Cellular immune response to DNA vaccine encoding receptor-binding domain of SARS-CoV-2 S protein: dependence on the packing mode
- Authors: Borgoyakova M.B.1, Karpenko L.I.1, Starostina E.V.1, Volosnikova E.A.1, Zadorozhny A.M.1, Orlova L.A.1, Ilyichev A.A.1
-
Affiliations:
- State Research Centre of Virology and Biotechnology “Vector”
- Issue: Vol 25, No 2 (2022)
- Pages: 131-138
- Section: SHORT COMMUNICATIONS
- Submitted: 13.05.2022
- Accepted: 03.06.2022
- Published: 01.09.2022
- URL: https://rusimmun.ru/jour/article/view/1114
- DOI: https://doi.org/10.46235/1028-7221-1114-CIR
- ID: 1114
Cite item
Full Text
Abstract
Massive vaccination against SARS-CoV-2 appears to be one of the most important steps towards solving the problem of the COVID-19 pandemic, which threatened the lives of millions of people over two and a half years. To create anti-COVID-19 vaccines, both traditional approaches (inactivated vaccines), and innovative efforts were used, including the nucleic acid-based vaccines (mRNA, DNA vaccines) which appeared on the market. We constructed a plasmid (DNA vaccine) encoding the gene for the receptor-binding domain (RBD) of spike protein (S) of the SARS-CoV-2 virus. This DNA vaccine was named pVAXrbd. The polycationic carrier polyglucin-spermidine (PGS) and its recombinant RBD protein conjugate (PGS-RBD) were used to package pVAXrbd. By adding the negatively charged DNA pVAXrbd plasmid to polycationic PGS or PGS-RBD molecules, the complexes of polymers with plasmid DNA were formed by self-assembly, due to their non-covalent interaction. The aim of this work was to study cellular response induced by the DNA vaccine at various packaging options, as well as to analyze influence of the vaccine packaging upon development of the immune response. BALB/c mice were injected with DNA vaccine in three versions: “naked” pVAXrbd; plasmid pVAXrbd in PGS envelope; pVAXrbd in PGS-RBD wrapper. In control group, the animals were injected with the recombinant RBD protein. Cellular response was assessed by the IFNγ production using two methods, i.e., ELISpot and ICS using flow cytometry. It was shown that the DNA vaccine pVAXrbd, both per se, or as part of complexes, showed the ability to induce cellular immune response. The most effective cellular immune response was found in the group of animals immunized with pVAXrbd-PGS complex. Using ELISpot detection technique for this group, the largest number of cells responding by IFNγ release was registered upon stimulation with specific peptides; usage of ICS and flow cytometry for evaluation in this group showed higher percentage of IFNγ-producing CD4+ and CD8+T cells. This observed effect could be explained by DNA protection from nuclease action by the polyglucin-spermidine envelope. The pVAXrbd-PGS complexes may be also more efficiently recognized by antigen-presenting cells than naked plasmid DNA. The presented results show that the polyglucin-spermidine envelope provides an increase in immunogenicity of the DNA vaccine pVAXrbd, in terms of virus-specific T cell response.
Keywords
Full Text
Исследование было выполнено при поддержке Министерства науки и высшего образования Российской Федерации (соглашение № 075-15-2019-1665).
Введение
Вирус SARS-CoV-2, вызывающий острый респираторный синдром COVID-19, впервые был обнаружен в г. Ухань, в Китае, в декабре 2019 года. С самого начала многие страны предприняли беспрецедентные меры по ограничению распространения заболевания. Вакцинация – одна из таких мер, призванная не только ограничить распространение инфекции в популяции, но и облегчить течение болезни при заражении. Для создания анти-COVID-19 вакцин были задействованы как традиционные подходы (инактивированные вакцины), так и инновационные, благодаря чему на рынке появились вакцины на основе нуклеиновых кислот (мРНК, ДНК) [11]. Одной из отличительных особенностей вакцин, основанных на нуклеиновых кислотах, является их способность индуцировать кроме гуморального эффективный клеточный иммунитет, в том числе цитотоксический. Как показывают различные исследования, для защиты от инфекции, вызываемой SARS-CoV-2, необходима стимуляция обоих звеньев иммунитета [5]. У пациентов с бессимптомной и легкой формой заболевания COVID-19 в отсутствие антител были выявлены высокие уровни специфических цитотоксических Т-лимфоцитов [7, 10], что подтверждает важность Т-клеточного ответа в блокировании инфекции.
