Сравнительная оценка основных показателей гуморального иммунного ответа лиц, перенесших COVID-19 и вакцинированных против него
- Авторы: Каримов И.Ф.1, Корнеев А.Г.1, Борисов С.Д.1, Носырева С.Ю.1, Ушакова А.А.1, Панькова А.А.1, Паньков А.С.1
-
Учреждения:
- ФГБОУ ВО «Оренбургский государственный медицинский университет» Министерства здравоохранения РФ
- Выпуск: Том 25, № 2 (2022)
- Страницы: 187-194
- Раздел: КРАТКИЕ СООБЩЕНИЯ
- Дата подачи: 11.05.2022
- Дата принятия к публикации: 28.05.2022
- Дата публикации: 01.09.2022
- URL: https://rusimmun.ru/jour/article/view/1105
- DOI: https://doi.org/10.46235/1028-7221-1105-HII
- ID: 1105
Цитировать
Полный текст
Аннотация
Формирование специфического гуморального иммунитета к SARS-CoV-2 обусловлено образованием нейтрализующих IgG, способных в первую очередь блокировать рецептор-связывающий домен S-белка вируса. К тому же важную роль играет длительность сохранения постинфекционного иммунитета, а также авидность циркулирующих антител. Целью данной работы стала оценка количества антител к S-белку SARS-CoV-2, их авидности и нейтрализующей активности в исследуемой выборке переболевших и вакцинированных серопозитивных лиц.
Была изучена выборка из 113 лиц, сформировавшие три экспериментальные группы: переболевшие, вакцинированные, переболевшие и вакцинированные. Сыворотка крови респондентов была изучена на наличие специфических IgG к SARS-CoV-2 с определением их количества (в BAU/мл) с использованием наборов АО «Вектор-Бест» (г. Новосибирск, Россия). Индекс авидности определяли с помощью набора производства «МедипалТех» (г. Дубна, Россия). Оценку нейтрализующей способности антител проводили иммуноферментным методом с помощью набора производства «МедипалТех» (г. Дубна, Россия), результатом которого является процент нейтрализованных S-белков, специфичных к RBD.
Средние значения количества IgG в группах «переболевшие» и «вакцинированные» не продемонстрировали значимых отличий, однако оба показателя были достоверно ниже, чем аналогичный показатель группы «переболевшие и вакцинированные». Наблюдалась цикличность изменения количества антител, при этом наиболее интенсивное падение уровня иммуноглобулинов было зарегистрировано за первые четыре месяца после болезни или вакцинации. При изначально равных уровнях показателей в обеих группах, темпы снижения этого показателя в группе «вакцинированные» значительно выше, чем в группе «переболевшие», что позволяет сделать вывод о снижении количества специфических антител в этой группе до нулевых величин уже к 10-му месяцу. В группе «переболевшие и вакцинированные» показатель IgG оставался неизменный за весь срок сбора анамнеза. Индекс авидности антител у вакцинированных лиц был выше, чем у переболевших лиц, при этом в обеих группах данный показатель характеризовался стабильным ростом в рассматриваемом временном интервале от 7 до 11 месяцев. Отмечены наиболее высокие показатели уровня антител и индекса их авидности в группе переболевших и вакцинированных лиц, что определяется наиболее полной активацией иммунной системы. Выявлена прямолинейная тенденция динамики снижения показателя нейтрализующей активности за рассматриваемый временной промежуток. Общая картина полученных результатов свидетельствует о том, что нейтрализующая активность антител в большей степени определяется количеством специфичных к SARS-CoV-2 иммуноглобулинов. Таким образом, выявлена динамика изменения уровня антител к SARS-CoV-2 в различных группах обследуемых лиц, установлена прямая взаимосвязь между нейтрализующей активностью и количеством иммуноглобулинов, а также роль вакцинации в повышении авидности антител.
