Association of gene polymorphism and cytokine content in the blood serum in children with allergic bronchial asthma
- Authors: Prosekova E.V.1, Dolgopolov M.S.1, Turyanskaya A.I.1, Sabynych V.A.1
 - 
							Affiliations: 
							
- Pacific State Medical University
 
 - Issue: Vol 25, No 3 (2022)
 - Pages: 275-282
 - Section: SHORT COMMUNICATIONS
 - Submitted: 13.05.2022
 - Accepted: 09.06.2022
 - Published: 20.09.2022
 - URL: https://rusimmun.ru/jour/article/view/1115
 - DOI: https://doi.org/10.46235/1028-7221-1115-AOG
 - ID: 1115
 
Cite item
Full Text
Abstract
The study of genes controlling cytokine activities of is among important tasks when assessing predisposition and revealing pathogenetic links of initiation and course of clinical disorders. Aberrant production of cytokines and dysregulation of immune response may be considered genetic predictors associated with differentiation and functioning of T helpers, being of decisive importance in pathogenesis of pediatric allergic bronchial asthma. Our objective was to evaluation of associations between polymorphic genotypes and serum levels of cytokines of various T helper profiles in the children with allergic bronchial asthma.
We have observed 175 children aged 3 to 11 years. Of them, we have examined 75 patients diagnosed with allergic bronchial asthma (ABA) as well as 100 healthy children matched for age and gender. All children underwent general clinical and allergological examination. The contents of cytokines attributed to Th1, Th2 and Th17 profiles were determined in blood serum by means of ELISA technique. DNA samples isolated from peripheral venous blood were used for molecular genetic analysis. Using allele-specific PCR technique, the following mutation points were investigated: IFNγ (T-874 A), IL-4 (C-589 T), IL-6 (C-174 G), IL-17A (G- 197 A), TNFα (G-308 A). The analysis of distribution and occurrence of the cytokine gene polymorphisms was carried out, and the odds ratio of the disease risk were calculated. Statistical data processing was carried out using the program “Statistica 10” by methods of descriptive, parametric and non-parametric statistics, comparison of unrelated groups was performed by qualitative characteristics of Hardy–Weinberg equilibrium, and with Chi-square test (χ 2).
These studies have revealed differences in patterns and occurrence of polymorphic genotypes associated with aberrant production of cytokines typical for various Th profiles among the children with allergic bronchial asthma. A comparative analysis of the mutant allele frequencies and cytokine genotypes of various Th profiles, along with determination of the cytokine contents in blood serum of children with allergic bronchial asthma revealed a predominance of homozygous IFNγ 874A, IL-4 589T, IL-6 174G, IL-17A 197A, and TNFα 308A genotypes. Studies of gene polymorphisms, features of production and content of the cytokines specific for T helpers 1, T helpers 2, T helpers 17 profiles in bronchial asthma in the children revealed differences in distribution and occurrence of mutant alleles associated with aberrant cytokine production, variable risk of developing allergic pathology and development of the distinct disease phenotype.
Full Text
Введение
В мире наблюдается неуклонный рост распространенности и ранней реализации аллергических заболеваний, что определяет их в группу социально значимых заболеваний. По данным международных и национальных согласительных документов в настоящее время более 360 млн человек страдают аллергическими заболеваниями, из них 14% дети [3, 7, 9]. В патогенезе аллергических заболеваний определяющая роль принадлежит комплексу иммунопатологических механизмов, включающих избыточную продукцию антител и пролиферацию сенсибилизированных Т-лимфоцитов, сопровождающихся развитием воспаления с повреждением собственных тканей. На формирование типа иммунного ответа влияет большой спектр факторов, включая генетическую предрасположенность, нарушение регуляции и синтеза цитокинов [1, 2, 4, 5, 6, 7, 9, 10]. Бронхиальная астма относится к многофакторным воспалительным заболеваниям, имеет сложную этиологию, зависящую от множества генетических факторов, контроль которого требует понимания различных механизмов иммунопатогенеза [3, 8, 11, 12, 13, 14]. Мутации в генах цитокинов, определяющие дефекты продукции и рецепции отдельных цитокинов, составляют значительную часть иммуноопосредованных механизмов развития и прогрессирования патологических процессов при аллергических заболеваниях [1]. Индукция выработки цитокинов антигеном и локальная концентрация метаболитов в лимфоидной ткани определяет дифференцировку Т-хелперов по пути Тh1, Тh2, Тh17. Одним из механизмов, определяющих вариабельность продукции цитокинов, является наличие однонуклеотидных полиморфизмов, ассоциированных с изменением синтеза биохимических продуктов при различных аллергических заболеваниях [5, 7, 13, 14].