В настоящее время несколько ДНК-вакцин против SARS-CoV-2 проходят клинические испытания, одна из них зарегистрирована и используется для вакцинации населения в Индии [1, 4, 6, 9]. Недостатком ДНК-вакцин является их низкая иммуногенность при введении в виде голой плазмидной ДНК, поэтому многие исследовали работают над разработкой эффективных и безопасных средств доставки.
Мы сконструировали плазмиду pVAXrbd (ДНК-вакцину), кодирующую ген рецепторсвязывающего домена (RBD) белка шипа (S) вируса SARS-CoV-2. В качестве упаковки был использован поликатионный носитель полиглюкин-спермидин, а также его конъюгат с рекомбинантным белком RBD, наработанным в клетках CHO-K1.
Целью данной работы было исследование клеточного ответа, индуцированного ДНК-вакциной pVAXrbd, а также анализ вклада ее упаковки в развитие иммунного ответа.
Материалы и методы
Конструирование плазмиды pVAXrbd было описано ранее [2]. Последовательность гена, кодирующего белок RBD, была клонирована в составе эукариотического плазмидного вектора pVAX. Полученную плазмиду (ДНК-вакцину) обозначили pVAXrbd. Для оценки способности pVAXrbd обеспечивать синтез целевого белка в эукариотических клетках проводили трансфекцию клеток HEK-293T. Трансфицированные клетки были исследованы на наличие белка RBD с помощью иммуноблотинга с высокотитражной сывороткой к RBD, а также на наличие специфической мРНК путем ОТ-ПЦР с использованием специфических праймеров. Оба метода показали, что экспрессия гена, кодирующего RBD, эффективно проходит как на уровне РНК, так и на уровне белка в эукариотических клетках.
Наработка белка RBD в клетках CHO-K1 и его иммуногенные свойства, а также получение конъюгатов данного белка с поликатионным носителем полиглюкин-спермидином были описаны нами ранее [8]. При добавлении отрицательно заряженной плазмидой ДНК pVAXrbd к положительно заряженным полимерам – полиглюкин-спермидин (PGS) или его конъюгат с белком RBD (PGS-RBD) происходило формирование комплексов поликатионов с плазмидной ДНК путем самосборки за счет нековалентного взаимодействия. Таким образом, мы получили два типа частиц: pVAXrbd-PGS и CCV-RBD (CCV – combined coronavirus vaccine), в центре каждой из которых находилась ДНК-вакцина pVAXrbd. Образованные частицы были проанализированы с помощью электронной микроскопии, электрофореза в агарозном геле и гель-фильтрации [3].
Для оценки иммуногенности созданных конструкций использовали самок мышей BALB/c массой 16-18 г. Все эксперименты с животными проводили с соблюдением принципов гуманности в соответствии с протоколами, утвержденными Биоэтическим комитетом ФБУН ГНЦ ВБ «Вектор» (номер разрешения: НИЦ ВБ «Вектор» / 10.09.2020). Мышей разделили на группы по 8 животных в каждой и иммунизировали следующим образом: группа CCV-RBD – комбинированной вакциной, содержащей 100 мкг ДНК и 100 мкг белка; группа pVAXrbd-PGS – 100 мкг плазмиды pVAXrbd, инкапсулированной в оболочку из PGS; группа pVAXrbd – 100 мкг «голая» ДНК-вакцина; группа RBD – 100 мкг белка RBD. В группе intact были неиммунизированные животные. Мышей иммунизировали внутримышечно дважды с интервалом три недели в бедро задней конечности. Спустя 10 дней после второй иммунизации у животных были взяты селезенки для исследования Т-клеточного иммунного ответа.
