Функциональное состояние пула регуляторных CD4+T-лимфоцитов ВИЧ-инфицированных пациентов, коинфицированных вирусом гепатита C
- Авторы: Сайдакова Е.В.1, Королевская Л.Б.1, Шмагель К.В.1
-
Учреждения:
- Институт экологии и генетики микроорганизмов Уральского отделения Российской академии наук – филиал ФГБУН «Пермский федеральный исследовательский центр, Уральское отделение Российской академии наук»
- Выпуск: Том 25, № 1 (2022)
- Страницы: 73-82
- Раздел: ОРИГИНАЛЬНЫЕ СТАТЬИ
- Дата подачи: 16.08.2021
- Дата принятия к публикации: 13.02.2022
- Дата публикации: 03.08.2022
- URL: https://rusimmun.ru/jour/article/view/1083
- DOI: https://doi.org/10.46235/1028-7221-1083-FSO
- ID: 1083
Цитировать
Полный текст
Аннотация
Коинфекция ВИЧ и вирусом гепатита С (ВГС) приводит к развитию выраженного системного воспаления, что ассоциировано с увеличением риска патологий печени, почек и сердечнососудистой системы, а также ростом смертности от СПИД-ассоциированных болезней и заболеваний, неассоциированных со СПИД. Функция контроля над системным воспалением в значительной мере принадлежит одной из субпопуляций CD4+Т-клеток – регуляторным Т-лимфоцитам. Экспрессируя различные функциональные молекулы регуляторные CD4+Т-клетки ограничивают активность иммуноцитов, и предотвращают развитие избыточных воспалительных реакций и аутоиммунных заболеваний. Вместе с тем, в литературе отсутствуют данные о размере отдельных функционально активных субпопуляций регуляторных CD4+Т-клеток у ВИЧ/ВГС-коинфицированных больных. Цель – оценить размер функционального пула регуляторных CD4+Т-лимфоцитов у ВИЧ/ВГС-коинфицированных больных, получающих антиретровирусную терапию.
Обследованы две группы ВИЧ-позитивных пациентов: 1) ВИЧ/ВГС-коинфицированные субъекты (n = 21); 2) ВИЧ-моноинфицированные больные (n = 22). В контрольную группу вошли добровольные доноры крови без ВИЧ и ВГС инфекций (n = 23). Регуляторные CD4+Т-лимфоциты идентифицировали методом многоцветной проточной цитометрии по экспрессии маркеров CD3, CD4, CD25, CD127 и FoxP3. Функциональные субпопуляции регуляторных CD4+Т-клеток выявляли по экспрессии молекул CD39, GARP, LAP, и CD71. Рассчитывали относительное и абсолютное количество супрессорных CD4+Т-лимфоцитов в каждой субпопуляции. Концентрацию TGF-β1 в плазме крови обследованных лиц устанавливали методом иммуноферментного анализа.
В периферической крови ВИЧ/ВГС-коинфицированных пациентов по сравнению со здоровыми субъектами было в два раза снижено абсолютное количество регуляторных CD4+Т-лимфоцитов, что не сопровождалось уменьшением относительной численности этих клеток. Несмотря на дефицит, численность функционально активных CD39-позитивных, GARP/LAP-позитивных и CD71-позитивных супрессоров у ВИЧ/ВГС-коинфицированных лиц оставалась на уровне, характерном для ВИЧ-моноинфицированных и здоровых людей. Относительное количество функционально активных регуляторных CD4+Т-лимфоцитов было увеличено в крови у ВИЧ/ВГС-коинфицированных больных по сравнению с ВИЧ-моноинфицированными (CD39+, GARP+LAP+) и здоровыми (CD39+, GARP+LAP+, CD71+) субъектами.
У ВИЧ/ВГС-коинфицированных больных, получающих антиретровирусную терапию, пул регуляторных CD4+Т-лимфоцитов насыщен клетками, обладающими высокой супрессорной способностью. Однако абсолютное количество функционально активных регуляторных CD4+Т-клеток находится на уровне, характерном для здоровых лиц, что, по-видимому, является недостаточным для контроля над системным воспалением, формируемым при ВИЧ/ВГС-коинфекции.