Исследование генов, контролирующих активность цитокинов, важная задача в выявлении предрасположенности и раскрытии патогенетических звеньев инициации, течения заболеваний. Поиск генетических предикторов аллергической бронхиальной астмы занимает важное место среди актуальных задач медицины и направлений научных исследований. Анализ генетических предикторов реализации аллергической бронхиальной астмы, предрасположенности к IgE-опосредованному ответу на антигены и дисрегуляции иммунного ответа позволит прогнозировать фенотипические особенности течения и терапии заболевания. Приведенные обстоятельства определили актуальность цели и задач настоящего исследования.
Цель – оценка сопряженности полиморфных генотипов и содержания в сыворотке крови цитокинов различных профилей Т-хелперов у детей с аллергической бронхиальной астмой.
Материалы и методы
Контингент исследования составили 175 детей в возрасте от трех до одиннадцати лет, в том числе 75 с верифицированным диагнозом аллергической бронхиальной астмы и 100 сопоставимых по полу здоровых сверстников. Верификация диагноза выполнена в соответствии с национальной программой «Бронхиальная астма у детей. Стратегия лечения и профилактика», международным согласительным документом «Global strategy for asthma management and prevention» [10]. При верификации диагноза учитывали наследственный анамнез и анамнез заболевания, проводили аллергологическое обследование (скарификационные пробы, определение общего и специфического IgE к бытовым, эпидермальным, пыльцевым аллергенам в сыворотке крови). Дети с аллергической бронхиальной астмой наблюдались в Городском аллерго-респираторном центре, здоровые сверстники обследованы в Центре Здоровья для детей и взрослых КГБУЗ «Владивостокский клинико-диагностический центр», главный врач А.А. Кабиева. Наличие АБА и письменного согласия родителей обосновывали включение ребенка в группу исследования. В работе соблюдались этические принципы, предъявляемые Хельсинкской Декларацией Всемирной Медицинской Ассоциации и Правилами клинической практики в Российской Федерации и Приказ Минздрава РФ № 266 от 19.06.2003 г. Дизайн исследования одобрен Междисциплинарным комитетом по этике ФГБОУ ВО ТГМУ Минздрава России, информационные согласия подписаны.
При молекулярно-генетическом анализе материалом служили образцы ДНК, выделенные из лейкоцитов периферической венозной крови наборами Genomic DNA Purification Kit (Thermo Fisher Scientific, Уолтем, США). Для исследования однонуклетидных полиморфизмов генов цитокинов применяли метод полимеразной цепной реакции с генотипированием полиморфизмов. Амплификацию проводили, используя стандартные наборы праймеров научно-производственной фирмы «Литех» – SNP (Москва). Визуализацию продуктов амплификации выполняли с помощью электрофореза в окрашенном бромистым этидием агарозном геле. Фотофиксацию проводили c помощью системы гель-документирования VersaDoc Model 4000 (Bio-Rad, США). В исследовании выбраны следующие точки мутаций: интерферона гамма (IFNγ) – T-874 А, интерлейкина-4 (IL- 4) – С-589 Т, интерлейкина-6 (IL-6) – C-174 G, интерлейкина-17А (IL-17A) – G-197 A, фактора некроза опухолей альфа (TNFα) – G-308A.
Содержание интерлейкинов (IL-4, IL-6, IL- 17А), цитокинов (TNFα, IFNγ) в сыворотке крови определяли иммуноферментным твердофазным методом с использованием реактивов ООО «Компания Алкор Био» (г. Санкт-Петербург), Bender Medsystems GmbH (Австрия) и АО «Вектор-Бест» (г. Новосибирск) в соответствии с инструкцией фирмы-производителя. Результаты представлены в пикограммах в миллилитре (пг/мл).
Анализировали полученные результаты, используя методы описательной статистики и программы Statistica 10, с подсчетом: коэффициента отношения шансов (OR), доверительного интервала (CI), коэффициента достоверности показателя и различий (р) с критическим уровнем значимости р < 0,05. Объем выполненных исследований позволил оценить результаты с достоверностью 95-99%. При обработке цифровых данных применяли методы сравнение несвязанных групп по качественным признакам, проводили оценку соответствия распределений генотипов ожидаемым значениям при равновесии Харди–Вайнберга и в сравнении распределений частот генотипов и аллелей в двух субпопуляциях использовали критерий Хи-квадрат (χ2).
