Evaluation of specific T cell immune response to SARS-CoV-2 in COVID-19 infection and following Gam-COVID-Vac vaccine prophylaxis
- Authors: Plekhova N.G.1, Sitdikova T.S.1, Dubiy A.A.1, Mikhailov A.O.1, Prosekovа E.V.1
-
Affiliations:
- Pacific State Medical University
- Issue: Vol 25, No 3 (2022)
- Pages: 267-274
- Section: SHORT COMMUNICATIONS
- Submitted: 13.05.2022
- Accepted: 28.05.2022
- Published: 20.09.2022
- URL: https://rusimmun.ru/jour/article/view/1111
- DOI: https://doi.org/10.46235/1028-7221-1111-EOS
- ID: 1111
Cite item
Full Text
Abstract
An aberrant immune response during SARS-CoV-2 infection has been shown to determine the clinical features, disease severity, and progression of COVID-19 infection. This work aimed for comprehensive assessment of the immune response by comparative evaluation of diagnostic significance of the antibodies to RBD domain of the SARS-CoV-2 spike protein, as well as detection of effector CD4+ and CD8+T cells specific to SARS-CoV-2 antigens. The study was performed in unvaccinated persons, healthy individuals vaccinated with Gam-COVID-Vac, and in the patients who have had COVID-19 infection. We have found that IgG antibodies to the RBD domain of the SARS-CoV-2 spike protein are detectable at a frequency of 73% to 92% of cases in vaccinated persons and COVID-19 reconvalescents. The numbers of effector CD4+ and CD8+T lymphocytes responding to stimulation with SARS-CoV-2 antigens by producing the IFNã cytokine varied depending on the introduced antigen and tended to be higher in vaccinated individuals. In non-vaccinated healthy persons who contacted with COVID-19 patients, T cell response to the SARS-CoV-2 nucleoproteins was revealed. For adequate assessment of antiviral and post-vaccination immune response to COVID-19, it would be necessary to study not only humoral immune response by the presence of antibodies, but also functionally active specific T lymphocytes directed for SARS-CoV-2 protein antigens.
Keywords
Full Text
Введение
Адаптивный иммунитет к SARS-CoV-2 возникает в течение 7-10 дней после заражения с одновременной активацией Т-клеток. Антитела, продуцируемые В-клетками, особенно нейтрализующие, при высоком титре создают иммунитет для предотвращения повторного заражения SARS-CoV-2, тогда как Т-клетки могут оказывать влияние на тяжесть заболевания, сокращая его продолжительность и способствуя быстрому выздоровлению пациентов. Количество специфических для SARS-CoV-2 CD4+ и CD8+Т-клеток памяти достигает максимума через 14 дней после инфицирования и выявляется на протяжении более от трех до шести месяцев [7]. Известно небольшое количество работ, подтверждающих четкую корреляцию между иммунным ответом Т-клеток и тяжестью течения заболевания COVID-19. Тем не менее продолжающееся появление новых вариантов коронавирусов с высокой способностью ускользать от антител подчеркивает необходимость более глубокого понимания защитной роли Т-клеток с привлечением более совершенных методов для оценки их активности в более широкой популяции, а также выявления обследуемых лиц, у которых пул специфических Т-клеток памяти сформирован в недостаточной мере.
Показано появление в острый период инфекции COVID19 в крови пациентов субпопуляций ICOS+PD-1+CD4+Т-фолликулярных хелперных клеток (Tfh), а также активированных CD38+HLA-DR+CD4+ и CD38+HLA-DR+CD8+Т-клеток, уровень которых сохраняется до периода выздоровления, что указывает на участие этих лимфоцитов в разрешении от заболевания [1]. Ранее для определения специфичных для SARS-CoV-2 Т-клеток в качестве стимулятора мононуклеарных клеток периферической крови (МКПК) пациентов с COVID-19 использовали «мегапулы» пептида SARS-CoV-2, который связывается с общими аллелями HLA-I и HLA-II12 [2]. Активация CD8+Т-клеток белком SARS-CoV-2 была определена по степени экспрессии рецепторов CD69, CD137, а для CD4+Т-лимфоцитов по OX40+ и CD137+. Такие SARS-CoV-2 реактивные Т-клетки были обнаружены у 70% пациентов с COVID-19 в острой форме и у 100% в период выздоровления [4, 11]. Кроме того, стимуляция in vitro МКПК пациентов с COVID-19 перекрывающимися пептидами SARS-CoV-2 приводит к клональной экспансии специфичных для SARS-CoV-2 CD8+ и CD4+T-клеток, продуцирующих цитокины IFNγ и TNFα [6]. Причем такие реактивные Т-клетки были обнаружены у > 20% обследованных, не инфицированных SARS-CoV-2, что предполагает некоторый уровень перекрестной реактивности с Т-клетками, индуцированных ранее циркулировавшими коронавирусами, вызывающими простуду HCoV-OC43, HCoV229E, HCoV-NL63, HCoV-HKU116 или другими патогенами [11]. Также показано, что среди лиц, которые встречались с SARS-CoV-2 (от тяжело больных до «бессимптомных» и членов семей больных COVID-19), антитела класса G обнаруживались только у 60%, тогда как специфические Т-клетки выявлялись в 93% случаев. Эти данные указывают на важность выявления SARS-CoV-2 специфических Т-клеток в качестве показателя долгосрочной иммунной защиты при заболевании COVID-19, тогда как серологическое тестирование не отражает разнообразие и полноту иммунных реакций на SARS-CoV-2 [8].
