Effect of graphene oxide nanoparticles on apoptosis of T-lymphocytes and Jurkat cells
- Authors: Usanina D.I.1,2, Uzhviyuk S.V.2, Zamorina S.A.1,2
-
Affiliations:
- Institute of Ecology and Genetic of Microorganisms, Perm Federal Research Center, Ural Branch, Russian Academy of Sciences
- Perm State University
- Issue: Vol 26, No 3 (2023)
- Pages: 409-414
- Section: SHORT COMMUNICATIONS
- Submitted: 12.05.2023
- Accepted: 29.06.2023
- Published: 11.08.2023
- URL: https://rusimmun.ru/jour/article/view/9635
- DOI: https://doi.org/10.46235/1028-7221-9635-EOG
- ID: 9635
Cite item
Full Text
Abstract
Graphene and its derivatives are materials with unique physicochemical properties. A detailed study of these materials allows to consider them prospective biomedical agents for targeted drug and gene delivery, photothermal therapy of cancer, bioimaging, etc. However, this requires a comprehensive studies of their effects on the body tissues, including cells of the immune system.
The aim of our research was to stydy the effects of nanoparticles based on pegylated graphene oxide (GO) upon apoptosis of T lymphocytes derived from blood of healthy donors and Jurkat 5332 cell line. Comparison of these cells will extend our knowledge of the effects of nanomaterials on the cells, and to respond the question, what results obtained with continuous cell lines are valid for normal non-malignant cells. In this work, we used GO nanoparticles (100-200 nm, 1-5 ìm) coated with linear (LP-GO) and branched (BP-GO) polyethylene glycol (PEG). The cells were cultured for 24 hours at 37 °C and 5% CO2 with nanoparticles at concentrations of 5 and 25 ìg/mL. Viability and early and late apoptosis of incubated Jurkat cells and CD3+ cells from healthy donors were assessed by flow cytometry. It was found that the small nanoparticles coated with linear PEG at high concentrations (25 ìg/mL) could significantly reduce the number of live cells and increase the number of cells in late apoptosis. At the same time, large nanoparticles coated with branched PEG at high concentrations (25 ìg/mL) increased the percentage of T cells in early apoptosis.
Meanwhile, the GO nanoparticles at both concentrations did not affect the viability and apoptosis of Jurkat cells, regardless of the size, concentration, and type of surface function of the particles.
The obtained results suggest that GO nanoparticles exert different effects upon normal and malignant lymphocytes of T lineage. One may assume that these discrepancies could be explained by greater resistance of tumor cells compared to normal T cells. These findings suggests that studies of nanomaterials upon living cells should not be limited to experiments on cell lines, since their properties may significantly differ from those of non-malignant cells.
Keywords
Full Text
Введение
Биомедицинские и фармацевтические исследования не теряют своей актуальности. Одно из перспективных направлений в данной области – наноматериалы. В последние десятилетия тема наноматериалов активно развивается благодаря их уникальным физико-химическим свойствам, возможностям направленной модификации и многофункциональности. Наноматериалы могут быть использованы для адресной доставки лекарств и генов, фототермической терапии раковых заболеваний, биовизуализации и пр. [10].
Наноматериалы на основе углерода включают в себя углеродные нанотрубки, фуллерены, наноалмазы, графен и его производные. Преимуществами углеродных материалов являются обширные возможности модификации, малые размеры, большая удельная площадь поверхности, высокая тепло- и электропроводность, уникальные оптические и механические свойства. Углубленное изучение этих материалов позволяет рассматривать их в качестве перспективных биомедицинских агентов, однако требует тщательного исследования их влияния на различные клетки организма [8, 12].
В настоящее время активно изучается биосовместимость графена и его производных. Актуальным является исследование взаимодействия графена с клетками иммунной системы, так как именно они будут первыми контактировать с наноматериалом в случае его биомедицинского применения. В литературе можно найти как отдельные исследования по этой теме, так и комплексные обзоры, охватывающие большое число клеточных популяций [3]. Стоит отметить, что наноматериалы обычно покрывают биосовместимыми полимерами, снижающими их цитотоксичность, такими как полиэтиленгликоль (ПЭГ).
