Роль пассивной и активной миостимуляции в изменении уровней некоторых цитокинов
- Авторы: Ахметьянов Р.Р.1, Давыдова Е.В.1,2, Сабирьянов А.Р.2, Щербакова И.Л.1
-
Учреждения:
- ГБУЗ «Челябинская областная клиническая больница»
- ФГБОУ ВО «Южно-Уральский государственный медицинский университет» Министерства здравоохранения РФ
- Выпуск: Том 26, № 3 (2023)
- Страницы: 211-216
- Раздел: КРАТКИЕ СООБЩЕНИЯ
- Дата подачи: 15.05.2023
- Дата принятия к публикации: 29.06.2023
- Дата публикации: 11.08.2023
- URL: https://rusimmun.ru/jour/article/view/9907
- DOI: https://doi.org/10.46235/1028-7221-9907-ROP
- ID: 9907
Цитировать
Полный текст
Аннотация
Травма передней крестообразной связки (ПКС) коленного сустава сопровождается развитием артрогенного мышечного торможения, вследствие дизрегулирующих афферентных влияний на возбудимость спинномозговых и супраспинальных путей. Цель – изучение показателей электромиографии, уровней миокинов на фоне миостимуляции при травматическом повреждении ПКС.
Принимали участие 28 мужчин-спортсменов с травматическим повреждением ПКС. Все пациенты при поступлении проходили электромиографическое исследование травмированной конечности на аппарате ЭМГ/ВП Viking Quest (Nicolet, США). Части пациентов за 10 дней до начала оперативного лечения, проводили пассивную электромиостимуляцию (ЭМС) четырехглавой мышцы бедра на аппарате INTELECT® Advanced (Chattanooga (DJO), США). Далее всем пациентам проводили артропластику на артроскопе Karl Storz (Германия). В послеоперационный период на протяжении 2-недельной иммобилизации все пациенты получали ЭМС, после снятия ортеза пациенты переходили к режиму активных тренировок. Уровни цитокина IL-6 исследовали с помощью набора реагентов для ИФА (АО «Вектор-Бест», Новосибирск), трансформирующего фактора роста – β (Cloud-Clone Corp., Китай). Статистическая обработка материала проводилась при помощи пакета Statistica. vers.10.0 (StatSoft Inc., США).
Наиболее высокая средняя амплитуда (мкВ) при проведении электромиографии регистрировалась у здоровых лиц, у пациентов основной группы фиксировались значимо меньшие величины средней амплитуды. После проведения 10-дневной ЭМС отмечено значимое увеличение показателя до значений здоровых лиц. В динамике после оперативного вмешательства показатели ЭМГ без ЭМС оставались на прежнем низком уровне, значения, регистрируемые на фоне ЭМС, были сравнимы со здоровыми лицами, что отражает более быстрое и качественное восстановление мышц после травмы. Уровни цитокинов – миокинов IL-6 и TGF-β1 значимо превысили исходные уровни на фоне ЭМС. Биологическое значение повышения уровня IL-6 при мышечной нагрузке заключается в активации на уровне скелетной мускулатуры АМФ-киназы и/или фосфатидилинозитол-3-киназы и более эффективном обеспечении мышц энергетическим субстратом. TGF-β1 способствует пролиферации фибробластов, увеличивает содержание коллагена.
Проведение пассивной и активной ЭМС приводит к улучшению показателей электромиографии, повышению концентрации в крови миокинов – IL-6 и TGF-β1, что способствует улучшению энергетического баланса, повышению противовоспалительного и репаративного потенциала поврежденных тканей.
Ключевые слова
Полный текст
Введение
Повреждение передней крестообразной связки (ПКС) у спортсменов происходит с частотой около 4-5 случаев на 1000 человек в год [1], по данным зарубежных авторов, в среднем 69 случаев на 100 000 человек в год, у мужчин-спортсменов чаще примерно 82 случая на 100 000, у женщин – 59 случаев на 100 000. При сопоставлении данных показателей по возрасту и полу у женщин-спортсменок в возрасте 14-18 лет самый высокий уровень травм – 227,6 на 100 000, у мужчин пик травм ПКС регистрируется в возрасте от 19 до 24 лет – 241 на 100 000 [12].