Селезенки последовательно измельчали на нейлоновых фильтрах для клеток с диаметром пор 70 и 40 мкм (BD FalconTM, США). После лизиса эритроцитов лизирующим буфером (Sigma, США) спленоциты дважды отмывали в среде RPMI и помещали в 1 мл RPMI с 2 мМ L-глутамина, гентамицина (50 мкг/мл) и 10% фетальной бычьей сывороткой (FBS) (ThermoFisherScientific, США). Клетки подсчитывали с помощью автоматического счетчика клеток TC20™ (Bio-Rad, США).
ELISpot анализ проводили с использованием набора Mouse IFN-gamma ELISpot kit (BD, США), согласно инструкции производителя. Спленоциты вносили в лунки в количестве 5 × 105 клеток/лунка. Для стимуляции использовали пул пептидов, рестриктируемых MHC класса I (H-2-Dd, H-2-Kd, H-2-Ld) и II (H2-IAd, H2-IEd) мышей BALB/c из последовательности рецепторсвязывающего домена S-белка SARS-CoV-2, в концентрации 20 мкг/мл для каждого пептида. Пептиды были рассчитаны с помощью инструментов IEDB Analysis Resourse и синтезированы компанией AtaGenix Laboratories (Китай), чистота пептидов составляла более 80%. В качестве отрицательного контроля использовали нестимулированные клетки, а в качестве положительного – клетки, к которым добавляли конканавалин А. Число IFNγ-продуцирующих клеток подсчитывали с помощью ELISpot-ридера (Carl Zeiss, Германия).
Окрашивание внутриклеточных цитокинов проводили следующим образом: спленоцины вносили в лунки 24-луночных культуральных планшетов (TPP, Швейцария) в количестве 2 × 106 клеток/лунку и стимулировали смесью вирус-специфических пептидов, указанной выше, в концентрации 20 мкг/мл для каждого пептида. Клетки инкубировали в течение 4 часов при 37 °C в 5% CO2, после чего вносили брефельдин A (5 мкг/мл, GolgiPlug BD Biosciences) и продолжали инкубацию еще в течение 16 часов. На следующий день клетки окрашивали анти-CD3 Alexa Fluor 700 (BD, США), анти-CD4 BV786 (BD, США) и анти-CD8 FITC (BD, США) антителами и фиксировали с использованием 1%-ного раствора параформальдегида. Для обнаружения внутриклеточных цитокинов к клеткам добавляли анти-IFNγ APC антитела (BD, США). Образцы анализировали на проточном цитофлуориметре ZE5 (Bio-Rad, США), результаты обрабатывали с помощью программы Everest.
Статистическую обработку полученных данных проводили с использованием непараметрического анализа Манна–Уитни в программе GraphPadPrism 6.0, при p <0,05 различия считали статистически значимыми.
Результаты и обсуждение
Целью данной работы было исследование клеточного ответа, индуцированного ДНК-вакциной в различных вариантах упаковки, а также анализ вклада упаковки в развитие иммунного ответа. Мышам линии BALB/c вводили ДНК-вакцину в трех вариантах: «голую» рVAXrbd; плазмиду pVAXrbd в оболочке PGS; pVAXrbd в оболочке PGS-RBD. В качестве контроля животным вводили рекомбинантный белок RBD. Клеточный ответ оценивали по продукции IFNγ с помощью двух методов – ELISpot и ICS с использованием проточной цитометрии.
С помощью метода ELISpot оценивали количество спленоцитов, продуцирующих IFNγ в ответ на специфическую стимуляцию пулом пептидов из белка RBD. Было показано, что наиболее высокий показатель клеточного иммунитета был зарегистрирован в группе животных, иммунизированных ДНК-вакциной в оболочке из PGS (рис. 1).
Рисунок 1. Число спленоцитов, продуцирующих IFNγ в ответ на специфическую стимуляцию, на 106 клеток, определенное с помощью ELISpot. Примечание. Слева – данные представлены как средние ± стандартное отклонение. Справа – типичный вид спотов для каждой группы иммунизированных животных. / Figure 1. Number of splenocytes producing IFNγ in response to specific stimulation, per 106 cells, determined using ELISpot. Note. On the left, data are presented as means ± standard deviation. On the right is a typical spot view for each group of the immunized animals.
