Phenotypic features of innate lymphoid cells in rheumatoid arthritis
- Authors: Boeva O.S.1,2, Berishvili M.T.1,3, Sizikov A.E.1, Pashkina E.A.1
-
Affiliations:
- Research Institute of Fundamental and Clinical Immunology
- Novosibirsk National Research State University
- Novosibirsk State Medical University
- Issue: Vol 25, No 4 (2022)
- Pages: 393-398
- Section: SHORT COMMUNICATIONS
- Submitted: 15.07.2022
- Accepted: 28.07.2022
- Published: 07.10.2022
- URL: https://rusimmun.ru/jour/article/view/1184
- DOI: https://doi.org/10.46235/1028-7221-1184-PFO
- ID: 1184
Cite item
Full Text
Abstract
Currently, rheumatoid arthritis (RA) is considered among the most common autoimmune diseases worldwide, being associated with progressing disability, systemic organ and tissue lesions, as well as social and economic losses for the state. Studies of innate lymphoid cells (ILS) seems to be actual and significant when studying development of autoimmune inflammation in RA, in particular, the issues of the cell plasticity. ILC represent tissue resident lymphoid cells that display functional diversity, like as T cells. Moreover, ILC regulate orientation of immune response by means of cytokine production. Small amounts of ILCs are present in the bloodstream, presumably for migration to target organs and tissues. Accordingly, the study of ILC in RA will promote understanding of the RA pathogenesis. It is also possible in the future to develop new therapeutic strategies based on the impact on the immunological balance, as well as reducing the inflammatory process in RA. The aim of this study was to determine the subpopulation composition and phenotypic features of ILCs in RA.
We have isolated and studied peripheral blood mononuclear cells (PBMC) from 7 patients with RA and 6 healthy donors. The isolated blood MNCs were stained with monoclonal antibodies conjugated to fluorochromes: lineage-specific (CD3/14/16/19/20/56) and anti-FceR1 alpha-FITC, anti-CD294-APC/Cy7, anti-CD127-PerCP/Cy5.5, anti-CD336-PE, anti-CD117-APC. ILCs were defined as Lin-CD127+. The numbers of CD294+ILCs (ILC2) were estimated in the general population, CD117-CD294-ILCs were defined as ILC1, and CD117+CD294-ILCs, as ILC3. The cell phenotype was analyzed with a FACS Canto II flow cytometer (BD Biosciences, USA).
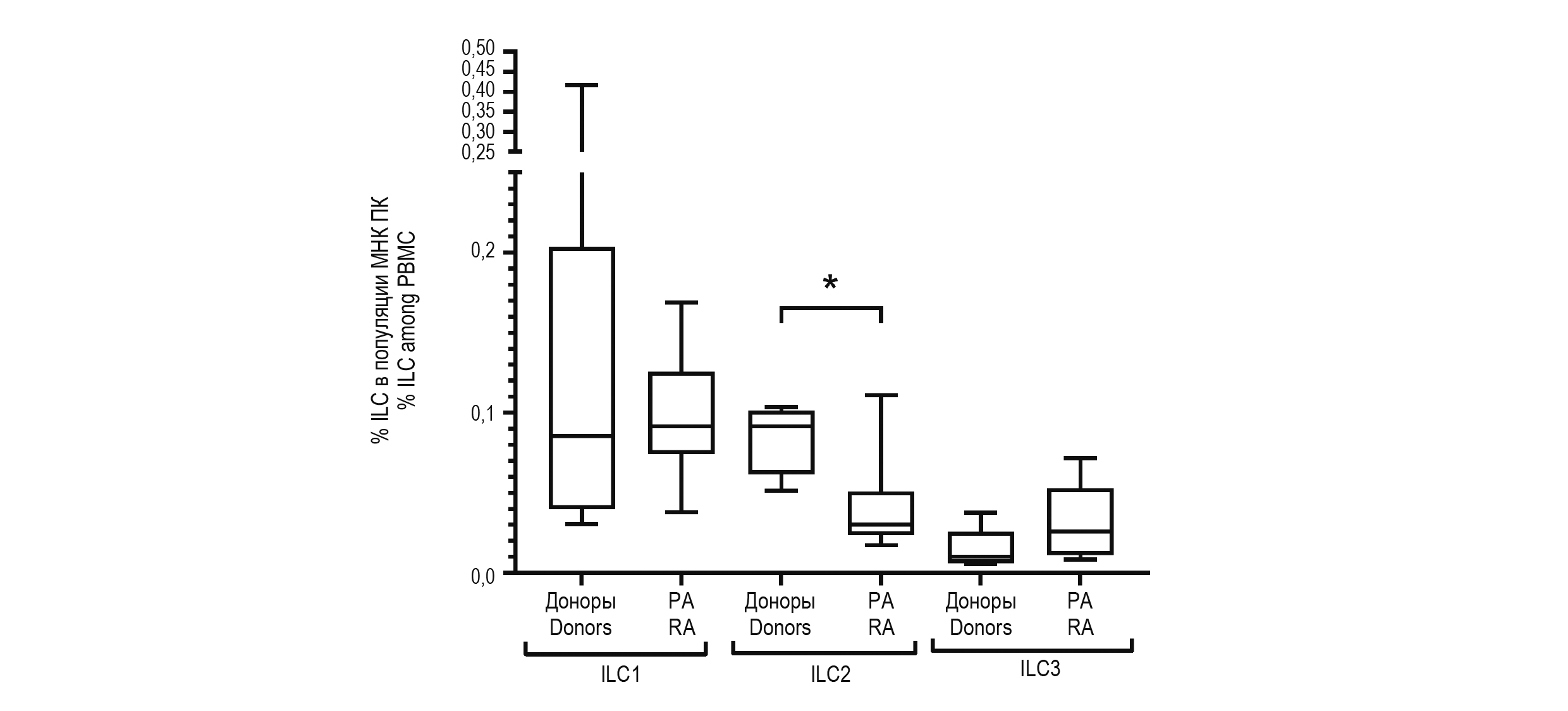