Спортсменки в восемь раз чаще напрягают переднюю крестообразную связку в тех видах спорта, которые включают в себя прыжки, при этом самый высокий процент травм ПКС был зафиксирован в спортивной гимнастике 33 случая на 1000 спортсменок в год. Гендерные различия травматизма ПКС обусловлены, с одной стороны преобладанием эстрогенового фона у женщин и высокой степенью рыхлостью и разволокненностью связок, с другой – различиями в выравнивании ног/таза при движении [7].
Артрогенное мышечное торможение (АМТ), возникающее вследствие травмы передней крестообразной связки, продолжает оставаться ограничивающим фактором в успешном оперативном лечении и последующей реабилитации, вследствие неспособности произвольной активации четырехглавой мышцы, что значительно замедляет восстановление [8, 9].
Аномальные суставные афферентные выбросы, являющиеся причиной АМТ при травме ПКС, влияют на возбудимость спинномозговых и супраспинальных путей, ограничивая мышечную активацию, и могут оказывать тормозное влияние на центральную нервную систему, в частности на кортикомоторные и внутрикорковые пути. Игнорирование дисфункции четырехглавой мышцы бедра приводит к стойкой гипокинезии, атрофии мышц, увеличивает риск повторного травмирования и способствует развитию посттравматического остеоартрита коленного сустава [10, 11]. Ряд исследований показывает эффективность пассивной электромиостимуляции в качестве дооперационной подготовки, обусловленную выбросом в кровь особых цитокинов, продуцируемых активно работающими мышечными клетками – миокинами, обладающими богатым спектром биологического действия, включающего противовоспалительный и репаративный эффекты [4].
В связи с вышеизложенным целью исследования явилось изучение показателей электромиографии, уровней некоторых цитокинов-миокинов при пассивной и активной миостимуляции при травматическом повреждении передней крестообразной связки.
Материалы и методы
В исследовании принимали участие 28 мужчин, занимающихся анаэробными видами спорта (легкая атлетика, плавание, баскетбол) с диагнозом по МКБ-10 S83.5. Растяжение, разрыв и перенапряжение передней крестообразной связки коленного сустава с давностью травмы менее 3-4 месяцев, поступивших для реконструктивного хирургического вмешательства в отделение травматологии и ортопедии ГБУЗ «Челябинская областная клиническая больница». Средний возраст пациентов основной группы составил 35,2±2,3 года. Верификация диагноза осуществлялась при наличии положительных тестов Лахмана, «переднего выдвижного ящика» при сгибании 90 градусов и рентгенологическом исследовании КС.
Среди жалоб преобладали умеренные болевые ощущения (65%), чувство нестабильности в поврежденном коленном суставе (93%), слабость в мышцах поврежденной конечности (48%). Все пациенты при поступлении проходили электромиографическое (ЭМГ) исследование прямой головки четырехглавой мышцы бедра травмированной конечности на 4-канальной системе ЭМГ/ВП Viking Quest (Nicolet, США). Проводилась суммарная поверхностная ЭМГ при развитии максимального произвольного мышечного напряжения с оценкой среднеквадратичной амплитуды (Root Mean Square amplitude), мкВ. Далее, лица, имеющие сниженные показатели по ЭМГ, методом простой рандомизации были разделены на две равновеликие группы. Группу 2 составили 14 пациентов, которым за 10 дней до начала артроскопического оперативного вмешательства проводили пассивную электромиостимуляцию (ЭМС) четырехглавой мышцы бедра в ежедневном режиме, рабочий цикл 10 с стимуляция / 10 с расслабление, в течение 20 мин на аппарате комбинированной терапии INTELECT® Advanced (Chattanooga (DJO), США). Силу тока наращивали через каждые 2-3 цикла после начала воздействия, до появления ощутимых мышечных сокращений. В третью группу вошли 14 пациентов, которым оперативное вмешательство проводилось без предварительной ЭМС. После реконструктивной артроскопической операции, заключающейся в аутопластике ПКС при помощи артроскопа Karl Storz (Германия), пациенты 2-й и 3-й групп на протяжении 2-недельной иммобилизации конечности получали ЭМС в описанном выше режиме, с 3-й недели после достижения угла сгибания в коленном суставе более 90 градусов и снятия ортеза все пациенты перешли к режиму активных тренировок. В динамике ЭМГ проводили через 2 и 7 недель после операции.