Средний уровень SFU на 106 спленоцитов составил 172 для группы pVAXrbd-PGS и 125 для группы pVAXrbd, тогда как для группы CCV-RBD он составил 41, а показатели группы, иммунизированной белком, сравнимы с показателями группы интактных мышей. Более высокий уровень IFNγ-продуцирующих клеток в группе, иммунизированной плазмидой в оболочке из PGS, возможно, связан с тем, что полиглюкин-спермидин защищает ДНК от действия нуклеаз и повышает эффективность трансфекции за счет нейтрализации отрицательного заряда нуклеиновой кислоты. Наиболее низкий ответ по данным ELISPot был зафиксирован в группе мышей, иммунизированных комплексом pVAXrbd в оболочке PGS-RBD (CCV-RBD). Однако он достоверно не отличался от клеточного ответа, обнаруженного у группы животных, иммунизированных голой pVAXrbd.
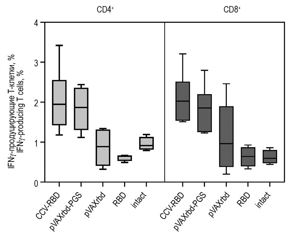
Чтобы получить более полное представление об активации разных субпопуляций Т-клеток, мы оценили процент IFNγ-продуцирующих CD4+ и CD8+Т-лимфоцитов с помощью метода внутриклеточного окрашивания цитокинов (ICS) и проточной цитометрии (рис. 2).
Рисунок 2. Процент SARS-CoV-2-специфических IFNγ-продуцирующих CD4+ и CD8+Т-клеток, определенный с помощью ICS с использованием проточной цитометрии. Примечание. Графики выполнены в программе GraphPad Prism 8.0, данные представлены как разброс значений от минимальных к максимальным с обозначением средних. / Figure 2. Percentage of SARS-CoV-2-specific IFNγ-producing CD4+ and CD8+T cells determined by ICS using flow cytometry. Note. The graphs were created with GraphPad Prism 8.0 software, the data are presented as a spread of values from minimum to maximum with the designation of the average values.
Как видно из рисунка 2, наибольшее количество CD4+ и CD8+ лимфоцитов, способных синтезировать IFNγ в ответ на стимуляцию вирус-специфическими пептидами, выявлено в группе мышей, иммунизированных pVAXrbd в оболочке с PGS или PGS-RBD. По-видимому, оболочка из поликатионных конъюгатов способна обеспечить более эффективную доставку ДНК-вакцины в антигенпрезентирующие клетки. Количество IFNγ-продуцирующих CD4+ и CD8+ ответ у животных, иммунизированных только белком RBD, было на уровне, выявленном у контрольной группы интактных животных. Введение животным только белка RBD не привело к значимому формированию специфического Т-клеточного иммунитета.
Заключение
Таким образом, ДНК-вакцина pVAXrbd, кодирующая рецептор-связывающий домен белка S вируса SARS-CoV-2, обладает способностью индуцировать клеточный иммунный ответ. Композиция данной плазмиды с поликатионным носителем полиглюкин-спермидин приводит к усилению клеточного ответа, что было показано с помощью ELISpot и ICS. Добавление белка на поверхности композиции также приводит к формированию специфического CD4+ и CD8+ ответа. pVAXrbd можно рассматривать как основу для создания различных комбинированных вакцин против COVID-19.
About the authors
Mariya B. Borgoyakova
State Research Centre of Virology and Biotechnology “Vector”
Author for correspondence.