Ключевые слова
Полный текст
Введение
Распространение новой коронавирусной инфекции (COVID-19) в мире потребовало значительных усилий по созданию и развитию диагностических систем. При этом наиболее распространенными методами исследования данного заболевания в рутинной лабораторной практике остаются ПЦР-исследование в режиме реального времени и оценка гуморального звена иммунитета [1, 6]. Согласно отчету ВОЗ от 29 марта 2022 года, было обнаружено пять подтипов вируса SARS-CoV-2, характеризующихся изменениями в структуре рецептор-связывающего домена (receptor-binding domain, RBD), повышающих сродство к ангиотензинпревращающему ферменту 2 (angiotensin-converting enzyme 2, ACE2) (КФ:3.4.17.23): альфа (B.1.1.7), бета (B.1.351), гамма (P.1), дельта (B.1.167.2), омикрон (B.1.1529), а также восемь подтипов с усиленной вирулентностью или трансмиссивностью, уменьшенной чувствительностью к нейтрализующим антителам и иными свойствами [4].
В ответ на поступление вируса в организм, иммунная система отвечает выработкой антител к различным антигенам и эпитопам SARS-CoV-2, включая нуклеокапсидный (N) белок, белки оболочки (E) и мембраны (M), а также шиповидный (S) белок (в том числе рецептор-связывающий домен, RBD) [15]. Последний считается ключевой мишенью для нейтрализации вируса, в связи с чем многие тест-системы оценивают уровень антител к рецептор-связывающему домену [12]. Картина продукции антител при COVID-19 характеризуется практически в одновременном образовании IgM и IgG на 5-10 день заболевания [14]. Длительность постинфекционного иммунитета по разным оценкам варьирует от 6 до 8 месяцев [5]. Формирование искусственного иммунитета к SARS-CoV-2 оказалось возможным с использованием инактивированных цельновирионных, векторных, субъединичных, РНК-вакцин и других типов [9]. Оценка количества IgG, специфичных к S-белку коронавируса, свидетельствует о формировании специфического гуморального поствакцинального иммунитета [7].
Одними из ключевых критериев эффективности работы иммуноглобулинов против вирусных частиц являются показатели авидности и нейтрализующей активности. В случае с SARS-CoV-2, они отражают способность антител надежно связываться с рецептор-связывающим доменом S-белка и блокировать проникновение вируса в клетку [2]. Было показано, что даже при наличии высокого уровня анти-RBD антител возможно развитие тяжелых поражений организма, вплоть до летального исхода [13], однако при этом стоит учитывать роль сопутствующих заболеваний и внешних факторов. Авидность повышается в первые двадцать дней после контакта с возбудителем, а высокий уровень данного показателя коррелирует с выраженной нейтрализующей активностью антител, однако для диапазона средних значений подобная зависимость не столь очевидна [3].
Целью данной работы стала оценка количества антител к S-белку SARS-CoV2, их авидности и нейтрализующей активности в исследуемой выборке переболевших и вакцинированных серопозитивных лиц.
Материалы и методы
Материалом для исследования являлась сыворотка крови от 113 лиц, сформировавших три группы: I группа – «переболевшие» (n = 52), II группа – «вакцинированные» (n = 28), III группа – «переболевшие и вакцинированные» (n = 33). Последнюю группу составили лица, на момент вакцинации уже имеющие в анамнезе перенесенное заболевание (COVID-19), а срок наблюдения в этой группе исчислялся с момента перенесенного заболевания.
Все три группы составили лица мужского и женского пола. Средний возраст исследуемого контингента – 45,7±2,0 лет (от 18 до 79 лет). Значимых различий в оценке среднего возраста между группами выявлено не было (р > 0,05). Все лица имели в анамнезе либо заболевание (COVID-19), либо профилактическую двухкомпонентную вакцину «Спутник V». Давность этих событий колебалась от 1 до 11 месяцев. Исследование проводилось в октябре 2021 года.