Контрольную группу 1 составили 12 здоровых мужчин, средний возраст 34,2±2,4 года. ЭМГ прямой головки четырехглавой мышцы бедра и забор крови у здоровых лиц проводился однократно.
Уровни цитокинов IL-6 и TGF-β в сыворотке венозной крови исследовали у здоровых лиц, в основной группе при поступлении, в динамике после 10-дневной пассивной ЭМС в группе 2, через 2 и 7 недель после оперативного вмешательства с помощью набора реагентов для иммуноферментного анализа (АО «Вектор-Бест», Новосибирск) в диапазоне концентраций 0-300 пг/мл, при длине волны 450 нм; концентрацию трансформирующего фактора роста β с помощью набора фирмы Cloud-Clone Corp. (China) в диапазоне концентраций 5,8-1000 пг/мл, при длине волны 450 нм.
Статистическая обработка материала проводилась с помощью пакета лицензионных программ Statistica. Vers. 10.0 (StatSoft Inc., США). При сравнении данных использовали непараметрический критерий Манна–Уитни, в динамике ЭМС с помощью критерия Вилкоксона. Данные представлены в виде медианы (Ме) и значений интерквартильного размаха (Q0,25-Q0,75). Сравнение групп производили, используя непараметрический критерий Манна–Уитни, с учетом поправки Бонферрони, значимыми считали различия при p ≤ 0,02.
Результаты и обсуждение
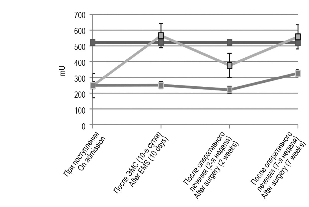
Рисунок 1. Показатели ЭМГ в динамике пассивной и активной миостимуляции
Figure 1. EMG parameters in the dynamics of passive and active myostimulation
Наиболее высокая средняя амплитуда (мкВ) при проведении ЭМГ регистрировалась у здоровых лиц и составила по медиане 521,4 (489,3; 562,4) (рис. 1). При поступлении в стационар у пациентов 2-й и 3-й групп зафиксированы значимо меньшие величины средней амплитуды, соответственно, 247,3 (197,3-275,6) и 250,2 (196,5-321,3). После проведения 10-дневной ЭМС во второй группе отмечено значимое увеличение показателя до значений здоровых лиц. В динамике после оперативного вмешательства показатели ЭМГ через 2 и 7 недель в 3-й группе оставались на прежнем низком уровне, в то время как показатели ЭМГ второй группы были сравнимы со здоровыми лицами, что отражает более быстрое и качественное восстановление мышц после травмы, позволяющее спустя 7 недель после оперативного вмешательства перейти в тренирующий режим нагрузок.
Известно, что во время ЭМС и активных физических нагрузок мышцы проявляют эндокринную активность за счет продукции миоцитами и сателлитными клетками ряда цитокинов, называемых миокинами, таких как IL-6, иризин, IGF-1, FGF2, TGF-β, миостатина, декорина и др., выполняющих как аутокринную функцию регуляции мышечного метаболизма, так и паракринную/эндокринную регулирующую функцию в отдаленных органах и тканях, таких как кость, жировая ткань, мозг и печень, проявляя в определенных концентрациях противовоспалительные и репаративные свойства [6].