В качестве модели для изучения биосовместимости материалов часто используют линии раковых клеток, так как это облегчает проведение экспериментов и позволяет избавиться от процедур изоляции клеток. Однако, ввиду большей устойчивости раковых клеток, остается спорным вопрос о возможности экстраполяции данных, полученных в ходе подобных экспериментов, на неизмененные клетки.
Мы поставили перед собой цель выяснить, оказывают ли наночастицы оксида графена влияние на жизнеспособность и апоптоз Т-лимфоцитов из крови здоровых людей, а также линию раковых лимфоцитов. Полученные данные позволят расширить наше понимание взаимодействия наноматериалов с живыми системами, а также сделать выводы о достоверности данных, полученных лишь при использовании иммортализированных линий клеток.
Материалы и методы
Исследование проводили в соответствии с Хельсинкской декларацией Всемирной медицинской ассоциации 2000 г. и протоколом Конвенции Совета Европы о правах человека и биомедицине 1999 г., на используемую экспериментальную схему получено разрешение Этического комитета «Института экологии и генетики микроорганизмов УрО РАН» (IRB00010009) от 30.08.2019. От каждого донора было получено информированное согласие.
В работе использовали наночастицы оксида графена размерами 100-200 нм (маленькие, «м»), и 1-5 мкм (большие, «б») (Ossila Ltd, Великобритания). Функционализированные наночастицы были получены в рамках проекта РНФ № 19-15-00244 (рук. Заморина С.А.). Процедуры модификации наночастиц осуществлялись в ИТХ УрО РАН к.х.н. Нечаевым А.И.
Модификация наночастиц оксида графена линейным (П-ОГ) и разветвленным (рП-ОГ) полиэтиленгликолем осуществлялась методом ковалентной пришивки аминогрупп к карбоксильным группам на поверхности оксида графена через образование амидной связи [5]. Покрытие наночастиц разветвленным ПЭГ по сравнению с линейным улучшает их коллоидную стабильность в растворах. Модификацию структуры и состава оксида графена полиэтиленгликолем подтверждали при помощи УФ- и ИК-Фурье спектроскопии. Определение степени покрытия наночастиц полиэтиленгликолем проводили методом термогравиметрического анализа. Характеристика наночастиц и процедуры функционализации ОГ была представлена нами ранее [7].
Для сравнения эффектов, оказываемых оксидом графена на здоровые и раковые клетки, мы использовали лимфоциты, полученные из крови условно здоровых доноров (n = 5), а также клетки иммортализированной Т-клеточной линии Jurkat 5332 (Российская коллекция клеточных культур позвоночных Института цитологии РАН, Санкт-Петербург) (n = 5).
Лейкоциты выделяли из крови методом спонтанной седиментации в течение 40 минут при 37 °С, после чего культивировали в полной культуральной среде (CCM, RPMI (Sigma) с добавлением 1% пенициллина-стрептомицина-амфотерицина (BI), 10% объединенной человеческой сыворотки, 2 мМ L-глутамина, 10 мМ HEPES. Клетки линии Jurkat 5332 культивировали в питательной среде RPMI-1640 с добавлением 2 мМ L-глутамина, 100 Ед пенициллина, 0,1 мг/мл стрептомицина, 2,5 мкг/мл амфотерицина B и 10% инактивированной эмбриональной телячьей сыворотки.
Клетки культивировали в 96-луночных планшетах в концентрации 1 млн клеток/мл. Клетки культивировали во влажной атмосфере в CO2-инкубаторе при 37 °С и 5% CO2 в течение суток. Так как число доноров для получения мононуклеарных клеток составляло 5, с клетками Jurkat также проводили серию из пяти экспериментов. Наночастицы П-ОГ и рП-ОГ вносили до конечных концентраций 5 и 25 мкг/мл. Контролем служили лунки без добавления наночастиц.
Для определения жизнеспособности клеток после культивирования в присутствии наночастиц оксида графена использовали краситель Zombie aqua (ZA) (Invitrogen, США). Для оценки числа апоптотирующих клеток использовали Annexin V FITC (BioLegend, США). Оценивали ранний (ZA-AnnV+) и поздний апоптоз/некроз (ZA+AnnV+) клеток. Лейкоциты из крови доноров также окрашивали антителами к CD3-PB (Miltenyi Biotec, США) и оценивали апоптоз в субпопуляции CD3+ (T-клетки). Окрашенные образцы анализировали с использованием проточного цитометра CytoFLEX S (Beckman Coulter, США). Порог между позитивными (окрашенными) и негативными субпопуляциями клеток определяли с использованием неокрашенных проб, а также контролей флуоресценции минус один (FMO). Данные проточной цитометрии анализировали с помощью программы CytExpert (Beckman Coulter, США).