Формирование выборки серопозитивных лиц осуществляли путем оценки количества специфических IgG к SARS-CoV-2 иммуноферментным методом с помощью набора «Вектор-Бест» (г. Новосибирск, Россия) по инструкции производителя с использованием термостатируемого шейкера-инкубатора PST-60HL-4 (BioSan, Латвия), промывателя планшетов HydroFlex (Tecan, Австрия) и фотометра Infinite 50 (Tecan, Австрия). Результат исследования выражался в BAU/мл (binding antibody units). Определение индекса авидности антител осуществляли иммуноферментным методом с использованием набора производства «МедипалТех» (г. Дубна, Россия), рассчитываемый как соотношение оптических плотностей в лунках с добавлением дестабилизирующего агента и без него. Оценку нейтрализующей способности антител проводили иммуноферментным методом с помощью набора производства «МедипалТех» (г. Дубна, Россия), результатом которого является процент нейтрализованных S-белков, специфичных к RBD.
Для оцениваемых показателей рассчитывались средние арифметические значения и ошибка (M±m). Достоверность различия показателей (ДРП) проводилась с помощью t-критерия Стъюдента. Проводился регрессионный анализ (у = bx + a), а также рассчитывался темп прироста тенденции (Тпр, %) с последующей оценкой ее достоверности.
Результаты и обсуждение
На первом этапе сравнительная оценка показателей проводилась за срок 7 месяцев, поскольку в сравниваемых группах максимальная давность перенесенного заболевания составила 11 месяцев, а вакцинации – семь месяцев.
Средние значения количества IgG в группах «переболевшие» и «вакцинированные» не продемонстрировали значимых отличий, однако оба показателя были достоверно ниже, чем аналогичный показатель группы «переболевшие и вакцинированные». Во всех трех группах в течение первого месяца показатель определялся примерно на одном уровне (p > 0,05 во всех парах сравнения), но по исходу седьмого месяца показатели I и II групп были значительно ниже (p < 0,05 во всех парах сравнения) показателей группы «переболевшие и вакцинированные».
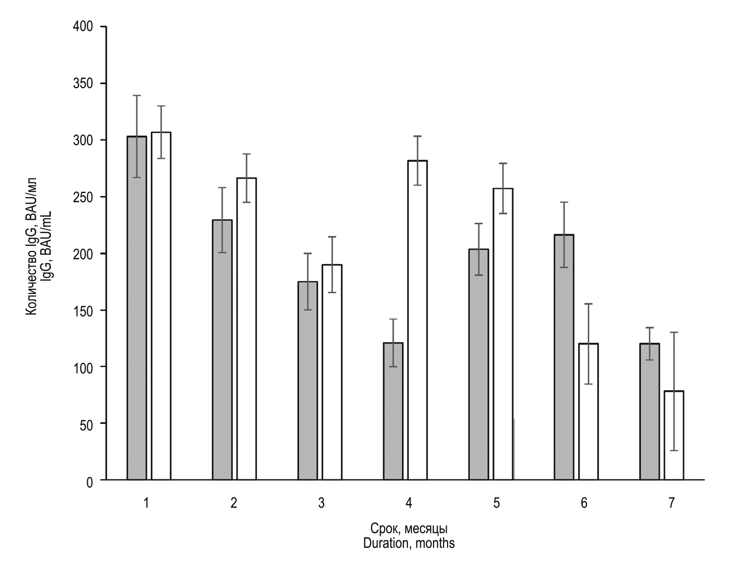
Распределение значений IgG за изучаемый срок (7 месяцев) в группе «переболевшие» было неравномерным и колебалось от 303,2±36,2 BAU/ мл до 120,1±14,5 BAU/мл (рис. 1). Интересно, что в первые четыре месяца отмечалось 2,5-кратное снижение показателя, соизмеримое с минимальными значениями 7-го месяца – 120,9±21,1 BAU/мл (Тпр = -17,9%; t = 4,35; р < 0,05), но с последующим подъемом и пиком на 6 месяце (216,5±28,8 BAU/мл; р > 0,05). За семь месяцев в целом отмечалась достоверная тенденция к снижению уровня антител (Тпр = -7,1%; t = 2,88; р < 0,05).
