.J., Kim D.Y., Oh H., Kim S.I., Oh S.Y., Na W., Shim J.H., Kang I.J., Kang Y.H. Astragalin Inhibits Cigarette Smoke-Induced Pulmonary Thrombosis and Alveolar Inflammation and Disrupts PAR Activation and Oxidative Stress-Responsive MAPK-Signaling. Int. J. Mol. Sci., 2021, Vol. 22, no. 7, 3692. doi: 10.3390/ijms22073692.
- Koga H., Miyahara N., Fuchimoto Y., Ikeda G., Waseda K., Ono K., Tanimoto Y., Kataoka M., Gelfand E.W., Tanimoto M., Kanehiro A. Inhibition of neutrophil elastase attenuates airway hyperresponsiveness and inflammation in a mouse model of secondary allergen challenge: neutrophil elastase inhibition attenuates allergic airway responses. Respir. Res. 2013, Vol. 14, no. 1, 8. doi: 10.1186/1465-9921-14-8.
- Kyselova A., Elgheznawy A., Wittig I., Heidler J., Mann A.W., Ruf W., Fleming I., Randriamboavonjy V. Platelet-derived calpain cleaves the endothelial protease-activated receptor 1 to induce vascular inflammation in diabetes. Basic Res. Cardiol., 2020, Vol. 115, no. 6, 75. doi: 10.1007/s00395-020-00833-9.
- Luo J., Wu X., Liu H., Cui W., Guo W., Guo K., Guo H., Tao K., Li F., Shi Y., Feng D., Yan H., Gao G., Qu Y. Antagonism of Protease-Activated Receptor 4 Protects Against Traumatic Brain Injury by Suppressing Neuroinflammation via Inhibition of Tab2/NF-B Signaling. Neurosci. Bull., 2021, Vol. 37, no. 2, pp. 242-254.
- Matos N.A., Silva J.F., Matsui T.C., Damasceno K.A., Duarte I.D., Lemos V.S., Cassali G.D., Klein A. Mast cell tryptase induces eosinophil recruitment in the pleural cavity of mice via proteinase-activated receptor 2. Inflammation., 2013, Vol. 36, no. 6, pp. 1260-1267.
- Miike S., McWilliam A.S., Kita H. Trypsin induces activation and inflammatory mediator release from human eosinophils through protease-activated receptor-2. J. Immunol.,2001, Vol. 167, no. 11, pp. 6615-6622.
- Nystedt S., Emilsson K., Wahlestedt C., Sundelin J. Molecular cloning of a potential Proteinase activated receptor. Proc. Natl Acad. Sci. USA., 1994, Vol. 91, no. 20, pp. 9208-9212.
- Qiao L., Zhang H., Wu S., He S. Downregulation of protease activated receptor expression and cytokine production in P815 cells by RNA interference. BMC Cell Biol., 2009, Vol. 10, 62. doi: 10.1186/1471-2121-10-62.
- Rasmussen U.B., Vouret-Craviari V., Jallat S., Schlesinger Y., Pagès G., Pavirani A., LecocqJ.P., Pouysségur J., van Obberghen-Schilling E. cDNA cloning and expression of a hamster alpha-thrombin receptor coupled to Ca2+ mobilization. FEBS Lett., 1991, Vol. 288, no. 1-2, pp. 123-128.
- Roche N., Stirling R.G., Lim S., Oliver B.G., Oates T., Jazrawi E., Caramori G., Chung K.F. Effect of acute and chronic inflammatory stimuli on expression of protease-activated receptors 1 and 2 in alveolar macrophages. J. Allergy Clin. Immunol., 2003, Vol. 111, no. 2, pp. 367-373.
- Tang Z.Z., Zhang Y.M., Zheng T., Huang T.T., Ma T.F., Liu Y.W. Sarsasapogenin alleviatesdiabetic nephropathy through suppression of chronic inflammation by down-regulating PAR-1: In vivo and in vitro study. Phytomedicine, 2020, Vol. 78, 153314. doi: 10.1016/j.phymed.2020.153314.
- Vliagoftis H., Lacy P., Luy B., Adamko D., Hollenberg M., Befus D., Moqbel R. Mast cell tryptase activates peripheral blood eosinophils to release granule-associated enzymes. Int. Arch. Allergy Immunol., 2004, Vol. 135, no. 3, pp. 196-204.
- Vu T.K., Hung D.T., Wheaton V.I., Coughlin SR. Molecular cloning of a functional thrombin receptor reveals a novel proteolytic mechanism of receptor activation. Cell, 1991, Vol. 64, no. 6, pp. 1057-1068.
- Wang H., He S. Induction of lactoferrin and IL-8 release from human neutrophils by tryptic enzymes via proteinase activated receptor-2. Cell Biol. Int., 2006, Vol. 30, no. 9, pp. 688-697.
- Wang Y.J., Yu S.J., Tsai J.J., Yu C.H., Liao E.C. Antagonism of Protease Activated Receptor-2 by GB88 Reduces Inflammation Triggered by Protease Allergen Tyr-p3. Front. Immunol., 2021, Vol. 12, 557433. doi: 10.3389/fimmu.2021.557433.
- Wardlaw A.J., Brightling C., Green R., Woltmann G., Pavord I. Eosinophils in asthma and other allergic diseases. Br. Med. Bull., 2000, Vol. 56, no. 4, pp. 985-1003.
- Xu W.F., Andersen H., Whitmore T.E., Presnell S.R., Yee D.P., Ching A., Gilbert T., Davie E.W., Foster D.C. Cloning and characterization of human protease-activated receptor 4. Proc. Natl Acad. Sci. USA., 1998, Vol. 95, no. 12, pp. 6642-6646.
- Zhang H., Yang X., Yang H., Zhang Z., Lin Q., Zheng Y., Chen S., Yang P., He S. Modulation of mast cell proteinase-activated receptor expression and IL-4 release by IL-12. Immunol. Cell Biol., 2007, Vol. 85, no. 7, pp. 558-566.
- Zhu J., Miao X.R., Tao K.M., Zhu H., Liu Z.Y., Yu D.W., Chen Q.B., Qiu H.B., Lu Z.J. Trypsin-protease activated receptor-2 signaling contributes to pancreatic cancer pain. Oncotarget, 2017, Vol. 8, no. 37, pp. 61810-61823.
Supplementary files




