Цель исследования – дать оценку состояния SARS-CoV-2 специфического Т-клеточного ответа при вирусном заболевании COVID-19 и вакцинации Гам-КОВИД-Вак.
Материалы и методы
Оценка специфических показателей адаптивного иммунитета проводилась у 75 человек (средний возраст 42,75±10,45 лет) следующих групп: 1 – здоровые лица, не болевшие COVID-19 и не вакцинированные (5 человек); 2 – здоровые лица, вакцинированные Гам-КОВИД-Вак («Спутник V» ФГБУ «НИЦЭМ им. Н.Ф. Гамалеи», Россия, 10 человек); 3 – невакцинированные, заболевшие COVID-19, острый период (10 человек); 4 – вакцинированные лица, заболевшие COVID-19, острый период (10 человек); 5 – лица, заболевшие COVID-19, невакцинированные, период реабилитации (15 человек); 6 – лица, вакцинированные, заболевшие COVID-19, период реабилитации (25 человек). Оценку антител к SARS-CoV-2 в сыворотке крови проводили методом твердофазного иммуноферментного анализа с использованием наборов реагентов «SARS-CoV-2-IgM-ИФА-БЕСТ» и «SARS-CoV-2-IgG-ИФА-БЕСТ» (АО «Вектор-Бест», г. Новосибирск). Для выявления Т-лимфоцитов, специфически отвечающих на антигены вируса SARS-CoV-2, использовался набор Тигра-Тест® SARS-CoV-2 (АО «Генериум», Россия), версия иммуноферментного метода IGRA ELIspot (Interferon Gamma Release Assay, Enzyme-Linked SPOT analysis). Данная тест система предназначена для выявления Т-клеток в модели in vitro, где в качестве стимуляторов продукции клетками интерферона гамма (IFNã) используются антигены вируса SARS-CoV-2. Для выделения лимфоцитов использовали метод седиментации в одноступенчатом градиенте плотности фиколл-урографина. Клетки одного образца в концентрации 3,0 × 106 кл/мл в бессывороточной питательной среде AIM-V® AlbuMAX® (BSA) GIBCO™ (Инвитроген, США) последовательно разносили в четыре лунки планшета с иммобилизированными на их мембране моноклональными антителами к IFNã. В качестве отрицательного контроля использовалась первая лунка, в которую не вносился индуктор цитокина, во второй содержался антиген 1 (Spike-белок SARS-CoV-2), в третьей – антиген 2 (пептиды белков N, M, ORF3a и ORF7a) и в четвертой – раствор позитивного контроля. После чего планшет с клетками инкубировали в течении 16-20 ч в термостате при температуре 37 °С и 5% содержании СО2. После инкубации удаляли суспензию клеток, пятикратно отмывали мембраны фосфатно-солевым буферным раствором (ФСБ) и вносили 50 мкл раствора антител к IFNγ, конъюгированных с щелочной фосфатазой. Оставляли при комнатной температуре на 40-50 мин, повторяли этапы отмывки от невключившегося продукта реакции и добавляли хромогенный субстрат для фермента нитросиний тетразолия хлорид на 7-10 мин до появления интенсивно окрашенных пятен в положительном контроле. Для остановки ферментативной реакции промывали лунки 4 раза дистиллированной водой. Подсчет количества спотов (пятен) на мембране лунки проводился с помощью микроскопа Levenhuk DTX (Россия). При правильной постановке теста в лунках с отрицательным контролем количество спотов не должно превышать 14. Критерий положительного результата теста по наличию спотов в лунках, куда были внесены антигены 1 и 2, при этом их число в лунках с антигенами (с учетом вычета числа спотов в отрицательном контроле) должно составлять более 12. Такой результат свидетельствовал, что образец содержит Т-клетки, специфически сенсибилизированные антигенами коронавируса SARS-CoV-2, при количестве спотов положительного контроля выше 100.