Рисунок 1. Зависимость уровня IgG к SARS-CoV-2 от срока давности перенесенного заболевания. Примечание. Группа «переболевшие» – серые столбцы, группа «вакцинированные» – белые столбцы. / Figure 1. Dependence of the level of IgG to SARS-CoV-2 on the duration of the disease. Note. Group “recovered”, gray bars; group “vaccinated”, white bars.
За максимальный наблюдаемый срок (11 месяцев) в этой группе также наблюдалось неравномерность динамики показателя, которая характеризовалась строгой цикличностью – 2 полных цикла с периодичностью в 5,5 мес. Интересно, что минимальные показатели в нисходящей фазе циклов колебались в пределах 120,1-126,5 BAU/ мл и не составили достоверных различий между собой (p > 0,05), при том, что пиковые значения восходящей фазы за весь срок наблюдения снижались соответственно определенной линейной регрессии (Тпр = -4,4%; р < 0,05).
Распределение уровня IgG за изучаемый срок (7 месяцев) среди вакцинированных было так же неравномерным, как и в группе переболевших, и колебалось от 306,9 ± 23,2 BAU/мл (1-й месяц после вакцинации) до 78,2±52,4 BAU/мл (7-й месяц). Интересно, что в этой группе резкое снижение количества специфичных антител отмечалось не в первые четыре месяца, как в группе переболевших, а в первые три месяца. Поскольку период «спада» антител в этой группе оказался короче, то нами не было обнаружено достоверных различий между показателями 1-го и 3-го месяца (t = 1,70; p > 0,05). Однако темп прироста тенденции составил значение соизмеримое с темпом прироста среди вакцинированных (Тпр = -15,7%). Последующий наблюдаемый подъем 4-го и 5-го месяца также колебался в пределах доверительных интервалов сравниваемых показателей (р > 0,05). При этом за 7 месяцев в целом отмечалась достоверная тенденция к снижению концентрации иммуноглобулинов (Тпр = -9,4%; t = 4,44; р < 0,05).
Уровень антител за 7 месяцев в группе «переболевшие и вакцинированные» (n = 33) не имел достоверных отличий между ежемесячными показателями (табл. 1; p > 0,05) при среднем 318,2±8,2 BAU/мл (Тпр = -3,3%; p > 0,05; y = -0,1056x + 318,6).
Таблица 1. Нейтрализующая активность IgG (%) в обследованных группах / Table 1. Neutralizing IgG activity (%) in studied groups
Группы Groups | |||
Переболевшие (1) Recovered (1) | Вакцинированные (2) Vaccinated (2) | Переболевшие и вакцинированные (3) Recovered and vaccinated (3) | |
Среднее Average | 54,3±5,0 | 61,1±7,0 | 96,1±4,0* ** |
1-й месяц 1st month | 85,4±6,0 | 87,8±4,1 | 96,3±4,4 |
7-й месяц 7th month | 36,6±9,4 | 29,7±6,3 | 95,9±5,2* ** |
Максимум Maximum | 85,4±6,0 (1-й месяц) (1st month) | 87,8±4,1 (1-й месяц) (1st month) | 98,8±5,4* (2-й месяц) (2nd month) |
Примечание. * – наличие достоверных отличий между (p < 0,05) 1-й и 3-й группами; ** – наличие достоверных отличий между (p < 0,05) 2-й и 3-й группами.
Note. *, there are significant differences between (p < 0.05) 1st and 3rd group; **, there are significant differences between (p < 0.05) 2nd and 3rd group.
С учетом того, что случаи болезни выявлялись значительно раньше, чем была разработана вакцина, расхождения в сроках регистрируемых событий (факт болезни для группы «переболевшие» и вакцинация для «вакцинированные») выглядят закономерно. Имеющиеся данные за 11 месяцев для группы «переболевшие» (y = -10,848x + 244,04; Тпр = -4,4; р < 0,05) и данные, рассчитанные на основе прямолинейной тенденции для группы «вакцинированные» (y = -32,565x + 344,66; см. выше), позволили сделать предположение о возможном снижении количества IgG в группе «вакцинированные» до значений близких к нулевым на исходе 10-го месяца с момента вакцинации, при том, что уровень антител в группе «переболевшие» к 11 месяцу по нашим данным сократился лишь на 46,5%.