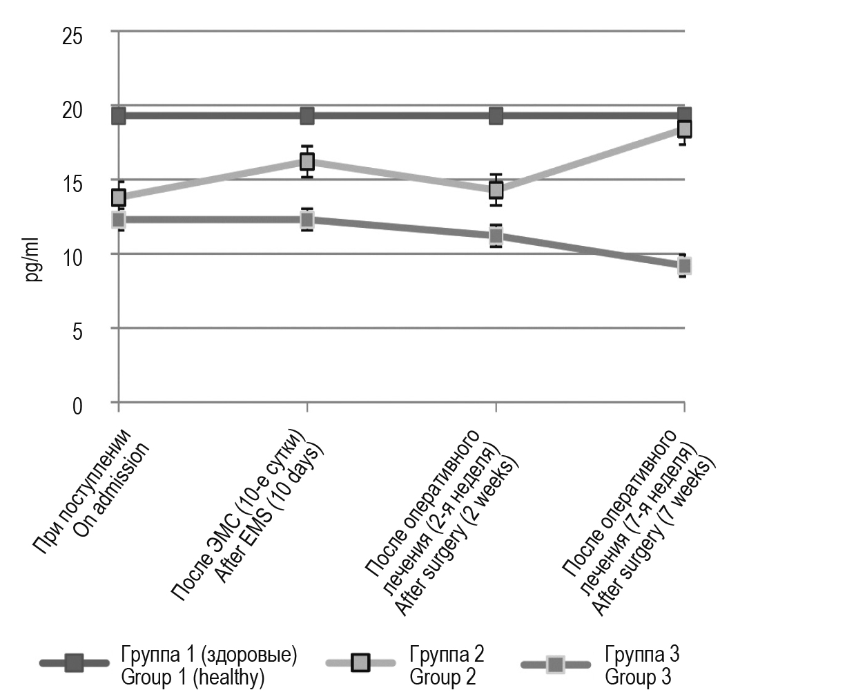
Нами наглядно показаны исходно низкие концентрации IL-6 в группах 2 и 3 при поступлении (соответственно по медиане 1,4 (1,2-1,6) и 2,2 (1,2-2,3) в сравнении с уровнем здоровых лиц 6,2 (4,2-7,1) и значимое повышение концентрации IL-6 крови пациентов группы 2, получающей процедуру пассивной ЭМС до оперативного вмешательства до уровня здоровых лиц (рис. 2).
Рисунок 2. Уровни миокина – IL-6 в динамике пассивной и активной миостимуляции
Figure 2. Levels of myokine – IL-6 in the dynamics of passive and active myostimulation
Через 2 и 7 недель после оперативного вмешательства уровень миокина во второй группе не имел различий со здоровыми лицами, в отличие от группы 3, где он оставался на уровне 3,2 (2,5-4,5). Биологическое значение повышения уровня IL-6, не превышающее референсные значения здоровых лиц, при мышечной нагрузке заключается в активации на уровне скелетной мускулатуры АМФ-киназы и/или фосфатидилинозитол-3-киназы через рецептор gp130rβ/IL-6ra, что приводит к увеличению поглощения глюкозы и окислению жирных кислот, обеспечивая энергетическим субстратом сокращающиеся мышцы. Эндокринное действие циркулирующего IL-6 направлено на мобилизацию энергетических ресурсов организма в виде липолитического эффекта за счет повышения активности липопротеинлипазы. Также IL-6 способен проявлять ингибирующее влияние на продукцию инсулина за счет угнетения синтеза SOSC-3 (suppressor of cytokine signaling), реципрокно отвечающего за сигнальный путь IL-6. SOSC-3 может связываться и угнетать активность как мембранного рецептора инсулина, так и IRS-1, и препятствовать проведению инсулинового сигнала. Формируя таким образом инсулинорезистентность, IL-6 способствует более эффективной мобилизации глюкозы и жирных кислот в качестве источников энергии [2]. Некоторые авторы отмечают, что контролируемые физические упражнения также способны модулировать иммунный ответ, уменьшая выраженность воспалительных изменений в виде снижения в крови уровней CXCL8/IL-8, CCL2/MCP-1, IFNã с параллельным повышением концентраций IL-2, IL-6, IL-4 и IL-10 [5].