Ключевые слова
Полный текст
Работа выполнена в рамках государственного задания «Механизмы регуляции иммунной системы», номер гос. регистрации темы АААА-А19-119112290007-7.
Введение
В России более половины ВИЧ-позитивных лиц коинфицированы вирусом гепатита С (ВГС) [1, 2]. При проведении антиретровирусной терапии (АРТ) коинфекция ВГС препятствует эффективному восстановлению численности CD4+Т-лимфоцитов в крови больных [24]. Более того, коинфекция ВГС увеличивает риск развития цирроза печени, а также патологий почек и сердечно-сосудистой системы [7]. Таким образом, коинфекция ВГС отягощает состояние зараженных ВИЧ больных и повышает смертность от СПИД-ассоциированных болезней и заболеваний, неассоциированных со СПИД.
Важной особенностью ВИЧ/ВГС-коинфекции, отличающей ее от ВИЧ-моноинфекции, является повышенный уровень хронической иммунной активации и системного воспаления [25]. Это обусловлено воздействием ВГС на гепатоциты, нарушением печеночного барьера и, как следствие, усилением микробной транслокации [8]. Клетками, отвечающими за контроль над иммунной активацией, являются регуляторные CD4+Т-лимфоциты (Treg) [17]. Как и другие CD4+Т-клетки, Treg могут быть инфицированы ВИЧ [19]. При ВИЧ-инфекции развивается дефицит регуляторных Т-лимфоцитов [26], однако, согласно ряду работ, супрессорные клетки могут сохранять функциональность [5] и способность к активной пролиферации [29].
Регуляторные Т-лимфоциты обычно идентифицируют по фенотипу CD3+CD4+CD25+CD127lowFoxP3+ [16]. Вместе с тем, Treg могут экспрессировать и другие молекулы, которые отражают функциональный статус клеток и их способность к иммуносупрессии. Так, регуляторные Т-лимфоциты, экспрессирующие молекулы GARP и LAP, продуцируют противовоспалительный цитокин TGF-β, подавляющий иммунные реакции [20]. Treg, несущие на поверхности экто-нуклеотидазы CD39 и CD73, предотвращают активацию эффекторных клеток, стимулируемых пуринергическими молекулами, такими как внеклеточный аденозинтрифосфат (АТФ) [6]. CTLA-4-позитивные Treg снижают экспрессию молекул CD80/CD86 на антигенпрезентирующих клетках, ограничивая доступ эффекторных клеток к коактивирующим сигналам [22]. Регуляторные Т-лимфоциты, экспрессирующие гранзим B, запускают апоптоз в эффекторных клетках, подавляя иммунный ответ [12]. Регуляторные Т-лимфоциты, экспрессирующие рецептор трансферрина 1 (CD71), чаще всего находятся в состоянии пролиферации [29]. Данные о функциональном состоянии Treg при ВИЧ/ВГС-коинфекции на сегодняшний день отсутствуют.
Цель исследования – оценить размер функционального пула регуляторных CD4+Т-лимфоцитов у ВИЧ/ВГС-коинфицированных больных, получающих антиретровирусную терапию.
Материалы и методы
План исследования был одобрен этическим комитетом Пермского краевого центра по борьбе со СПИД и инфекционными заболеваниями (рег. № комитета IRB00008964). Письменное информированное согласие было получено от каждого участника исследования. Обследованы три группы: 1) ВИЧ/ВГС-коинфицированные больные (ВИЧ+ВГС+; n = 21); 2) ВИЧ-моноинфицированные пациенты (ВИЧ+ВГС–; n = 22); 3) добровольные доноры крови без ВИЧ и ВГС инфекций (контроль – К; n = 23). Все ВИЧ-инфицированные субъекты принимали АРТ более двух лет (вирусная нагрузка ВИЧ < 50 копий/ мл). Схема терапии включала два нуклеозидных ингибитора обратной транскриптазы в комбинации с бустированным ритонавиром ингибитором протеазы либо ненуклеозидным ингибитором обратной транскриптазы. Пациенты, получавшие интерферонотерапию или антивирусные препараты прямого действия, были исключены из исследования.