Статистическую обработку данных проводили в программе GraphPad Prizm 8.0.1. Для оценки использовали тест Фридмана и post-hoc тест Данна для множественных сравнений. Результаты представляли в виде медианы, нижнего и верхнего квартилей – Me (Q0,25-Q0,75). Уровень значимости принимали за 0,05.
Результаты и обсуждение
При изучении влияния пегилированых наночастиц оксида графена установлено, что в исследуемых концентрациях они не оказывают влияния на жизнеспособность клеток линии Jurkat вне зависимости от типа поверхностной функционализации (рис. 1). Средние значения жизнеспособности клеток в культурах с добавлением графена колебались в пределах 96,97-97,47% (контроль – 97,18%) Однако частицы малых размеров, функционализированные линейным полиэтиленгликолем, в концентрации 25 мкг/ мл достоверно понижали жизнеспособность Т-лимфоцитов здоровых доноров (рис. 1).
Рисунок 1. Влияние оксида графена на жизнеспособность T-лимфоцитов из крови здоровых доноров и клеток линии Jurkat
Примечание. По оси X обозначены тип и концентрация наночастиц оксида графена, по оси Y – процент живых клеток (ZA-). Контроль – культуры без добавления графена. Звездочкой обозначены значения p < 0,05.
Figure 1. Effect of graphene oxide on the viability of T lymphocytes from the blood of healthy donors and Jurkat cells
Note. The x-axis indicates the type and concentration of nanoparticles; the y-axis is the percentage of living cells (ZA-). Control, culture without GO. Significant differences (p < 0.05) are indicated (*).
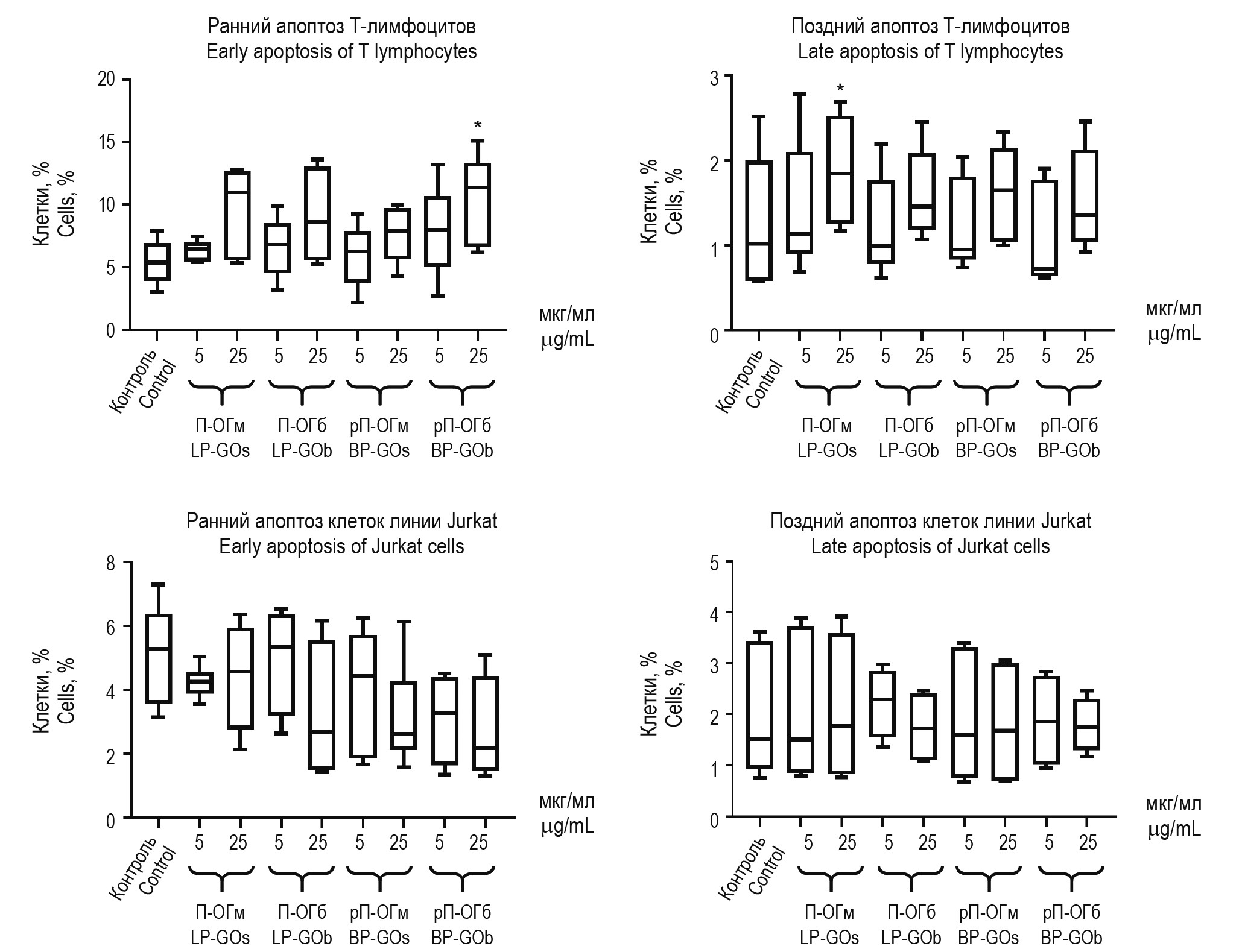
Эти же наночастицы (П-ОГм, 25 мкг/мл) повышали число клеток в состоянии позднего апоптоза (рис. 2). В то же время в отношении раннего апоптоза зафиксирован стимулирующий эффект другого типа наночастиц – больших, функционализированных разветвленным полиэтиленгликолем (рП-ОГб, 25 мкг/мл) (рис. 2).
В отношении клеток линии Jurkat не установлено достоверных различий в числе клеток в состоянии раннего и позднего апоптоза в присутствии наночастиц оксида графена (рис. 2).