Таким образом, динамика IgG в обеих группах демонстрирует волнообразные колебания с общей тенденцией к достоверному снижению. Подобная характеристика является вполне типичной с пиком концентрации антител в первый месяц после контакта и последующим четырехкратным снижением в течение полугода, причем зависимость от половой принадлежности не просматривается [11]. При изначально равных уровнях показателей в обеих группах, темпы снижения этого показателя в группе «вакцинированные» значительно выше, чем в группе «переболевшие», что позволяет сделать вывод о снижении количества специфических антител в этой группе до нулевых величин уже к 10-му месяцу. В группе «переболевшие и вакцинированные» показатель IgG оставался неизменный за весь срок сбора анамнеза.
Оценка авидности в изучаемых группах первоначально проводилась также за 7 месяцев. Средние значения индекса авидности во всех трех группах составили достоверные различия в парных сравнениях между собой, при этом наивысший показатель (0,95±0,03) был отмечен в группе «переболевшие и вакцинированные», а наименьший (0,72±0,02) – в группе «вакцинированные». Показатели авидности в группах «переболевшие» и «вакцинированные» не обнаружили различий, однако были достоверно ниже авидности IgG группы «переболевшие и вакцинированные» (р < 0,05). Поскольку максимальные показатели авидности во всех трех группах пришлись на разные месяцы, более подробное описание соотношения искомых показателей будет описано ниже в динамике.
Распределение показателя авидности в группе «переболевших» характеризовалось выраженной цикличностью. Выявленная прямолинейная тенденция динамики показателя за 7 месяцев (у = -0,0071х + 0,749) не показала достоверных изменений (p > 0,05), однако за более длительный срок наблюдения (11 месяцев) определялась достоверная тенденция к росту (Тпр = 2,0%; р < 0,05). За этот же срок выявлялись 3 полных цикла с периодичностью в 3-4 месяца. Интересно, что начальный период (1-4-й месяцы) характеризовался видимым снижением показателя до минимальных значений (0,64±0,01) с последующим волнообразным нарастанием показателя с максимальным значением в 11 месяце (0,69±0,2).
В группе «вакцинированные» начальный период (1-2-й месяцы) отличался резким нарастанием величины индекса авидности с последующим резким снижением до минимального уровня, приходящимся на 3-й месяц. Дальнейшее волнообразное нарастание авидности достигало максимальных значений на 6-м месяце (Тпр = 1,8%; p < 0,05).
За 7 месяцев значения индекса авидности антител в группе «переболевшие и вакцинированные» не нашли достоверных отличий между (p > 0,05) при среднем 0,95±0,03 (Тпр = 0,8%; p > 0,05; y = 0,0079x + 0,9353).
Имеющиеся данные по авидности антител за 11 месяцев для группы «переболевшие» и прогностические данные, рассчитанные на основе прямолинейных тенденций для двух других групп позволили выявить однонаправленное увеличение показателей с взаимными коэффициентами корреляций в пределах 0,91-0,96 (p < 0,05).
Таким образом, нами отмечен более высокий уровень антител у пациентов после вакцинирования по сравнению с переболевшими лицами. В то же время, темпы элиминации специфических антител также выше у группы вакцинированных респондентов, вероятно, являющиеся следствием особенностей используемых аденовирусных векторов и переносимой ими информации о рецептор-связывающем фрагменте S-белка. С другой стороны, индекс авидности антител у вакцинированных лиц был выше, чем у переболевших лиц, при этом в обеих группах данный показатель характеризовался стабильным ростом в рассматриваемом временном интервале от 7 до 11 месяцев. Показатель авидности имеет большее значение на ранних сроках перенесенного заболевания (15-30 дней) [13], но его различия у переболевших и привитых лиц свидетельствует об эффективности работы вакцины как инструмента направленного отбора специфичных к RBD клонов лимфоцитов. Интересным является наблюдение в группе переболевших и вакцинированных лиц, для которых показатели уровня антител и индекса их авидности были наиболее высокими, что определяется наиболее полной активацией иммунной системы комплексом различных антигенов, присущих вирусу SARS-CoV-2.