Результаты и обсуждение
Проведенные исследования у детей с АБА в сравнении с данными здоровых сверстников выявили различия в структуре и встречаемости полиморфных генотипов цитокинов различных Th-профилей. Частоты генотипов по каждому исследованному гену были протестированы на отсутствие различий в генотипах у здоровых детей и детей с АБА с расчетом критерия χ2. Оценка встречаемости генетических полиморфизмов генов цитокинов у детей с аллергической бронхиальной астмой выявила высокую распространенность гомозиготных генотипов цитокинов профиля Th1 – IFNγ А874А, и гомозиготных генотипов цитокинов Th2 и Th17, IL-4 T589T, IL-6 С174G, IL-17А G197А, TNFα G308А (табл. 1).
ТАБЛИЦА 1. ХАРАКТЕРИСТИКА ПОЛИМОРФИЗМОВ ГЕНОВ ЦИТОКИНОВ У ДЕТЕЙ С АЛЛЕРГИЧЕСКОЙ БРОНХИАЛЬНОЙ АСТМОЙ И ЗДОРОВЫХ СВЕРСТНИКОВ
TABLE 1. CHARACTERIZATION OF CYTOKINE GENE POLYMORPHISMS IN CHILDREN WITH ALLERGIC BRONCHIAL ASTHMA AND HEALTHY PEERS
Цитокин / полиморфизм Cytokine / polymorphism  | Генотипы Genotypes  | Группы наблюдения Observation groups  | |
Здоровые дети Healthy children (n = 100)  | Дети с АБА Children with ABA (n = 75)  | ||
IFNγ 874Т/А  | ТТ  | 32 (32,00%)  | 8 (10,70%)  | 
ТА  | 56 (56,00%)  | 39 (52,00%)  | |
АА  | 12 (12,00%)  | 28 (37,33%)  | |
Частота встречаемости аллеля Allele frequency  | Т  | 120 (60,00%)  | 55 (37,00%)  | 
А  | 80 (40,00%)  | 95 (63,00%)  | |
OR (CI 95%)  | 2,59 (1,67-4,00)  | ||
Критерий χ2 Criterion χ2  | 18,66; р < 0,01  | ||
IL-4 589C/T  | СС  | 75 (75,00%)  | 12 (16,70%)  | 
СТ  | 20 (20,00%)  | 40 (53,30%)  | |
ТТ  | 5 (5,00%)  | 23 (30,00%)  | |
Частота встречаемости аллеля Allele frequency  | С  | 170 (85,00%)  | 64 (42,70%)  | 
Т  | 30 (15,00%)  | 86 (57,30%)  | |
OR (CI 95%)  | 19,30 (11,23-33,31)  | ||
Критерий χ2 Criterion χ2  | 56,97; р < 0,001  | ||
IL-6 174 G/C  | CC  | 33 (33,00%)  | 7 (9,33%)  | 
CG  | 60 (60,00%)  | 44 (58,67%)  | |
GG  | 7 (7,00%)  | 24 (32,00%)  | |
Частота встречаемости аллеля Allele frequency  | C  | 126 (63,00%)  | 58 (54,00%)  | 
G  | 74 (37,00%)  | 92 (46,00%)  | |
OR (CI 95%)  | 2,71 (1,73-4,18)  | ||
Критерий χ2 Criterion χ2  | 20,34; р < 0,001  | ||
IL-17A 197 G/A  | GG  | 34 (34,00%)  | 5 (6,70%)  | 
GА  | 56 (56,00%)  | 40 (53,30%)  | |
АА  | 10 (10,00%)  | 30 (40,00%)  | |
Частота встречаемости аллеля Allele frequency  | G  | 124 (62,00%)  | 50 (33,00%)  | 
А  | 76 (38,00%)  | 100 (67,00%)  | |
OR (CI 95%)  | 0,51 (0,32-0,71)  | ||
Критерий χ2 Criterion χ2  | 28,22; р < 0,001  | ||
TNFα 308G/A  | GG  | 40 (40,00%)  | 15 (20,00%)  | 
GА  | 40 (40,00%)  | 35 (46,60%)  | |
АА  | 20 (20,00%)  | 25 (33,40%)  | |
Частота встречаемости аллеля Allele frequency  | G  | 120 (60,00%)  | 65 (43,30%)  | 
А  | 80 (40,00%)  | 85 (56,70%)  | |
OR (CI 95%)  | 1,96 (1,27-3,01)  | ||
Критерий χ2 Criterion χ2  | 9,55; р = 0,05  | ||
Примечание. OR – коэффициент отношения шансов, CI – доверительный интервал.