Рисунок 2. Влияние оксида графена на ранний и поздний апоптоз Т-лимфоцитов и клеток линии Jurkat
Примечание. По оси X обозначены тип и концентрация наночастиц оксида графена, по оси Y – процент клеток в состоянии раннего и позднего апоптоза соответственно. Контроль – культуры без добавления графена. Звездочкой обозначены значения p < 0,05.
Figure 2. Effect of graphene oxide on early and late apoptosis of T lymphocytes and Jurkat cells
Note. The x-axis indicates the type and concentration of nanoparticles; the y-axis is the percentage of cells in the state of early and late apoptosis, respectively. Control, culture without GO. Significant differences (p < 0.05) are indicated (*).
Ранее нами было установлено, что наночастицы пегилированного оксида графена вызывают снижение прироста клеточной массы Т-лимфоцитов линии Jurkat [1]. При этом статистический анализ не выявил достоверного снижения жизнеспособности клеток, что согласуется с данными текущего исследования. Исходя из полученной информации, можно сделать вывод о том, что пегилированный оксид графена в концентрации 5-25 мкг/мл затрудняет лишь пролиферацию клеток данной линии, не вызывая их гибели.
Проведенные ранее исследования свидетельствуют также о снижении клеточной массы мононуклеарных клеток периферической крови человека при суточной инкубации с оксидом графена [2]. Наиболее выраженный подавляющий эффект наблюдался у частиц, покрытых разветвленным ПЭГом, которые также вызывали образование клеточных агрегатов; а в текущей работе такие частицы повышали число клеток в состоянии раннего апоптоза. Одновременно, не было отмечено влияния наночастиц ОГ на жизнеспособность мононуклеарных клеток [2]. В настоящей работе наночастицы вызывали достоверное снижение процента живых CD3+ клеток, однако нельзя игнорировать тот факт, что в целом, показатели жизнеспособности остаются довольно высокими. Кроме того, CD3+ клетки составляют 45-70% от всех мононуклеаров крови, и изменения количества живых клеток в этой субпопуляции могли быть не детектируемы в предыдущем исследовании.