Email: borgoyakova_mb@vector.nsc.ru
ORCID iD: 0000-0002-0768-1561
SPIN-code: 8588-7391
Scopus Author ID: 57221732585
Junior Research Associate, Center of Genomic Studies in Biological Safety
Russian Federation, Koltsovo, Novosibirsk Region, 630559Larisa I. Karpenko
State Research Centre of Virology and Biotechnology “Vector”
Email: karpenko@vector.nsc.ru
PhD, MD (Biology), Associate Professor, Leading Research Associate, Center of Genomic Studies in Biological Safety
Russian Federation, Koltsovo, Novosibirsk Region, 630559Ekaterina V. Starostina
State Research Centre of Virology and Biotechnology “Vector”
Email: starostina_ev@vector.nsc.ru
PhD (Biology), Research Associate, Center of Genomic Studies in Biological Safety
Russian Federation, Koltsovo, Novosibirsk Region, 630559Ekaterina A. Volosnikova
State Research Centre of Virology and Biotechnology “Vector”
Email: volosnikova_ea@vector.nsc.ru
PhD (Biology), Leading Research Associate, Center of Genomic Studies in Biological Safety
Russian Federation, Koltsovo, Novosibirsk Region, 630559Alexey M. Zadorozhny
State Research Centre of Virology and Biotechnology “Vector”
Email: zadorozhnyy_am@vector.nsc.ru
Research Trainee, Center of Genomic Studies in Biological Safety
Russian Federation, Koltsovo, Novosibirsk Region, 630559Lyubov A. Orlova
State Research Centre of Virology and Biotechnology “Vector”
Email: orlova_la@vector.nsc.ru
Postgraduate Student, Research Trainee, Center of Genomic Studies in Biological Safety
Russian Federation, Koltsovo, Novosibirsk Region, 630559Alexander A. Ilyichev
State Research Centre of Virology and Biotechnology “Vector”
Email: ilyichev@vector.nsc.ru
PhD, MD (Biology), Professor, Head, Department of Bioengineering, Center of Genomic Studies in Biological Safety
Russian Federation, Koltsovo, Novosibirsk Region, 630559References
- Ahn J.Y., Lee J., Suh Y.S., Song Y.G., Choi Y.J., Lee K.H., Seo S.H., Song M., Oh J.W., Kim M., Seo H.Y., Kwak J.E., Youn J.W., Woo J.W., Shin E.C., Sung Y.C., Park S.H., Choi J.Y. Safety and immunogenicity of two recombinant DNA COVID-19 vaccines containing the coding regions of the spike or spike and nucleocapsid proteins: an interim analysis of two open-label, non-randomised, phase 1 trials in healthy adults. Lancet Microbe, 2022, Vol. 3, no. 3, pp. e173-e183.
- Borgoyakova M.B., Karpenko L.I., Rudometov A.P., Shanshin D.V., Isaeva A.A., Nesmeyanova V.S., Volkova N.V., Belenkaya S.V., Murashkin D.E., Shcherbakov D.N., Volosnikova E.A., Starostina E.V., Orlova L.A., Danilchenko N.V., Zaikovskaya A.V., Pyankov O.V., Ilyichev A.A. Immunogenic properties of the DNA construct encoding the receptor-binding domain of the SARS-CoV-2 spike protein. Mol. Biol. (Mosk.), 2021, Vol. 55, no. 6, pp. 987-998.
- Borgoyakova M.B., Karpenko L.I., Rudometov A.P., Volosnikova E.A., Merkuleva I.A., Starostina E.V., Zadorozhny A.M., Isaeva A.A., Nesmeyanova V.S., Shanshin D.V., Baranov K.O., Volkova N.V., Zaitsev B.N., Orlova L.A., Zaykovskaya A.V., Pyankov O.V., Danilenko E.D., Bazhan S.I., Shcherbakov D.N., Taranin A.V., Ilyichev A.A. Self-assembled particles combining SARS-CoV-2 RBD protein and RBD DNA vaccine induce synergistic enhancement of the humoral response in mice. Int. J. Mol. Sci., 2022, Vol. 23, no. 4, 2188. doi: 10.3390/ijms23042188.
- Kraynyak K.A., Blackwood E., Agnes J., Tebas P., Giffear M., Amante D., Reuschel E.L., Purwar M., Christensen-Quick A., Liu N., Andrade V.M., Diehl M.C., Wani S., Lupicka M., Sylvester A., Morrow M.P., Pezzoli P., McMullan T., Kulkarni A.J., Zaidi F.I., Frase D., Liaw K., Smith T.R.F., Ramos S.J., Ervin J., Adams M., Lee J., Dallas M., Shah Brown A., Shea J.E., Kim J.J., Weiner D.B., Broderick K.E., Humeau L.M., Boyer J.D., Mammen M.P. SARS-CoV-2 DNA vaccine INO-4800 induces durable immune responses capable of being boosted in a phase 1 open-label trial. J. Infect. Dis., 2022, jiac016. doi: 10.1093/infdis/jiac016.