Note. OR, odds ratio; CI, confidence interval.
Анализ структуры и встречаемости полиморфизмов промоторной части генов IL-4, IL-6, IL- 17А, TNFα, IFNγ показал наличие и значимость корреляционной зависимости аллельных вариантов генов и продукции соответствующих цитокинов.
Рядом авторов предложен механизм, опосредующий реализацию факторов риска с развитием аллергического заболевания через аберрантную продукцию цитокинов различных Тh1/Тh2/Тh17 профилей и генетическое регулирование, связанное с выраженностью иммунного ответа на антигенное воздействие [1, 4, 5, 6, 7, 12, 13, 14].
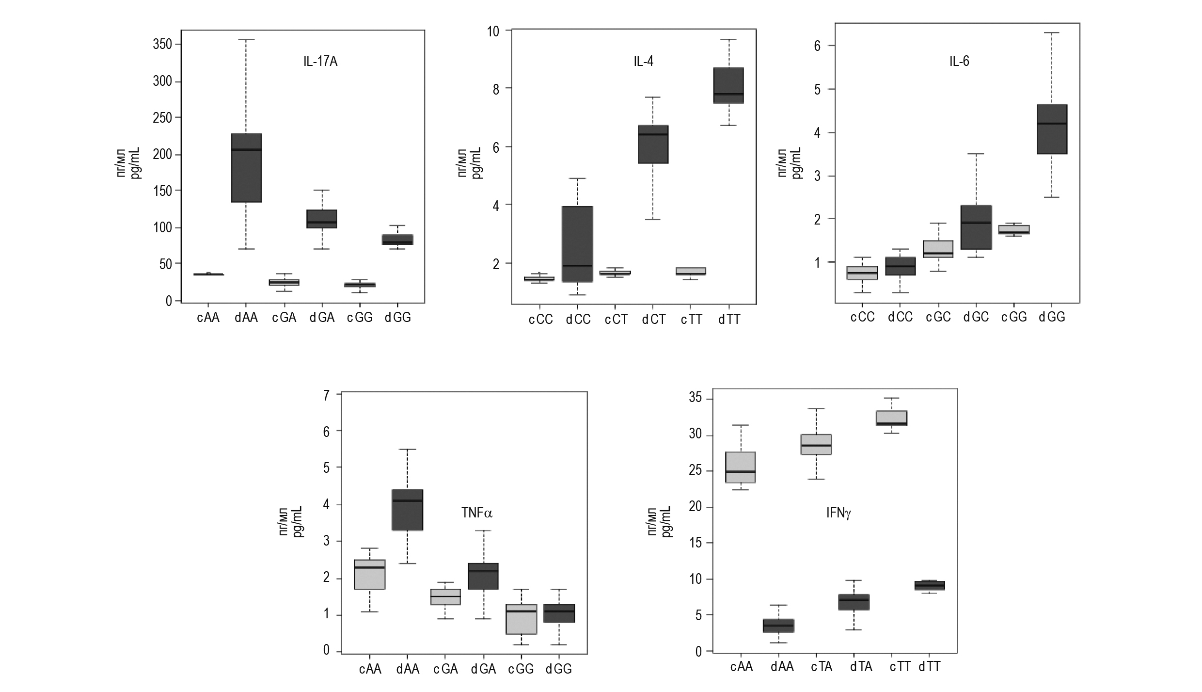
Характеристики взаимосвязи генотипа и уровня в сыворотке крови цитокинов с высокой патогенетической значимостью при реализации аллергического воспаления в органах дыхания определили наиболее высокое содержание цитокина у детей со следующими гомозиготными генотипами: по IL-4 с ТТ, IL-6 с GG, TNFα с АА, IFNγ с ТТ, IL-17А с АА, как в группе наблюдения, так и в группе контроля. Наиболее низкие показатели соответствующего цитокина в сыворотке крови определены у детей с генотипами: по IL-4 с СС, по IL-6 с СС, по TNFα с GG, IFNγ с АА, IL- 17А с GG (рис. 1).