Полученные данные обрабатывали с помощью пакета программ Microsoft Exсel 2018 (Microsoft Inc., США). Проверка на нормальное распределение количественных показателей выборок проводилась по критерию Шапиро–Уилка. При обработке данных использовались методы непараметрической статистики при коэффициенте вариации больше 30%. Дескриптивные статистики представлены как Me (Q0,25-Q0,75), где Me – медиана, Q0,25 – нижний и Q0,75 – верхний квартили. Оценку различий средних значений в попарно несвязанных выборках проводили с помощью непараметрического U-критерия Манна–Уитни. Критическое значение уровня статистической значимости (p) при проверке нулевых гипотез принималось равным 0,05.
Результаты и обсуждение
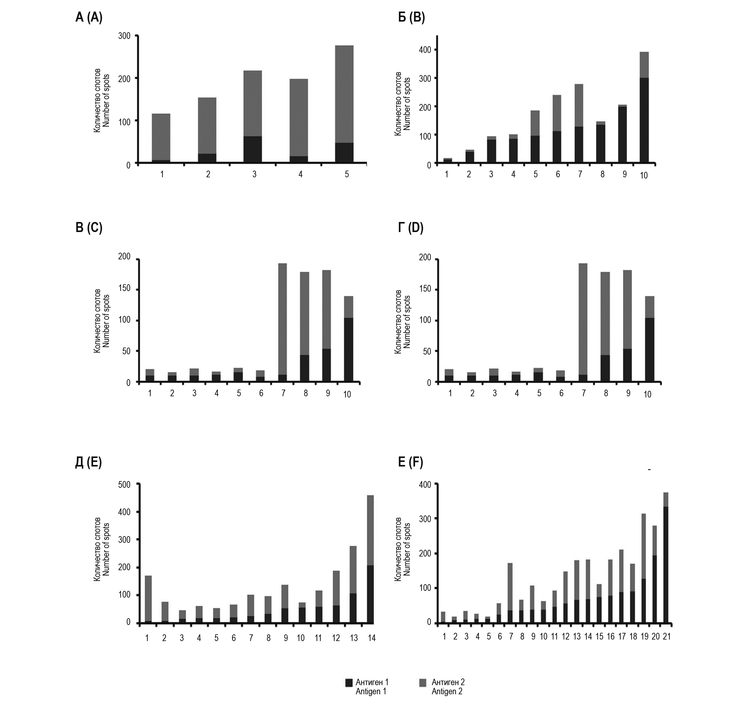
Продукция специфически активированными эффекторными CD4+ и CD8+Т-лимфоцитами цитокина IFNγ в тесте IGRA ELIspot позволяет производить количественный учет клеток, отвечающих на стимуляцию антигенами SARS-CoV-2 (рис. 1). Определено наличие IgG к вирусу у двух здоровых лиц (40%), не болевших COVID-19 и не вакцинированных, но контактировавших с инфицированными пациентами. При стимуляции пептидами N, M, ORF3a и ORF7a (антиген 2) наличие продуцирующих IFNγ Т-лимфоцитов установлено у всех обследованных лиц (100%), тогда как при внесении антигена 1 (Spike-белок SARS-CoV-2) такие клетки были обнаружены в меньшем количестве (60%, рис. 2А). У вакцинированных здоровых лиц, не имеющих в анамнезе перенесенной инфекции COVID-19, у трех человек (37,5%) определено наличие IgG-антител к RBD-домену Spike-белка SARS-CoV-2, эффекторных Т-лимфоцитов к нему у 90% и к пептидам N, M, ORF3a и ORF7a у 50%. В острый период инфекции у не вакцинированных лиц антитела IgG обнаружены у 80%, продуцирующие IFNγ Т-лимфоциты после контакта с антигеном 1 у 20% и с антигеном 2 у 30% (рис. 2В). У вакцинированных больных COVID-19 эти показатели составили 40%, 100% и 50% соответственно (рис. 2Г). В пятой группе у невакцинированных лиц, ранее перенесших COVID-19, наличие IgG-антител к RBD-домену Spike-белка SARS-CoV-2 определялось у 11 пациентов (73%), специфических Т-лимфоцитов к Spike-белку (антиген 1) у 87,7%, к пептидам N, M, ORF3a и ORF7a у 100% (рис. 2Д). В шестой группе у вакцинированных лиц, перенесших COVID-19, наличие IgG-антител определялось у 23 пациентов (92%), специфических Т-лимфоцитов к антигену 1 у 84% к белкам N, M, ORF3a и ORF7a у 96% (рис. 2Е).