- Lagunas-Rangel F.A., Chávez-Valencia V. What do we know about the antibody responses to SARSCoV-2? Immunobiology, 2021, Vol. 226, no. 2, 152054. doi: 10.1016/j.imbio.2021.152054.
- Mallapaty S. India’s DNA COVID vaccine is a world first – more are coming. Nature, 2021, Vol. 597, pp. 161-162.
- Mathew D., Giles J.R., Baxter A.E., Oldridge D.A., Greenplate A.R., Wu J.E., Alanio C., Kuri-Cervantes L., Pampena M.B., D’Andrea K., Manne S., Chen Z., Huang Y.J., Reilly J.P., Weisman A.R., Ittner C.A.G., Kuthuru O., Dougherty J., Nzingha K., Han N., Kim J., Pattekar A., Goodwin E.C., Anderson E.M., Weirick M.E., Gouma S., Arevalo C.P., Bolton M.J., Chen F., Lacey S.F., Ramage H., Cherry S., Hensley S.E., Apostolidis S.A., Huang A.C., Vella L.A.; UPenn COVID Processing Unit, Betts M.R., Meyer N.J., Wherry E.J. Deep immune profiling of COVID-19 patients reveals distinct immunotypes with therapeutic implications. Science, 2020, Vol. 369, no. 6508, eabc8511. doi: 10.1126/science.abc8511
- Merkuleva I.A., Shcherbakov D.N., Borgoyakova M.B., Shanshin D.V., Rudometov A.P., Karpenko L.I., Belenkaya S.V., Isaeva A.A., Nesmeyanova V.S., Kazachinskaia E.I., Volosnikova E.A., Esina T.I., Zaykovskaya A.V., Pyankov O.V., Borisevich S.S., Shelemba A.A., Chikaev A.N., Ilyichev A.A. Comparative immunogenicity of the recombinant receptor-binding domain of protein S SARS-CoV-2 obtained in prokaryotic and mammalian expression systems. Vaccines (Basel), 2022. Vol. 10, no. 1, 96. doi: 10.3390/vaccines10010096.
- Momin T., Kansagra K., Patel H., Sharma S., Sharma B., Patel J., Mittal R., Sanmukhani J., Maithal K., Dey A., Chandra H., Rajanathan C.T., Pericherla H.P., Kumar P., Narkhede A., Parmar D. Safety and immunogenicity of a DNA SARS-CoV-2 vaccine (ZyCoV-D): Results of an open-label, non-randomized phase I part of phase I/II clinical study by intradermal route in healthy subjects in India. EClinicalMedicine, 2021, Vol. 38, 101020. doi: 10.1016/j.eclinm.2021.101020.
- Sekine T., Perez-Potti A., Rivera-Ballesteros O., Strålin K., Gorin J.B., Olsson A., Llewellyn-Lacey S., Kamal H., Bogdanovic G., Muschiol S., Wullimann D.J., Kammann T., Emgård J., Parrot T., Folkesson E., Karolinska COVID-19 Study Group, Rooyackers O., Eriksson L.I., Henter J.I., Sönnerborg A., Allander T., Albert J., Nielsen M., Klingström J., Gredmark-Russ S., Björkström N.K., Sandberg J.K., Price D.A., Ljunggren H.G., Aleman S., Buggert M. Robust T cell immunity in convalescent individuals with asymptomatic or mild COVID-19. Cell, 2020, Vol. 183, no. 1, pp. 158-168.e14.
- Simões R.S.Q., Rodríguez-Lázaro D. Classical and next-generation vaccine platforms to SARS-CoV-2: biotechnological strategies and genomic variants. Int. J. Environ. Res. Public Health, 2022, Vol. 19, no. 4. 2392. doi: 10.3390/ijerph19042392.
Supplementary files