Известно, что присутствие наночастиц оксида графена может вызывать гибель клеток, однако оказываемые эффекты находятся в зависимости от размеров и концентрации частиц, а также типа поверхностной функционализации [11]. Например, в отношении Т-клеток известно, что ОГ без поверхностной модификации, а также ОГ-COOH, обладают хорошей биосовместимостью в концентрациях до 25 мкг/мл, в то время как покрытые полиэтиленамином частицы токсичны уже в концентрации 1,6 мкг/мл [5]. При этом в большей степени апоптозу подвержены активированные Т-лимфоциты [9]. Так, в исследованиях Ding с соавт. [5] в состоянии позднего апоптоза находилось до 67,4% клеток из культуры Т-лимфоцитов после суточной инкубации с ОГ. В нашем исследовании Т-клетки не подвергались предварительной активации, что объясняет гораздо меньшую выраженность цитотоксических эффектов графена. Кроме того, при покрытии частиц полиэтиленгликолем, как и в нашем случае, также обнаруживается снижение апоптоза клеток [11].
Для оценки биосовместимости материалов, в том числе графена, зачастую используют линии раковых клеток [4, 6]. В большинстве случаев, как и в нашем исследовании, отмечается, что жизнеспособность раковых клеток снижается в меньшей степени, чем у нормальных. Это может быть объяснено тем, что линии раковых клеток более устойчивы к повреждениям или метаболическим нарушениям. Наше исследование подтверждает, что использование клеточных линий не может полностью заменить эксперименты со здоровыми клетками, а к полученным данным следует относиться с осторожностью: иммортализованные клетки не отображают процессы, происходящие при взаимодействии наноматериала со здоровыми клетками.
Выводы
Показано, что наночастицы оксида графена в концентрации 25 мкг/мл способны вызывать апоптоз Т-клеток, а также снижать их жизнеспособность. Оказываемые эффекты определяются типом поверхностной функционализации и размером частиц. В то же время наночастицы ОГ не оказывали цитотоксического влияния на изучаемые параметры клеток линии Jurkat.
Таким образом, полученные данные свидетельствуют о том, что наночастицы ОГ по-разному влияют на Т-лимфоциты и клетки линии Jurkat, из-за чего данные, полученные при использовании клеточной линии, нельзя экстраполировать на здоровые клетки.
About the authors
Darya I. Usanina
Institute of Ecology and Genetic of Microorganisms, Perm Federal Research Center, Ural Branch, Russian Academy of Sciences; Perm State University
Author for correspondence.
Email: usanina_d@mail.ru
ORCID iD: 0000-0003-0436-0890
Junior Research Associate, Laboratory of Molecular Immunology
Russian Federation, 13 Golev St., Perm 614081, Пермь; 15, st. Bukirev, PermSofya V. Uzhviyuk
Perm State University
Email: kochurova.sofja@yandex.ru
Engineer, Laboratory of Cellular Immunology and Nanobiotechnology
15, st. Bukirev, PermSvetlana A. Zamorina
Institute of Ecology and Genetic of Microorganisms, Perm Federal Research Center, Ural Branch, Russian Academy of Sciences; Perm State University
Email: mantissa7@mail.ru
PhD, MD (Biology), Leading Research Associate, Laboratory of Cellular Immunology and Nanobiotechnology, Professor, Department of Microbiology and Immunology
Russian Federation, 13 Golev St., Perm 614081, Пермь; 15, st. Bukirev, PermReferences
- Заморина С.А., Храмцов П.В., Раев М.Б., Тимганова В.П., Бочкова М.С., Нечаев А.И., Шунькин Е.О., Хазиахматова О.Г., Малащенко В.В., Литвинова Л.С. Взаимодействие наночастиц оксида графена с клетками линии Jurkat в системе Cell-IQ // Доклады российской академии наук. Науки о жизни, 2021. Т. 501. C. 78-84. [Zamorina S.A., Khramtsov P.V., Rayev M.B., Timganova V.P., Bochkova M.S., Nechaev A.I., Shunkin E.O., Khaziakhmatova O.G., Malashchenko V.V., Litvinova L.S. Graphene oxide nanoparticles interaction with Jurkat cell line in Cell-IQ system. Doklady rossiyskoy akademii nauk. Nauki o zhizni = Reports of the Russian Academy of Sciences. Life Sciences, 2021, Vol. 501, pp. 78-84. (In Russ.)]