Периферическую кровь (30 мл) забирали из локтевой вены в пробирки типа Vacutainer, обработанные этилендиаминтетрауксусной кислотой. Вирусная нагрузка ВИЧ и ВГС в плазме крови больных была определена методом полимеразной цепной реакции в режиме реального времени с использованием коммерческих наборов Versant HIV 1 RNA 3.0 assay b (Bayer, Германия) и «ОТ-ГЕПАТОГЕН С количественный» (ДНК-технологии; Россия). Концентрация TGF-β1 в плазме крови обследованных была установлена с использованием коммерческого набора для иммуноферментного анализа (R&D Systems, США). Активность аспартат аминотрансферазы (АСТ) и аланин аминотрансферазы (АЛТ) оценивали кинетическим методом на анализаторе Konelab 20 (Thermo Scientific, Финляндия) наборами Thermo Fisher (США). Мононуклеарные клетки получали при центрифугировании (400 g, 40 мин) двукратно разведенной DPBS (Gibco, США) периферической крови в градиенте плотности «Диаколла-1077» («Диаэм», Россия). Выделенные клетки собирали, дважды отмывали DPBS и подсчитывали в камере Горяева. Мононуклеарные лейкоциты подвергали программируемому замораживанию до -80°С в среде, содержащей 90% инактивированной теплом эмбриональной телячьей сыворотки (Gibco, США) и 10% диметилсульфоксида (MP Biochemicals, США), после чего переносили в жидкий азот для длительного хранения.
Регуляторные Т-лимфоциты и их функциональные субпопуляции определяли в пуле размороженных мононуклеарных лейкоцитов с использованием проточного цитофлуориметра Fortessa (BD Biosciences, США), меченных флуорофорами моноклональных антител (CD3 AF700, CD25 BUV395, CD127 BV786, CD39 BV711, CD71 BV421 (BD, США); CD45RA BV650, GARP PE-Cy7, LAP APC (BioLegend, США); CD4 Qdot605 (Invitrogen, США); FoxP3 PE (Thermo Fischer Scientific, США)) и флуоресцентного красителя Live/Dead Aqua (Invitrogen, США). Регуляторные Т-лимфоциты идентифицировали по фенотипу CD3+CD4+CD25+CD127lowFoxP3+. Гейт для регуляторных Т-клеток, экспрессирующих CD39, GARP, LAP или CD71, устанавливали с использованием соответствующих FMO (fluorescence minus one) контролей.
Полученные данные представлены в виде медиан и интерквартильных размахов – Me (Q0,25-Q0,75). Статистическая значимость различий между группами определена с использованием U-критерия Манна–Уитни. Корреляционный анализ проведен по методу Спирмена. Статистические расчеты выполнены в программе Statistica 6.0.
Результаты
Группы обследованных лиц были сопоставимы по возрасту и полу (табл. 1). ВИЧ/ВГС-коинфицированные и ВИЧ-моноинфицированные больные не имели различий по продолжительности ВИЧ-инфекции, тяжести иммунодефицита, длительности АРТ и эффективности терапии, обусловленной подавлением репликации ВИЧ. Основным путем передачи ВИЧ-моноинфекции был половой путь, ВИЧ/ВГС-коинфекции – парентеральный путь, связанный с употреблением инъекционных наркотиков. При ВИЧ/ВГС-коинфекции неконтролируемая вирусная нагрузка ВГС коррелировала с показателями повреждения печени (RВГС-АСТ = 0,788 p < 0,001; RВГС-АЛТ = 0,793 p < 0,001).