We determined relative numbers of different ILC subpopulations (ILC1, ILC2, and ILC3) among the total blood MNCs. It was shown, that the number of ILC2 cells in RA patients was statistically significantly reduced compared to healthy donors, whereas no significant differences in percentage of ILC1 and ILC3 were revealed between donors and patients. We also evaluated the amount of c-Kit+ILC2; there were no significant differences in the proportion of these cells between donors and patients.
ILCs represent a population of cells that contribute to the RA pathogenesis. The role of ILC2 in RA is, presumably, protective. The ILC imbalance may contribute to the development of RA. For a better understanding of the RA pathogenesis, further studies of the subpopulation profile, phenotypic and functional characteristics of ILC are required in this disorder.
Full Text
Введение
Ревматоидный артрит (РА) на сегодняшний день является одним из самых распространенных аутоиммунных заболеваний в мире [4, 7]. Данная патология связана с прогрессирующей инвалидизацией, системным поражением органов и тканей, а также социально-экономическими издержками для государства [5].
РА до сегодняшнего дня остается важной и значимой проблемой ввиду того, что и противовоспалительная, и биологическая терапия не дают стопроцентных результатов и сопряжены риском развития тяжелых побочных эффектов. Ремиссия при данном виде заболевания достигается крайне редко и требует постоянного использования фармакотерапии [5]. В связи с этим необходимо подробно изучать патогенез РА для поиска новых мишеней лекарственных препаратов.
Интересным представляется изучение роли врожденных лимфоидных клеток (ILC) в развитии аутоиммунного воспаления при РА, в особенности роли пластичности данных клеток. ILC представляют собой резидентные в тканях врожденные лимфоидные клетки, которые имеют функциональное разнообразие, сходное с Т-клетками, а также ILC регулируют направленность иммунного ответа с помощью продукции цитокинов. В небольшом количестве ILC присутствуют в кровеносном русле, предположительно для миграции в целевые органы и ткани. Соответственно, изучение ILC при РА позволит расширить представление о патегенезе РА, а также, возможно, в перспективе разработать новые терапевтические стратегии, основанные на влиянии на иммунологический баланс, а также снижении воспалительного процесса при РА.