Исследования последних лет показали важнейшую роль в процессах воспаления, ремоделирования и репарации тканей трансформирующего фактора роста β, полимодального цитокина, активирующего ряд каскадных сигнальных путей как в иммунных, так и в других типах клеток [3]. Нами изучены уровни данного цитокина в динамике пассивной и активной миостимуляции. Установлено, что в условиях вынужденной гипокинезии в крови значимо снижается уровень TGF-β в сравнении со здоровыми лицами, что демонстрирует рисунок 3. После проведения предоперационной пассивной ЭМС и в динамике пассивной и активной миостимуляции во 2-й группе пациентов концентрация TGF-β увеличилась до значений здоровых лиц.
Рисунок 3. Уровни TGF-β на фоне пассивной и активной миостимуляции
Figure 3. TGF-β levels against the background of passive and active myostimulation
Известна способность TGF-β принимать участие в процессах репарации, путем запуска каскада сигнальных путей, в частности Smad-белков, Erk1/2, JNK и p38, PI3K, а также посредством активации рецептора эпидермального ростового фактора (EGF), фактора роста эндотелия сосудов (VEGF). Отмечено, что повышенное содержание TGF-β1 снижает активность NO-синтазы, приводящее к падению генерации NO, и как следствие – NO-радикалов, снижая риск развития нитрозативного клеточного стресса. Кроме того, описано, что TGF-β1 способствует пролиферации фибробластов, увеличивает содержание коллагена, путем регуляции экспрессии генов, кодирующих фибриллярный коллаген I и III типов.
Заключение
Таким образом, проведение пассивной ЭМС до начала оперативного лечения травматического повреждения ПКС, после оперативного лечения в течение 2 недель и активной ЭМС после периода ортезирования приводит к улучшению показателей электромиографии, повышению концентрации в крови миокинов – IL-6 и TGF-β в пределах значений здоровых лиц, что способствует улучшению энергетического баланса, повышению противовоспалительного и репаративного потенциала поврежденных тканей.
Об авторах
Рустам Рафисович Ахметьянов
ГБУЗ «Челябинская областная клиническая больница»
Email: dr.ahm345@gmail.com
врач травматолог-ортопед отделения травматологии и ортопедии
Россия, 454048, Челябинск, ул. Воровского, 70Евгения Валерьевна Давыдова
ГБУЗ «Челябинская областная клиническая больница»; ФГБОУ ВО «Южно-Уральский государственный медицинский университет» Министерства здравоохранения РФ
Автор, ответственный за переписку.
Email: davidova-ev.med@yandex.ru
доктор медицинских наук, доцент, профессор кафедры, заведующий отделением ранней медицинской реабилитации
Россия, 454048, Челябинск, ул. Воровского, 70; Челябинск ул. Воровского, 64Артур Раисович Сабирьянов
ФГБОУ ВО «Южно-Уральский государственный медицинский университет» Министерства здравоохранения РФ
Email: Lfksar@mail.ru
доктор медицинских наук, профессор, заведующий кафедрой медицинской реабилитации и спортивной медицины
Россия, Челябинск, ул. Воровского, 64Ирина Львовна Щербакова
ГБУЗ «Челябинская областная клиническая больница»
Email: ii_ri_na@mail.ru
заведующий отделением нейрофизиологии
Россия, 454048, Челябинск, ул. Воровского, 70Список литературы
- Васюкова О.В., Касьянова Ю.В., Окороков П.Л., Безлепкина О.Б. Миокины и адипомиокины: медиаторы воспаления или уникальные молекулы таргетной терапии ожирения? // Проблемы эндокринологии, 2021. Т. 67, № 4. С. 36-45. [Vasyukova O.V., Kasyanova Yu.V., Okorokov P.L., Bezlepkina O.B. Myokines and adipomyokines: inflammatory mediators or unique molecules of targeted therapy for obesity? Problemy endokrinologii = Problems of Endocrinology, 2021, Vol. 67, no. 4, pp. 36-45. (In Russ.)]