Рисунок 1. Результат положительного ТиграТест® SARS-CoV-2 анализа
Примечание. А – лунка отрицательного контроля. Б – лунка с позитивной реакцией Т-лимфоцитов на стимуляцию антигеном 1. В – лунка с позитивной реакцией Т-лимфоцитов на стимуляцию антигеном 2. Г – лунка с положительным контролем.
Figure 1. Result of a positive TigerTest® SARS-CoV-2 assay
Note. A, negative control well; B, well with a positive reaction of T lymphocytes to stimulation with antigen 1; C, well with a positive reaction of T lymphocytes to stimulation with antigen 2; D, well with a positive control.
Рисунок 2. Показатели количества эффекторных CD4+ и CD8+Т-лимфоцитов по результатам Тигра-Тест® SARS-CoV-2 для здоровых лиц, невакцинированных и не болевших COVID-19 (А), вакцинированных Гам-КОВИД-Вак и не болевших COVID-19 (Б), невакцинированных, заболевших COVID-19 (В), вакцинированных, заболевших COVID-19 (Г), невакцинированных, заболевших COVID-19, период реабилитации (Д), вакцинированных, заболевших COVID-19, период реабилитации (Е)
Figure 2. Indicators of the number of effector CD4+ and CD8+ T lymphocytes according to the results of the Tigra-Test® SARSCoV-2 for healthy individuals not vaccinated and not infected by the COVID-19 (A), vaccinated with Gam-COVID-Vac and not infected by the COVID-19 (B), unvaccinated, infected by the COVID-19 (C), vaccinated, infected by the COVID-19 (D) unvaccinated, infected by the COVID-19, rehabilitation period (E), vaccinated, infected by the COVID-19, rehabilitation period (F)
Таким образом, количество эффекторных CD4+ и CD8+Т-лимфоцитов, отвечающих на стимуляцию антигенами SARS-CoV-2 продукцией цитокина IFNγ в тесте IGRA ELIspot, варьировало и имело тенденцию к более высоким значениям у вакцинированных обследуемых. Медиана значений количества спотов для первой группы при стимуляции антигеном 1 составила 30,6 (6,0-62,0), антигеном 2 – 161,6 (109,0-156,0); для второй – 118,8 (11,0-302,0) и 51,5 (6,0-149,0); для третьей – 27,7 (8,0-104,0) и 53,2 (3,0-182,0); для четвертой – 112,5 (15,0-351,0) и 48,0 (3,0-206,0); для пятой – 50,0 (8,0-208,0) и 87,2 (18,0-250,0); для шестой – 69,6 (5,0-331,0) и 66,0 (6,0-187,0) соответственно. Причем, если у вакцинированных Гам-КОВИД-Вак количество эффекторных CD4+ и CD8+Т-лимфоцитов было высоким при стимуляции Spike-белком, то у невакцинированных и не болевших COVID-19 после контакта с белками N, M, ORF3a и ORF7a. В период ремиссии как после вакцинации, так и без нее, число таких клеток при стимуляции антигенами значимо не различалось (p > 0,05).