Распределение нейтрализующей активности в группе «переболевших» так же характеризовалось выраженной цикличностью (табл. 1). Выявлена прямолинейная тенденция динамики снижения показателя за семь и за одиннадцать месяцев (5,6 и 2,1% соответственно). За этот же срок выявлялись более двух полных циклов с периодичностью в 4-5 месяцев. Начальный период так же, как и количество антител, характеризовался достоверным снижением показателя до минимальных значений (23,9±0,2) с последующим волнообразным нарастанием показателя с максимальным значением на 6-м и 10-м месяце (67,6-68,2), поскольку данные показатели имеют прямую зависимость друг с другом (r = 0,92, р < 0,05), что было показано также и в других работах [10].
Распределение нейтрализующей активности антител за 7 месяцев среди вакцинированных было так же неравномерным, как и в группе переболевших, и колебалось от 87,8±4,1 (1-й месяц после вакцинации) до 25,0±8,9 (на шестой месяц). Отрицательный темп прироста тенденции составил значение -9,8% (t = 7,81; р < 0,05). Амплитуда нейтрализующей активности антител в динамике за 7 месяцев в последней группе была не так выражена, как в двух предыдущих, и не составила достоверной тенденции к снижению.
Таким образом, общая картина полученных результатов свидетельствует о том, что нейтрализующая активность антител в большей степени определяется количеством специфичных к SARS-CoV-2 иммуноглобулинов. При этом стоит отметить, что для нейтрализации не менее 90% рецептор-связывающих доменов S-белка необходимо присутствие в крови количества антител в среднем 327,2±6,5 BAU/мл. Тем не менее единичные случаи свидетельствуют о том, что наличие высокого уровня антител не всегда определяет нейтрализующую активность и наоборот, что требует мониторинга данных показателей среди доноров плазмы [8].
Заключение
Проведенная оценка взаимосвязи количества антител к S-белку SARS-CoV-2 с их авидностью и нейтрализующей активностью среди серопозитивных переболевших или вакцинированных лиц показала, что имеются качественные и количественные различия данных показателей в рассмотренных группах. Уровень антител во этих группах со временем снижается, и, несмотря на некоторую флуктуацию концентрации иммуноглобулинов, за семь месяцев достигает уровня, при котором их нейтрализующая активность оказывается недостаточно низкой для формирования протекторного иммунитета. Тем не менее группа переболевших и затем вакцинированных лиц демонстрирует более стойкий иммунитет, сохраняющийся продолжительное время, сыворотка которых способна более чем на 95% нейтрализовать RBD спустя шесть месяцев. С другой стороны, авидность антител за рассматриваемый временной интервал у переболевших лиц снижается незначительно, а в группе получивших вакцину даже несколько увеличивается, что свидетельствует о селекции более специфичных лимфоцитов. Стоит отметить, что в группе вакцинированных в первый месяц после введения второго компонента вакцины уровень антител в среднем выше, чем у переболевших лиц, однако остаточный уровень спустя полгода оказывается более низким в сравнении с этой же группой.
Таким образом, выявлена динамика изменения уровня антител к SARS-CoV-2 в различных группах обследуемых лиц, установлена прямая взаимосвязь между нейтрализующей активностью и количеством иммуноглобулинов, а также роль вакцинации в повышении авидности антител.
Об авторах
Ильшат Файзелгаянович Каримов
ФГБОУ ВО «Оренбургский государственный медицинский университет» Министерства здравоохранения РФ
Автор, ответственный за переписку.