Таблица 1. Клинические характеристики ВИЧ/ВГС-коинфицированных и ВИЧ-моноинфицированных больных, me (Q0,25-Q0,75)
Table 1. Clinical characteristics of HIV/HCV coinfected and HIV monoinfected patients, me (Q0.25-Q0.75)
Показатели Indicators | Коинфекция ВИЧ/ВГС HIV/HCV coinfection | ВИЧ-моноинфекция HIV monoinfection | Контроль Healthy control |
Количество обследованных Number of patients | 21 | 22 | 23 |
Возраст, лет Age, years | 36 (33-40) | 38 (33-42) | 32 (28-39) |
Мужчины, % Men, % | 42,9 | 45,5 | 34,9 |
Парентеральный путь передачи ВИЧ-инфекции, % Parenteral HIV transmission route, % | 95,2 | 4,5 | – |
Продолжительность ВИЧ-инфекции, лет HIV-infection duration, years | 12,0 (5,0-15,5) | 9,0 (6,0-13,0) | – |
Длительность антиретровирусной терапии, лет Antiretroviral therapy duration, years | 4,3 (3,3-6,8) | 5,1 (3,3-6,9) | – |
СD4+Т-клетки, клеток/мкл CD4+T lymphocytes, cells/µl | 461 (384-604)*** | 532 (424-652)*** | 885 (772-1262) |
Вирусная нагрузка ВИЧ, копий/мл HIV viral load, copies/ml | < 50 | < 50 | – |
Продолжительность ВГС-инфекции, лет HCV-infection duration, years | 12,0 (5,0-15,5) | – | – |
Вирусная нагрузка ВГС, копий/мл HCV viral load, copies/ml | 47600 (5401-130000) | – | – |
АСТ, ед/л AST, U/l | 31 (25-45)### *** | 18 (17-25) | 16 (12-23) |
АЛТ, ед/л ALT, U/l | 55 (38-81)### *** | 19 (16-36) | 16 (13-23) |
Примечание. АСТ – аспартат аминотрансфераза; АЛТ – аланин аминотрансфераза. ### – данные достоверно отличаются от группы ВИЧ-моноинфицированных пациентов (р < 0,001, U-критерий Манна–Уитни); *** – данные достоверно отличаются от группы контроля (р < 0,001, U-критерий Манна–Уитни).
Note. AST, aspartate aminotransferase; ALT, alanine aminotransferase. ###, the data are significantly different from the HIV monoinfected group (p < 0.001; Mann–Whitney U test); ***, the data are significantly different from the healthy control group (p < 0.001; Mann–Whitney U test).
У ВИЧ/ВГС-коинфицированных больных абсолютное количество регуляторных Т-лимфоцитов было в два раза ниже соответствующего показателя здоровых субъектов (p < 0,001; табл. 2). При этом мы не обнаружили различий в численности Treg между ВИЧ/ВГС-коинфицированными и ВИЧ-моноинфицированными пациентами (p > 0,05). Важно отметить, что процентное содержание регуляторных Т-лимфоцитов в пуле CD4+Т-клеток ВИЧ/ВГС-коинфицированных больных не имело статистически значимых отличий от соответствующих показателей ВИЧ-моноинфицированных и здоровых лиц (p > 0,05).
Таблица 2. Количество регуляторных Т-лимфоцитов в крови ВИЧ/ВГС-коинфицированных и ВИЧ-моноинфицированных больных, Me (Q0,25-Q0,75)
Table 2. Regulatory T cell counts in HIV/HCV coinfected and HIV monoinfected subjects, Me (Q0.25-Q0.75)
Показатели Indicators | Коинфекция ВИЧ/ВГС HIV/HCV coinfection | ВИЧ-моноинфекция HIV monoinfection | Контроль Healthy control |
Регуляторные Т-лимфоциты, клеток/мкл Regulatory T lymphocytes, cells/µl | 31,5*** (26,5-51,8) | 33,7*** (29,5-45,0) | 63,2 (53,2-84,5) |
Регуляторные Т-клетки, % Regulatory T cells, % | 7,7 (6,0-8,4) | 7,3 (5,1-8,4) | 6,3 (5,0-7,7) |
Примечание. *** – данные достоверно отличаются от группы контроля (р < 0,001, U-критерий Манна–Уитни).
Note. ***, the data are significantly different from the healthy control group (p < 0.001; Mann–Whitney U test).