Рисунок 1. Сопряженность полиморфных генотипов и содержание цитокинов в сыворотке крови
Примечание. c – здоровые дети, d – дети с аллергической бронхиальной астмой.
Figure 1. Association of polymorphic genotypes and the content of cytokines in blood serum
Note. c, healthy children; d, children with allergic bronchial asthma.
Проведенные исследования выявили ассоциации аберрантной продукции IL-4, IL-6, IL-17А, TNFα, IFNγ с полиморфными вариантами промоторных регионов генов, что свидетельствует о генетической детерминированности уровня синтеза данных цитокинов. Определена взаимосвязь заболевания и генотипа (p < 0,001) с эффектом парного взаимодействия с высокой статистической значимостью.
Заключение
Таким образом, в проведенном нами анализе генетической вариации генов цитокинов выявил ассоциативные связи между полиморфными вариантами генотипов и измененным синтезом цитокинов, проиллюстрировал информативность определения однонуклеотидных полиморфизмов генов цитокинов как дополнительных диагностических предикторов риска развития и реализации аллергической бронхиальной астмы у детей.
Исследования полиморфизмов генов, особенностей продукции и содержания цитокинов Th1/Th2/Th17 профилей при бронхиальной астме у детей выявили различия в структуре и встречаемости мутантных аллелей, ассоциированных с измененной продукцией цитокина, вариативностью риска развития и реализации аллергического фенотипа болезни.
Проведенное исследование предоставляет информацию о значимости функциональных полиморфизмов генов цитокинов как предикторов, ассоциированных с риском развития и распространенности аллергического воспаления дыхательных путей и фенотипическими особенностями болезни.
About the authors
E. V. Prosekova
Pacific State Medical University
							Author for correspondence.
							Email: gades.med@mail.ru
				                					                																			                								
PhD, MD (Medicine), Professor, Head, Department of Clinical Laboratory Diagnostics, General and Clinical Immunology
Russian Federation, VladivostokM. S. Dolgopolov
Pacific State Medical University
														Email: gades.med@mail.ru
				                					                																			                								
Assistant Professor, Department of Clinical Laboratory Diagnostics, General and Clinical Immunology
Russian Federation, VladivostokA. I. Turyanskaya
Pacific State Medical University
														Email: gades.med@mail.ru
				                					                																			                								
Assistant Professor, Department of Clinical Laboratory Diagnostics, General and Clinical Immunology
Russian Federation, VladivostokV. A. Sabynych
Pacific State Medical University
														Email: gades.med@mail.ru
				                					                																			                								
PhD (Medicine), Associate Professor, Department of Clinical Laboratory Diagnostics, General and Clinical Immunology
Russian Federation, VladivostokReferences
- Брагина Е.Ю., Фрейдин М.Б., Бабушкина Н.П., Гараева А.Ф., Колоколова О.В., Жалсанова И.Ж., Пузырев В.П. Анализ генов цитокиновой сети в развитии «обратной» коморбидности для бронхиальной астмы и туберкулеза // Медицинская генетика, 2017. Т. 16, № 1. С. 20-24. [Bragina E.Yu., Freidin M.B., Babushkina N.P., Garaeva A.F., Kolokolova O.V., Zhalsanova I.Z., Puzyrev V.P. Analysis of cytokine network genes in the development of “reverse” comorbidity for bronchial asthma and tuberculosis. Meditsinskaya genetika = Medical Genetics, 2017, Vol. 16, no. 1, pp. 20-24. (In Russ.)]
 - Касохов Т.Б., Цораева З.А., Мерденова З.С., Касохова В.В., Мазур А.И. Роль иммунной системы в развитии бронхиальной астмы у детей, проживающих в зоне экологического неблагополучия, и методы лечения [Электронный ресурс] // Современные проблемы науки и образования, 2016. № 3. Режим доступа: https://science-education.ru/ru/article/view?id=24412 [Kasokhov T.B., Tsoraeva Z.A., Merdenova Z.S., Kasokhova V.V., Mazur A.I. The role of the immune system in the development of bronchial asthma in children living in the zone of ecological trouble, and methods of treatment [Electronic resource]. Sovremennyye problemy nauki i obrazovaniya = Modern Problems of Science and Education, 2016, no. 3. (In Russ.)] Access mode: https://science-education.ru/ru/article/view?id=24412
 - Курбачева О.М., Жестков А.В., Нагаткин Д.А., Кулагина В.В., Нагаткина О.В. Современный взгляд на иммунопатогенез бронхиальной астмы // Российский аллергологический журнал, 2016. № 2. С. 10-14. [Kurbacheva O.M., Zhestkov A.V., Nagatkin D.A., Kulagina V.V., Nagatkina O.V. Modern view on the immunopathogenesis of bronchial asthma. Rossiyskiy allergologicheskiy zhurnal = Russian Allergology Journal, 2016, no. 2, pp. 10-14. (In Russ.)]