Email: ifkarimov@yandex.ru
ORCID iD: 0000-0001-6853-4242
SPIN-код: 2898-9150
Scopus Author ID: 26650061100
ResearcherId: F-2041-2015
к.б.н., биолог микробиологической лаборатории научно-исследовательского центра, доцент кафедры микробиологии, вирусологии, иммунологии
Россия, 460048, Оренбург, Шарлыкское шоссе, 5Алексей Геннадьевич Корнеев
ФГБОУ ВО «Оренбургский государственный медицинский университет» Министерства здравоохранения РФ
Email: proletela@mail.ru
ORCID iD: 0000-0002-7574-0527
к.б.н., доцент кафедры эпидемиологии и инфекционных болезней
Россия, ОренбургСергей Дилюсович Борисов
ФГБОУ ВО «Оренбургский государственный медицинский университет» Министерства здравоохранения РФ
Email: sdborisov56@mail.ru
ORCID iD: 0000-0002-4386-8745
к.м.н., заслуженный врач Российской Федерации, заведующий микробиологической лабораторией научно-исследовательского центра, доцент кафедры микробиологии, вирусологии, иммунологии
Россия, ОренбургСветлана Юрьевна Носырева
ФГБОУ ВО «Оренбургский государственный медицинский университет» Министерства здравоохранения РФ
Email: swet1212@yandex.ru
ORCID iD: 0000-0002-2758-7388
к.м.н., доцент кафедры эпидемиологии и инфекционных болезней, врач-вирусолог научно-исследовательского центра
Россия, ОренбургАнастасия Алексеевна Ушакова
ФГБОУ ВО «Оренбургский государственный медицинский университет» Министерства здравоохранения РФ
Email: mjasoed.na@inbox.ru
ассистент кафедры эпидемиологии и инфекционных болезней
Россия, ОренбургАнна Александровна Панькова
ФГБОУ ВО «Оренбургский государственный медицинский университет» Министерства здравоохранения РФ
Email: pankovaaa@mail.ru
студент лечебного факультета
Россия, ОренбургАлександр Сергеевич Паньков
ФГБОУ ВО «Оренбургский государственный медицинский университет» Министерства здравоохранения РФ
Email: aspan751@mail.ru
ORCID iD: 0000-0003-4994-6633
д.м.н., доцент, заведующий кафедрой эпидемиологии и инфекционных болезней, директор научно-исследовательского центра
Россия, ОренбургСписок литературы
- Носырева С.Ю., Паньков А.С., Корнеев А.Г. Новая коронавирусная инфекция (COVID-19) у детей: клинико-лабораторные и диагностические аспекты // Детские инфекции, 2021. Т. 20, № 3. С. 23-28. [Nosyreva S.Yu., Pankov A.S., Korneev A.G. New coronavirus infection (COVID-19) in children: clinical, laboratory and diagnostic aspects. Detskiye infekcii = Children’s Infections, 2021, Vol. 20, no. 3, pp. 23-28. (In Russ.)]
- Bauer G. The potential significance of high avidity immunoglobulin G (IgG) for protective immunity towards SARS-CoV-2. Int. J. Infect. Dis., 2021, Vol. 106, pp. 61-64.
- Benner S.E., Patel E.U., Laeyendecker O., Pekosz A., Littlefield K., Eby Y., Fernandez R.E., Miller J., Kirby C.S., Keruly M., Klock E., Baker O.R., Schmidt H.A., Shrestha R., Burgess I., Bonny T.S., Clarke W., Caturegli P., Sullivan D., Shoham S., Quinn T.C., Bloch E.M., Casadevall A., Tobian A.A.R., Redd A.D. SARS-CoV-2 antibody avidity responses in COVID-19 patients and convalescent plasma donors. J. Infect. Dis., 2020, Vol. 222, no. 12, pp. 1974-1984.