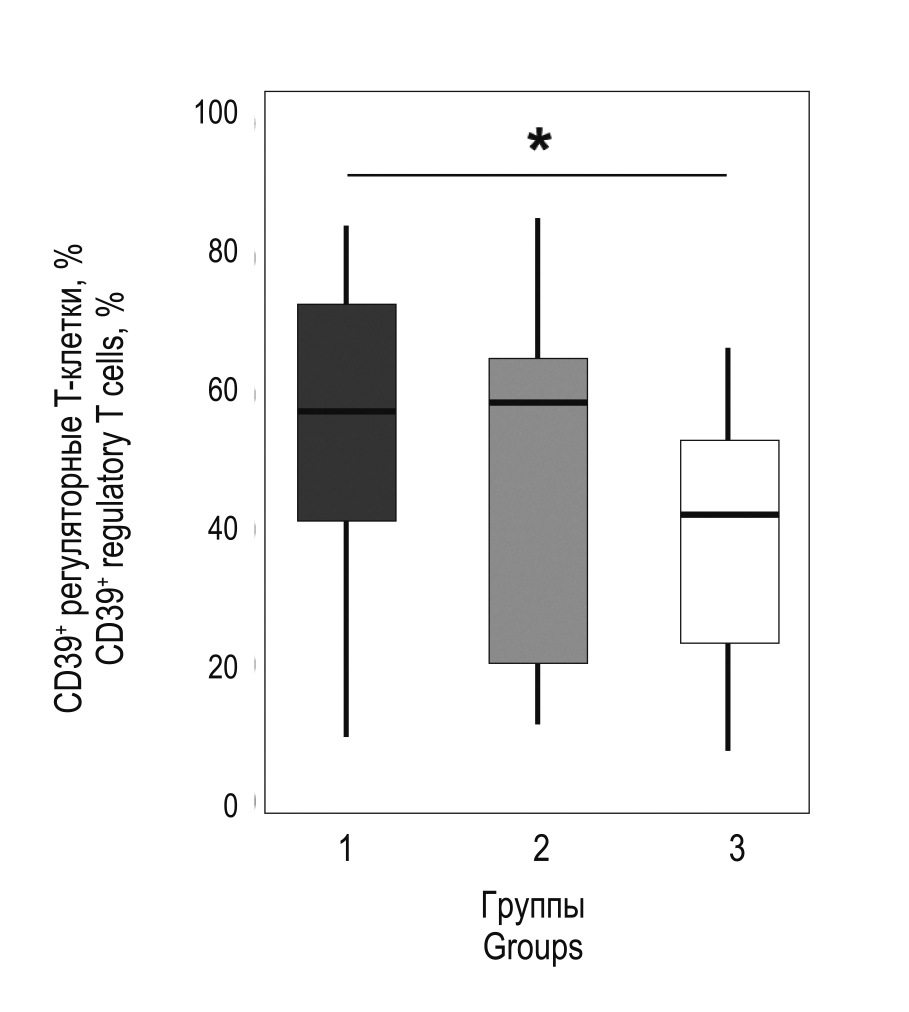
Численность CD39-позитивных Treg в крови ВИЧ/ВГС-коинфицированных больных составила 18,9/мкл; ВИЧ-моноинфицированных пациентов – 16,3/мкл; здоровых субъектов – 20,9/ мкл. Различия между группами были статистически незначимыми (p > 0,05). При этом процентное содержание CD39-позитивных клеток в пуле Treg у ВИЧ/ВГС-коинфицированных больных было выше, чем у неинфицированных лиц (p < 0,05; рис. 1).
Рисунок 1. Относительное количество CD39-позитивных клеток в пуле регуляторных Т-лимфоцитов у ВИЧ/ВГС-коинфицированных и ВИЧ-моноинфицированных больных
Примечание. Группы обследованных: 1 – ВИЧ/ВГС-коинфицированные больные; 2 – ВИЧ-моноинфицированные пациенты; 3 – здоровые добровольцы. * – p < 0,05 (U-критерий Манна–Уитни).
Figure 1. Frequency of CD39-positive regulatory T lymphocytes in HIV/HCV coinfected and HIV monoinfected patients
Note. Groups: 1, HIV/HCV coinfected patients; 2, HIV monoinfected subjects; 3, healthy controls. *, p < 0.05 (Mann–Whitney U test).
Абсолютное количество GARP/LAP-позитивных регуляторных Т-клеток в крови ВИЧ+ВГС+ больных составило 2,3/мкл; ВИЧ+ВГС– пациентов – 1,3/мкл; здоровых субъектов – 2,4/мкл. Различия между ВИЧ/ВГС-коинфицированными больными и субъектами из двух групп сравнения не достигали уровня статистической значимости (p > 0,05). Важно отметить, что у ВИЧ+ВГС+ больных по сравнению с ВИЧ+ВГС– пациентами и здоровыми субъектами в пуле регуляторных Т-клеток было увеличено относительное количество GARP/LAP-позитивных лимфоцитов (рис. 2А), что может свидетельствовать об активной экспрессии TGF-β1 регуляторными Т-клетками. В то же время мы показали, что повышение относительного количества GARP/LAP-позитивных Treg не сопровождалось статистически значимым увеличением концентрации свободного TGF-β1 в плазме крови ВИЧ/ВГС-коинфицированных больных (рис. 2Б).