 - Симбирцев А.С. Иммунофармакологические аспекты системы цитокинов // Бюллетень сибирской медицины, 2019. Т. 18, № 1. С. 84-95. [Simbirtsev A.S. Immunopharmacological aspects of the cytokine system. Byulleten sibirskoy meditsiny = Bulletin of Siberian Medicine, 2019, Vol. 18, no. 1, pp. 84-95. (In Russ.)
 - Симбирцев А.С. Цитокины в патогенезе и лечении заболеваний человека. СПб.: Фолиант, 2018. 512 с. [Simbirtsev A.S. Cytokines in the pathogenesis and treatment of human diseases. St. Petersburg: Foliant, 2018. 512 p.
 - Смольникова М.В., Фрейдин М.Б., Смирнова С.В. Гены цитокинов как генетические маркеры атопической бронхиальной астмы с контролируемым и неконтролируемым течением // Медицинская иммунология, 2017. Т. 19, № 5. С. 605-614. [Smolnikova M.V., Freidin M.B., Smirnova S.V. Cytokine genes as genetic markers of controlled and uncontrolled atopic bronchial asthma. Meditsinskaya immunologiya = Medical Immunology (Russia), 2017, Vol. 19, no. 5, pp. 605-614. (In Russ.)] doi: 10.15789/1563-0625-2017-5-605-614.
 - Фрейдин М.Б., Огородова Л.М., Пузырев В.П. Патогенетика аллергических болезней: монография. Новосибирск: изд-во Сиб. отд. РАН, 2015. 149 с. [Freidin M.B., Ogorodova L.M., Puzyrev V.P. Pathogenetics of allergic diseases: monograph. Novosibirsk: Publishing House of Siberian Branch of the Russian Academy of Sciences, 2015. 149 p.
 - de Silva M.J., de Santana M.B.R., Tosta B.R., Espinheira R.P., Alcantara-Neves N.M., Barreto M.L., Figueiredo C.A., Costa R.D.S. Variants in the IL17 pathway genes are associated with atopic asthma and atopy makers in a South American population. Allergy Asthma Clin. Immunol., 2019, Vol. 15, 28. doi: 10.1186/s13223-019-0340-7.
 - Global strategy for asthma management and prevention: Global Initiative for Asthma (GINA): report 2019. 201 p. Available at: www.ginasthma.org (Date of application: 12.05.2022).
 - Hirose K., Iwata A., Tamachi T., Nakajima H. Allergic airway inflammation: key players beyond the Th2 cell pathway. Immunol. Rev., 2017, Vol. 278, no. 1, pp. 145-161.
 - Shumna Т.Y., Fedosieieva O.S., Zinchenko T.P., Nedelska S.M., Voznyi О.V., Kamyshnyi O.M. Characteristics of interleukin-4 gene (C-589T, rs2243250) polymorphism in children with bronchial asthma and allergic rhinitis with isolated or allergic rhinitis-induced comorbid malocclusion. Zaporozhye Medical Journal, 2019, Vol. 21, no. 6, pp. 723-732.
 - Zhai C., Li S., Feng W., Wang J., Wang Q., Chai L., Zhang Q., Yan X., Li M. Association of interleukin-17a rs2275913 gene polymorphism and asthma risk: a meta-analysis. Arch. Med. Sci., 2018, Vol. 14, no. 6, pp. 1204-1211.
 - Zhang Y., Hua L., Liu Q. H., Gan Y., Wu M., Bao Y., Chen Q., Zhang J. Household mold exposure interacts with inflammation-related genetic variants on childhood asthma: a case-control study. BMC Pulm. Med., 2021, Vol. 21, no. 1, 114. doi: 10.1186/s12890-021-01484-9.
 - Zhao W. Neutralization of interleukin-17 suppresses allergic rhinitis symptoms by downregulating Th2 and Th17 responses and upregulating the Treg response. Oncotarget, 2017, Vol. 8, no. 14, pp. 22361-22369.
 
Supplementary files
				
			
					
						
									