Материалы и методы
В исследование были включены 7 пациентов с РА и 6 условно здоровых доноров. После подписания информированного согласия у доноров и пациентов собирали 9 мл крови. Из гепаринизированной венозной крови выделяли мононуклеарные клетки периферической крови (МНК ПК) в градиенте плотности фиколл-урографина (1,077 г/мл). Выделенные МНК ПК окрашивали моноклональными антителами, конъюгированными с флюорохромами: анти-Lineage (CD3/14/16/19/20/56) и анти-FceR1 alpha-FITC, анти-CD294-APC/Cy7, анти-CD127-PerCP/Cy5.5, анти-CD336-PE, анти-CD117-APC. ILC определялись как Lin-CD127+, в общей популяции оценивали количество CD294+ILC (ILC2), CD117-CD294-ILC определялись нами как ILC1, а CD117+СD294-ILC были идентифицированы как ILC3. Фенотип клеток анализировали на проточном цитофлуориметре FACS Canto II (BD Biosciences, США). Статистическая обработка полученных данных проводилась с помощью пакета прикладных программ GraphPad Prism 9.0.0 c использованием критерия Манна–Уитни. Различия считали достоверными при уровне значимости р < 0,05.
Результаты и обсуждение
В первую очередь нами было определено относительное количество различных популяций ILC (ILC1, ILC2 и ILC3) среди МНК ПК (рис. 1). Было показано, что у пациентов с РА статистически значимо снижено число ILC2 клеток по сравнению со здоровыми донорами, в то время как в процентном соотношении ILC1 и ILC3 не наблюдалось достоверных различий между донорами и пациентами.
Рисунок 1. Относительное количество различных субпопуляций ILC в норме и при ревматоидном артрите
Примечание. * – достоверные различия по сравнению с донорами.
Figure 1. Number of different ILC subpopulations in normal and rheumatoid arthritis
Note. *, significant differences compared with donors.
Также нами была проведена оценка количества c-Kit+ILC2, достоверных различий в доле данных клеток между донорами и пациентами не наблюдалось (рис. 2). Данная субпопуляция обладает большей функциональной пластичностью и способна к трансдифференцировке [2].
Рисунок 2. Относительное количество c-Kit+ILC2 в норме и при ревматоидном артрите
Figure 2. Number of c-Kit+ILC2 in normal and rheumatoid arthritis patients
В литературных источниках имеются противоречивые данные относительно количества различных субпопуляций ILC при РА. Так, Leijten E.F.A. и соавт. показали, что ILC3 клеток в синовиальной жидкости у пациентов, страдающих псориатическим артритом было в 4 раза больше, чем у пациентов страдающих РА [3]. В обзорной статье Wu X. сообщает, что у пациентов с РА процент ILC в синовиальной жидкости положительно коррелировал с количеством воспаленных суставов. Wu X. также сообщал о том, что ILC1 были значительно увеличены при РА и у лиц с высоким риском развития РА по сравнению с контрольной группой [8].
Исследование образцов лимфатических узлов, которые получили от пациентов с РА, показали, что ILC1 и ILC3 были повышены по сравнению со здоровыми людьми. Однако у пациентов с высоким риском развития РА были повышены только ILC1. Эти данные показывают, что распределение клеток может зависеть от стадии РА от самой ранней до активной фазы РА. В синовиальной оболочке у пациентов в активной фазе РА было сниженное количество ILC2, а в ремиссии, наоборот, повышенное [1].
Имеются также и другие данные о протективной роли ILC2 [9], у пациентов со стабильным РА(DAS28 ≤ 3,2) была снижена доля ILC1 и увеличена доля ILC2 по сравнению с пациентами с активным РA (DAS28 > 3,2) и здоровыми донорами, кроме того, у пациентов с РА была снижена доля ILC3 по сравнению с донорами, а также наблюдалась отрицательная корреляция между долей ILC2 и активностью заболевания. В другом исследовании было показано, что ILC2 могут подавлять развитие артрита у мышей и препятствовать деструкции костной ткани [6].
Edilova M.I и соавт. показали, что ILC2 могут контролировать пролиферацию Treg. Отсутствие ILC2 приводило к увеличению воспаления, а индукция ILC2 приводила, наоборот к уменьшению воспаления [1].
Заключение
Таким образом, ILC являются популяцией клеток, которые вносят весомый вклад в патогенез РА, роль ILC2 предположительно является протективной при РА. Нарушение баланса ILC может способствовать развитию РА, для лучшего понимания патогенеза РА необходимо дальнейшее изучение субпопуляционного состава, фенотипических и функциональных характеристик ILC при данном заболевании.