Рисунок 2. Относительное количество GARP/LAP-позитивных клеток в пуле регуляторных Т-лимфоцитов и содержание TGF-β1 в периферической крови у ВИЧ/ВГС-коинфицированных и ВИЧ-моноинфицированных больных
Примечание. А – доля GARP+LAP+ клеток среди регуляторных Т-лимфоцитов. Б – концентрация TGF-β1 в плазме крови обследованных. Группы обследованных лиц: 1 – ВИЧ/ВГС-коинфицированные больные; 2 – ВИЧ-моноинфицированные пациенты; 3 – здоровые добровольцы.
* – p < 0,05; ** – p < 0,01 (U-критерий Манна–Уитни).
Figure 2. Frequency of GARP/LAP-positive regulatory T cells and concentrations of TGF-β1 in the peripheral blood of HIV/HCV coinfected and HIV monoinfected patients
Note. A, Frequency of GARP+LAP+ cells among regulatory T lymphocytes. B, TGF-β1 concentration in patients’ blood plasma. Groups: 1, HIV/HCV coinfected patients; 2, HIV monoinfected subjects; 3, healthy controls. *, p < 0.05; **, p < 0.01 (Mann–Whitney U test).
Установлено, что у ВИЧ/ВГС-коинфицированных пациентов дефицит общего числа регуляторных Т-лимфоцитов не влечет за собой изменение абсолютного количества пролиферирующих CD71+Treg (табл. 3). Вместе с тем, доля CD71-позитивных клеток среди Treg была увеличена в группе ВИЧ/ВГС-коинфицированных и ВИЧ-моноинфицированных больных по сравнению со здоровыми субъектами (p < 0,001).
Таблица 3. Количество делящихся регуляторных Т-лимфоцитов в крови ВИЧ/ВГС-коинфицированных и ВИЧ-моноинфицированных больных, Me (Q0,25-Q0,75)
Table 3. Cycling regulatory T cell counts in HIV/HCV coinfected and HIV monoinfected subjects, Me (Q0.25-Q0.75)
Показатели Indicators | Коинфекция ВИЧ/ВГС HIV/HCV coinfection | ВИЧ-моноинфекция HIV monoinfection | Контроль Healthy control |
CD71+ регуляторные Т-лимфоциты, клеток/мкл CD71+ regulatory T lymphocytes, cells/ul | 6,6 (4,8-8,7) | 6,3 (4,4-10,6) | 6,1 (3,9-8,7) |
CD71+ регуляторные Т-клетки, % CD71+ regulatory T cells, % | 19,5*** (14,5-25,7) | 18,7*** (14,2-24,5) | 9,8 (7,1-13,8) |
Примечание. *** – данные достоверно отличаются от группы контроля (р < 0,001, U-критерий Манна–Уитни).
Note. ***, the data are significantly different from the healthy control group (p < 0.001; Mann–Whitney U test).
Обсуждение
Коинфекция ВИЧ и ВГС характеризуется развитием выраженного системного воспаления, уровень которого значительного превосходит таковой у ВИЧ-моноинфицированных больных [25]. Вместе с тем, мало что известно о состоянии пула регуляторных Т-лимфоцитов, защищающих организм от избыточных иммунных реакций. В настоящей работе мы показали, что у ВИЧ/ВГС-коинфицированных субъектов развивается дефицит регуляторных Т-лимфоцитов. Низкая абсолютная численность Treg не отражается на процентном содержании супрессорных клеток и не сопровождается снижением абсолютного количества CD39-позитивных, GARP/LAP-позитивных или CD71-позитивных клеток-супрессоров. Сохранение численности этих функционально активных супрессорных клеток приводит к росту их доли в пуле Treg у ВИЧ/ВГС-коинфицированных лиц.