- Ужвиюк С.В., Храмцов П.В., Раев М.Б., Тимганова В.П., Бочкова М.С., Хазиахматова О.Г., Малащенко В.В., Литвинова Л.С., Заморина С.А. Взаимодействие наночастиц оксида графена с мононуклеарными клетками человека в системе Cell-IQ // Клеточные технологии в биологии и медицине, 2023. № 1. [Uzhviyuk S.V., Khramtsov P.V., Rayev M.B., Timganova V.P., Bochkova M.S., Khaziakhmatova O.G., Malashchenko V.V., Litvinova L.S., Zamorina S.A. Graphene oxide nanoparticles interaction with human mononuclear cells in Cell-IQ system. Kletochnye tekhnologii v biologii i meditsine = Cellular Technologies in Biology and Medicine, 2023, Vol. 1. (In Russ.)]
- Храмцов П.В., Раев М.Б., Тимганова В.П., Бочкова М.С., Заморина С.А. Взаимодействие наночастиц оксида графена с клетками иммунной системы // Гены и клетки, 2020. Т. 15, № 3. C. 29-38. [Khramtsov P.V., Rayev M.B., Timganova V.P., Bochkova M.S., Zamorina S.A. Interaction of graphene oxide nanoparticles with cells of the immune system. Geny i kletki = Genes and Cells, 2020, Vol. 15, pp. 29-38. (In Russ.)]
- Cai X., Tan S., Yu A., Zhang J., Liu J., Mai W., Jiang Z. Sodium 1-naphthalenesulfonate-functionalized reduced graphene oxide stabilizes silver nanoparticles with lower cytotoxicity and long-term antibacterial activity. Chem. Asian J., 2012, Vol. 7, no. 7, pp. 1664-1670.
- Ding Z., Zhang Z., Ma H., Chen Y. In vitro hemocompatibility and toxic mechanism of graphene oxide on human peripheral blood T lymphocytes and serum albumin. ACS Appl. Mater. Interfaces, 2014, Vol. 6, no. 22, pp. 19797-19807.
- Hong B.J., Compton O.C., An Z., Eryazici I., Nguyen S.T. Successful Stabilization of Graphene Oxide in Electrolyte Solutions: Enhancement of biofunctionalization and cellular uptake. ACS Nano, 2012, Vol. 6, no. 1, pp. 63-73.
- Khramtsov P., Bochkova M., Timganova V., Nechaev A., Uzhviyuk S., Shardina K., Maslennikova I., Rayev M., Zamorina S. Interaction of graphene oxide modified with linear and branched PEG with monocytes isolated from human blood. Nanomaterials, 2022, Vol. 12, no. 1, 126. doi: 10.3390/nano12010126.
- Kiew S.F., Kiew L.V., Lee H.B., Imae T., Chung L.Y. Assessing biocompatibility of graphene oxide-based nanocarriers: A review. J. Control. Release, 2016, Vol. 226, pp. 217-228.
- Lenardo M., Chan K.M., Hornung F., McFarland H., Siegel R., Wang J., Zheng L. Mature T lymphocyte apoptosis – immune regulation in a dynamic and unpredictable antigenic environment. Annu Rev. Immunol., 1999, Vol. 17, pp. 221-253.
- Liao C., Li Y., Tjong S.C. Graphene nanomaterials: synthesis, biocompatibility, and cytotoxicity. Int. J. Mol. Sci., 2018, Vol. 19, no. 11, 3564. doi: 10.3390/ijms19113564.
- Ou L., Lin S., Song B., Liu J., Lai R., Shao L. The mechanisms of graphene-based materials-induced programmed cell death: a review of apoptosis, autophagy, and programmed necrosis. Int. J. Nanomedicine, 2017, Vol. 12, pp. 6633-6646.
- Rhazouani A., Gamrani H., El Achaby M., Aziz K., Gebrati L., Uddin M.S., Aziz F. Synthesis and toxicity of graphene oxide nanoparticles: a literature review of in vitro and in vivo studies. Biomed Res Int., 2021, Vol. 2021, 5518999. doi: 10.1155/2021/5518999.
Supplementary files