Нами показано, что антитела IgG к RBD-домену спайк-белка SARS-CoV-2 вырабатываются с частотой от 73% до 92% случаев у вакцинированных и переболевших COVID-19, что согласуется с данными других исследователей [5]. При сравнительной оценке клеточного иммунитета среди лиц, кто так или иначе встречался с вирусом COVID-19, антитела класса G обнаружены от 37,5%, тогда как специфические Т-клетки к антигенам SARS-CоV-2 выявлялись в 93% случаев. Реактивность Т-клеток связана с легким исходом при многих инфекциях, так как они создают пулы долговременной памяти, которые преимущественно направлены на эпитопы антигенов, включающие консервативные пептиды. С этой позиции интерес представляют полученные нами данные о различиях в количестве эффекторных CD4+ и CD8+Т-лимфоцитов, продуцирующих цитокин IFNγ, в зависимости от внесенного антигена. Так, обнаружен Т-клеточный ответ к нуклеопротеинам коронавируса SARS-CoV-2 у невакцинированных и не болевших COVID-19 здоровых лиц. Длительная устойчивая перекрестная реактивность Т-клеток с такими вирусными антигенами SARS-CoV-2 у обследованных, не имевших в анамнезе SARS и COVID-19 и не контактировавших с людьми, у которых эти заболевания были показана и другими исследователями [2]. Инфицирование бета-коронавирусами индуцирует многоспецифический и длительный Т-клеточный иммунитет против общего структурного для них N-белка. Эти клетки имеют ключевое значение при низком уровне антител или появлении новых вариантов коронавирусов, их избегающих, которые могут распознавать. Как указывает Sekine Т. с соавт. [9], SARS-CoV-2 – специфические Т-клетки критически важны для долгосрочной иммунной защиты от COVID-19, и одного только серологического исследования может быть недостаточно для комплексной оценки иммунной защиты от SARS-CoV-2 [5, 9, 10], что и было подтверждено нашими исследованиями.
Заключение
Идентификация специфических иммунных сигналов предоставляет информацию, детализирующую физиологический иммунный ответ и иммунопатогенез заболевания, что позволяет индивидуализировать профилактические и терапевтические программы. Для адекватной оценки противовирусного и поствакцинального иммунного ответа к COVID-19 необходимо исследование не только гуморального звена по наличию антител, но и определение функционально активных специфических Т-лимфоцитов к антигенам белков SARS-CoV-2. Наличие в вакцине Гам-КОВИД-Вак в качестве антигенной детерминанты Spike-белок позволяет рекомендовать для оценки напряженности поствакцинального иммунитета определение функционально активных Т-лимфоцитов, специфически отвечающих на антигены вируса SARS-CoV-2 с применением технологий IGRA ELIspot.
About the authors
N. G. Plekhova
Pacific State Medical University
Author for correspondence.
Email: pl_nat@hotmail.com
PhD, MD (Biology), Associate Professor, Head, Central Research Laboratory
Russian Federation, VladivostokT. S. Sitdikova
Pacific State Medical University
Email: pl_nat@hotmail.com
PhD (Medicine), Lecturer, Department of Clinical Laboratory Diagnostics, General and Clinical Immunology
Russian Federation, VladivostokA. A. Dubiy
Pacific State Medical University
Email: olleariu.a@yandex.ru
Student, Faculty of Public Health
Russian Federation, VladivostokA. O. Mikhailov
Pacific State Medical University
Email: pl_nat@hotmail.com
PhD (Medicine), Research Associate, Central Research Laboratory
Russian Federation, VladivostokE. V. Prosekovа
Pacific State Medical University
Email: pl_nat@hotmail.com
PhD, MD (Medicine), Professor, Head, Department of Clinical Laboratory Diagnostics, General and Clinical Immunology
Russian Federation, VladivostokReferences
- Потеряев Д.А., Аббасова С.Г., Игнатьева П.Е., Стрижакова О.М., Колесник С.В., Хамитов Р.А. Оценка Т-клеточного иммунитета к SARS-CoV-2 у переболевших и вакцинированных против COVID-19 лиц с помощью ELISPOT набора ТиграТест® SARS-CoV-2 // БИОпрепараты. Профилактика, диагностика, лечение, 2021. Т. 21, № 3. С. 178-192. [Poteryaev D.A., Abbasova S.G., Ignatyeva P.E., Strizhakova O.M., Kolesnik S.V., Khamitov R.A. Assessment of T-cell immunity to SARS-CoV-2 in COVID-19 convalescents and vaccinated subjects, using TigraTest® SARS-CoV-2 ELISPOT kit. BIOpreparaty. Profilaktika, diagnostika, lechenie = BIOpreparations. Prevention, Diagnosis, Treatment, 2021, Vol. 21, no. 3, pp. 178-192. (In Russ.)]
- Bastos M.L., Tavaziva G., Abidi S.K., Campbell J.R., Haraoui L.P., Johnston J.C., Lan Z., Law S., MacLean E., Trajman A., Menzies D., Benedetti A., Ahmad K.F. Diagnostic accuracy of serological tests for covid-19: systematic review and meta-analysis. BMJ, 2020, Vol. 370, m2516. doi: 10.1136/bmj.m2516.