- Москалев А.В., Рудой А.С., Апчел А.В., Зуева В.О., Казымова О.Э. Особенности биологии трансформирующего ростового фактора β и иммунопатология // Вестник Российской Военно-медицинской академии, 2016. Т. 2, № 54. С. 206-216. [Moskalev A.V., Rudoy A.S., Apchel A.V., Zueva V.O., Kazymova O.E. Features of the biology of transforming growth factor β and immunopathology. Vestnik Rossiyskoy Voenno-meditsinskoy akademii = Bulletin of the Russian Military Medical Academy, 2016, Vol. 2, no. 54, pp. 206-216. (In Russ.)]
- Anastasieva E., Simagaev R., Kirilova I. Topical issues of surgical treatment of injuries of the anterior cruciate ligament (literature review). Orthopedic Genius, 2020, Vol. 26, no. 1, pp. 117-128.
- Bugera E.M., Duhamel T.A., Peeler J.D., Cornish S.M. The systemic myokine response of decorin, interleukin-6 (IL-6) and interleukin-15 (IL-15) to an acute bout of blood flow restricted exercise. Eur. J. Appl. Physiol., 2018, Vol. 118, no. 12, pp. 2679-2686.
- Filgueira T.O., Carvalho P.R.C., de Sousa Fernandes M.S., Castoldi A., Teixeira A.M., de Albuquerque R.B., de Lima-Filho J.L., Souto F.O. The impact of supervised physical exercise on chemokines and cytokines in recovered COVID-19 patients. Front. Immunol., 2023, Vol. 4, no. 13, 1051059. doi: 10.3389/fimmu.2022.1051059.
- Gomarasca M., Banfi G., Lombardi G. Myokines: The endocrine coupling of skeletal muscle and bone. Adv. Clin. Chem., 2020, Vol. 94, pp. 155-218.
- Hootman J.M., Dick R., Agel J. Epidemiology of collegiate injuries for 15 sports: summary and recommendations for injury prevention initiatives. J. Athl. Train., 2017, Vol. 42, no. 2, pp. 311-319.
- Lepley A.S., Lepley L.K. Mechanisms of arthrogenic muscle inhibition. J. Sport Rehabil., 2021, Vol. 31, no. 6, pp. 707-716.
- Norte G., Rush J., Sherman D. Arthrogenic muscle inhibition: best evidence, mechanisms, and theory for treating the unseen in clinical rehabilitation. J. Sport Rehabil., 2021, Vol. 31, no. 6, pp. 717-735.
- Pietrosimone B., Lepley A.S., Kuenze C., Harkey M.S., Hart J.M., Blackburn J.T., Norte G. Arthrogenic muscle inhibition following anterior cruciate ligament injury. J. Sport Rehabil., 2022, Vol. 31, no. 6, pp. 694-706.
- Sonnery-Cottet B., Saithna A., Quelard B., Daggett M., Borade A., Ouanezar H., Thaunat M., Blakeney W.G. Arthrogenic muscle inhibition after ACL reconstruction: a scoping review of the efficacy of interventions. J Sports Med., 2019, Vol. 53, no. 5, pp. 289-298.
- Vermeijden H.D., Cerniglia B., Mintz D.N., Rademakers M.V., Kerkhoffs G.M.M.J., van der List J.P., diFelice G.S. Distal remnant length can be measured reliably and predicts primary repair of proximal anterior cruciate ligament tears. Knee Surg. Sports Traumatol. Arthrosc., 2021, Vol. 29, pp. 2967-2975.
Дополнительные файлы