Исследование выполнено в рамках темы НИР № 122012000366-9 «Изучение иммунопатогенеза фенотипов социально значимых заболеваний человека и полиморбидности как основа для разработки новых методов персонифицированной диагностики и лечения».
About the authors
O. S. Boeva
Research Institute of Fundamental and Clinical Immunology; Novosibirsk National Research State University
Author for correspondence.
Email: starchenkova97@gmail.com
Researcher Laboratory Assistant, Laboratory of Clinical Immunopathology; Student
Russian Federation, Novosibirsk; NovosibirskM. T. Berishvili
Research Institute of Fundamental and Clinical Immunology; Novosibirsk State Medical University
Email: starchenkova97@gmail.com
Researcher Laboratory Assistant, Laboratory of Clinical Immunopathology; Student
Russian Federation, Novosibirsk; NovosibirskA. E. Sizikov
Research Institute of Fundamental and Clinical Immunology
Email: starchenkova97@gmail.com
PhD (Medicine), Head, Department of Rheumatology, Acting Chief Physician of the Immunopathology Clinic
Russian Federation, NovosibirskE. A. Pashkina
Research Institute of Fundamental and Clinical Immunology
Email: starchenkova97@gmail.com
PhD (Biology), Senior Research Associate, Laboratory of Clinical Immunopathology
Russian Federation, NovosibirskReferences
- Edilova M.I., Akram A., Abdul-Sater A.A. Innate immunity drives pathogenesis of rheumatoid arthritis. Biomed. J., 2021, Vol. 44, no. 2, pp. 172-182.
- Hochdörfer T., Winkler C., Pardali K., Mjösberg J. Expression of c-Kit discriminates between two functionally distinct subsets of human type 2 innate lymphoid cells. Eur. J. Immunol., 2019, Vol. 49, no. 6, pp. 884-893.
- Leijten E.F., van Kempen T.S., Boes M., Michels-van Amelsfort J.M., Hijnen D., Hartgring S.A., van Roon J.A., Wenink M.H., Radstake T.R. Brief report: enrichment of activated group 3 innate lymphoid cells in psoriatic arthritis synovial fluid. Arthritis Rheumatol., 2015, Vol. 67, no. 10, pp. 2673-2678.
- Marsal S., Julià A. Rheumatoid arthritis pharmacogenomics. Pharmacogenomics, 2010, Vol. 11, no. 5, pp. 617-619.
- McInnes I.B., Schett G. The pathogenesis of rheumatoid arthritis. N. Engl. J. Med., 2011, Vol. 365, no. 23, pp. 2205-2219.
- Omata Y., Frech M., Primbs T., Lucas S., Andreev D., Scholtysek C., Sarter K., Kindermann M., Yeremenko N., Baeten D.L., Andreas N., Kamradt T., Bozec A., Ramming A., Krönke G., Wirtz S., Schett G., Zaiss M.M. Group 2innate lymphoid cells attenuate inflammatory arthritis and protect from bone destruction in mice. Cell Rep., 2018, Vol. 24, pp. 169-180.
- Smolen J.S., Aletaha D., Bijlsma J.W., Breedveld F.C., Boumpas D., Burmester G., Combe B., Cutolo M., de Wit M., Dougados M., Emery P., Gibofsky A., Gomez-Reino J.J., Haraoui B., Kalden J., Keystone E.C., Kvien T.K., McInnes I., Martin-Mola E., Montecucco C., Schoels M., van der Heijde D.; T2T Expert Committee. Treating rheumatoid arthritis to target: recommendations of an international task force. Ann. Rheum. Dis., 2010, Vol. 69, no. 4, pp. 631-637.
- Wu X. Innate lymphocytes in inflammatory arthritis. Front. Immunol., 2020, Vol. 11, 565275. doi: 10.3389/fimmu.2020.565275.
- Yang F., Luo X., Zhu W., Li J., Zheng Z., Zhu P. Dysregulation of innate lymphoid cells in patients with active rheumatoid arthritis and mice with collagen-induced arthritis. Mediators Inflamm., 2021, Vol. 2021, 1915068. doi: 10.1155/2021/1915068.