- Diao B., Wang C., Tan Y., Chen X., Liu Y., Ning L., Chen L., Li M., Liu Y., Wang G., Yuan Z., Feng Z., Zhang Y., Wu Y., Chen Y. Reduction and functional exhaustion of T cells in patients with coronavirus disease 2019 (COVID-19). Front. Immunol., 2020, Vol. 11, 827. doi: 10.3389/fimmu.2020.00827.
- Grifoni A., Weiskopf D., Ramirez S.I., Mateus J., Dan J.M., Moderbacher C.R., Rawlings S.A., Sutherland A., Premkumar L., Jadi R.S., Marrama D., de Silva A.M , Frazier A., Carlin A.F., Greenbaum J.A., Peters B., Krammer F., Smith D.M., Crotty S., Sette A. Targets of T Cell Responses to SARS-CoV-2 Coronavirus in Humans with COVID-19 Disease and Unexposed Individuals. Cell, 2020, 181, рр. 1489-1501.e15.
- Gudbjartsson D.F., Norddahl G.L., Melsted P., Gunnarsdottir K., Holm H., Eythorsson E., Arnthorsson A.O., Helgason D., Bjarnadottir K., Ingvarsson R.F., Thorsteinsdottir B., Kristjansdottir S., Birgisdottir K., Kristinsdottir A.M., Sigurdsson M.I., Arnadottir G.A., Ivarsdottir E.V., Andresdottir M., Jonsson F., Agustsdottir A.B., Stefansson K. Humoral Immune Response to SARS-CoV-2 in Iceland. N. Engl. J. Med., 2020, Vol. 383, no. 18, рр. 1724-1734.
- Habel J.R., Nguyen T.H.O., van de Sandt C.E., Juno J.A., Chaurasia P., Wragg K., Koutsakos M., Hensen L., Jia X., Chua B., Zhang W., Tan H.X., Flanagan K.L., Doolan D.L., Torresi J., Chen W., Wakim L.M., Cheng A.C., Doherty P.C., Petersen J., Kedzierska K. Suboptimal SARS-CoV-2-specific CD8+ T cell response associated with the prominent HLA-A*02:01 phenotype. Proc. Natl. Acad. Sci. USA, 2020, Vol. 117, рр. 24384-24391.
- Kedzierska K., Thomas P.G. Count on us: T cells in SARS-CoV-2 infection and vaccination. Cell Rep. Med., 2022, Vol. 3, no. 3, 100562. doi: 10.1016/j.xcrm.2022.100562.
- Le Bert N., Tan A.T., Kunasegaran K., Tham C., Hafezi M., Chia A., Chng M., Lin M., Tan N., Linster M., Chia W.N., Chen M.I., Wang L.F., Ooi E.E., Kalimuddin S., Tambyah P.A., Low J.G., Tan Y.J., Bertoletti A. SARS-CoV-2-specific T cell immunity in cases of COVID-19 and SARS, and uninfected controls. Nature, 2020, Vol. 584, no. 7821, рр. 457-462.
- Sekine T., Perez-Potti A., Rivera-Ballesteros O., Strålin K., Gorin J.B., Olsson A., Llewellyn-Lacey S., Kamal H., Bogdanovic G., Muschiol S., Wullimann D.J., Kammann T., Emgård J., Parrot T., Folkesson E., Karolinska COVID-19 Study Group, Rooyackers O., Eriksson L.I., Henter J.I., Sönnerborg A., Buggert M. Robust T Cell immunity in convalescent individuals with asymptomatic or mild COVID-19. Cell, 2020, Vol. 183, no. 1, pp. 158-168.e14.
- Thevarajan, I., Nguyen, T.H.O., Koutsakos, M., Druce, J., Caly, L., van de Sandt, C.E., Jia, X., Nicholson, S., Catton, M., Cowie, B., Tong S.Y.C., Lewin S.R., Kedzierska K. Breadth of concomitant immune responses prior to patient recovery: a case report of non-severe COVID-19. Nat. Med., 2020, Vol. 26, рр. 453-455.
- Weiskopf D., Schmitz K.S., Raadsen M.P., Grifoni A., Okba N.M.A., Endeman H., van den Akker J.P.C., Molenkamp R., Koopmans M.P.G., van Gorp E.C.M., Haagmans B.L., de Swart R.L. , Sette A., de Vries R.D. Phenotype and kinetics of SARS-CoV-2-specific T cells in COVID-19 patients with acute respiratory distress syndrome. Sci. Immunol., 2020, 5, eabd2071. doi: 10.1126/sciimmunol.abd2071.
Supplementary files