- Cascella M., Rajnik M., Aleem A., Dulebohn S.C., di Napoli R. Features, evaluation, and treatment of coronavirus (COVID-19) [Updated 2022 Feb 5]. In: StatPearls [Internet]. Treasure Island (FL): StatPearls Publishing; 2022 Jan.
- Dan J.M., Mateus J., Kato Y., Hastie K.M., Yu E.D., Faliti C.E., Grifoni A., Ramirez S.I., Haupt S., Frazier A., Nakao C., Rayaprolu V., Rawlings S.A., Peters B., Krammer F., Simon V., Saphire E.O., Smith D.M., Weiskopf D., Sette A., Crotty S. Immunological memory to SARS-CoV-2 assessed for up to 8 months after infection. Science, 2021, Vol. 371, no. 6529, eabf4063. doi: 10.1126/science.abf4063.
- Esakandari H., Nabi-Afjadi M., Fakkari-Afjadi J., Farahmandian N., Miresmaeili S.M., Bahreini E. A comprehensive review of COVID-19 characteristics. Biol. Proced. Online, 2020, Vol. 22, 19. doi: 10.1186/s12575-020-00128-2.
- Grigoryan L., Pulendran B. The immunology of SARS-CoV-2 infections and vaccines. Semin. Immunol., 2020, Vol. 50, 101422. doi: 10.1016/j.smim.2020.101422.
- Jain R., Mallya M.V., Amoncar S., Palyekar S., Adsul H.P., Kumar R., Chawla S. Seroprevalence of SARS-CoV-2 among potential convalescent plasma donors and analysis of their deferral pattern: Experience from tertiary care hospital in western India. Transfus. Clin. Biol., 2022, Vol. 29, no. 1, pp. 60-64.
- Kaur S.P., Gupta V. COVID-19 Vaccine: A comprehensive status report. Virus Res., 2020, Vol. 288, 198114. doi: 10.1016/j.virusres.2020.198114.
- Longueira Y., Polo M.L.; InViV working group; Biobanco de Enfermedades Infecciosas Colección COVID19 working group, Turk G, Laufer N. Dynamics of SARS-CoV-2-specific antibodies among COVID19 biobank donors in Argentina. Heliyon, 2021, Vol. 7, no. 10, e08140. doi: 10.1016/j.heliyon.2021.e08140.
- Luo C., Liu M., Li Q., Zheng X., Ai W., Gong F., Fan J., Liu S., Wang X., Luo J. Dynamic changes and prevalence of SARS-CoV-2 IgG/IgM antibodies: Analysis of multiple factors. Int. J. Infect. Dis., 2021, Vol. 108, pp. 57-62.
- Mahajan A., Manchikanti L. Value and validity of coronavirus antibody testing. Pain Physician, 2020, Vol. 23, no. 4S, pp. S381-S390.
- Moura A.D., da Costa H.H.M., Correa V.A., de S Lima A.K., Lindoso J.A.L., De Gaspari E., Hong M.A., Cunha-Junior J.P., Prudencio C.R. Assessment of avidity related to IgG subclasses in SARS-CoV-2 Brazilian infected patients. Sci. Rep., 2021, Vol. 11, no. 1, 17642. doi: 10.1038/s41598-021-95045-z.
- Sun B., Feng Y., Mo X., Zheng P., Wang Q., Li P., Peng P., Liu X., Chen Z., Huang H., Zhang F., Luo W., Niu X., Hu P., Wang L., Peng H., Huang Z., Feng L., Li F., Zhang F., Chen L. Kinetics of SARS-CoV-2 specific IgM and IgG responses in COVID-19 patients. Emerg. Microbes Infect., 2020, Vol. 9, no. 1, pp. 940-948.
- Wu C., Liu Y., Yang Y., Zhang P., Zhong W., Wang Y., Wang Q., Xu Y., Li M., Li X., Zheng M., Chen L., Li H. Analysis of therapeutic targets for SARS-CoV-2 and discovery of potential drugs by computational methods. Acta Pharm. Sin. B., 2020, Vol. 10, no. 5, pp. 766-788.
Дополнительные файлы