Полученные данные представляются важными, так как каждая из изученных субпопуляций регуляторных Т-лимфоцитов принимает участие в контроле над активностью эффекторных клеток иммунитета. Так, экто-нуклеотидаза CD39, экспрессируемая на поверхности Treg, обезвреживает активирующую пуринергическую молекулу – внеклеточный АТФ, последовательно превращая его в аденозинмонофосфат, который затем расщепляется до аденозина [9]. В свою очередь, аденозин, формируемый экто-нуклеотидазами, оказывает противоположное АТФ действие: индуцирует противовоспалительные и иммуносупрессорные эффекты [23]. Дефицит относительного количества CD39-позитивных Treg был ранее отмечен у людей и животных, страдающих от аутоиммунных заболеваний [11, 13]. Повышение доли CD39+Treg у ВИЧ/ВГС-коинфицированных больных свидетельствует о значимой роли этих супрессорных клеток в противодействии эффектам системного воспаления.
Регуляторные Т-клетки, экспрессирующие GARP и LAP, секретируют противовоспалительный TGF-β1 [4], связывают его и транспортируют в сайты развития иммунного ответа, где цитокин паракринно угнетет функции эффекторных лимфоцитов [27]. GARP/LAP-позитивные Treg являются высокоактивными супрессорами, в связи с чем их адаптивный перенос рассматривается как перспективный подход к терапии аутоиммунных и аллергических заболеваний, а также к предотвращению развития реакции трансплантат против хозяина [21, 28]. Однако следует обратить внимание на то, что GARP+LAP+Treg могут выступать в качестве негативного фактора: у пациентов, инфицированных ВГС, накопление в печени продуцентов TGF-β1 ассоциировано с развитием фиброза и подавлением местных противовирусных реакций [15]. Вместе с тем, выявленное нами повышение относительного количества GARP/LAP-позитивных Treg у лиц, коинфицированных ВИЧ и ВГС, по-видимому, отражает активное участие этих клеток в контроле над системным воспалением.
Регуляторные Т-лимфоциты, экспрессирующие молекулу CD71, рассматриваются как делящиеся [29] и характеризуются большей функциональной активностью и жизнеспособностью, чем покоящиеся Treg [10]. Важно отметить, что регуляторные Т-лимфоциты вступают в активные фазы клеточного цикла вслед за конвенциональными Т-клетками для контроля над делением последних [3]. Экспериментальное уменьшение доли пролиферирующих Treg у животных с лимфопенией приводит к фатальным последствиям: развитию воспалительных аутоиммунных заболеваний и смерти [14, 18]. В настоящем исследовании мы выявили увеличение доли пролиферирующих Treg у всех ВИЧ-инфицированных лиц вне зависимости от наличия коинфекции ВГС. Повышение процентного содержания CD71+ регуляторных Т-лимфоцитов происходило на фоне Т-лимфопении и связанной с ней гомеостатической пролиферации конвенциональных CD4+Т-клеток. Можно сделать заключение, что у ВИЧ/ВГС-коинфицированных и ВИЧ-моноинфицированных больных регуляторные Т-лимфоциты принимают активное участие в контроле над процессом регенерации пула CD4+Т-клеток.
Заключение
Таким образом, в настоящей работе мы показали, что у ВИЧ/ВГС-коинфицированных пациентов снижается абсолютное количество регуляторных Т-лимфоцитов. Однако, несмотря на развитие дефицита Treg, у ВИЧ/ВГС-коинфицированных лиц сохраняется численность функционально активных супрессорных клеток, что отражается в увеличении относительного количества CD71-позитивных, CD39-позитивных и GARP/LAP-позитивных Treg. Полученные данные позволяют сделать следующий вывод. У ВИЧ/ВГС-коинфицированных больных, получающих АРТ, пул регуляторных CD4+Т-лимфоцитов насыщен клетками, обладающими высокой супрессорной способностью. Однако абсолютное количество функционально активных супрессорных лимфоцитов остается на уровне, характерном для здоровых лиц, что, по-видимому, является недостаточным для контроля над системным воспалением, формируемым при ВИЧ/ВГС-коинфекции.
Благодарности
В работе было использовано оборудование ЦКП «Исследования материалов и вещества» ПФИЦ УрО РАН.
Об авторах
Евгения Владимировна Сайдакова
Институт экологии и генетики микроорганизмов Уральского отделения Российской академии наук – филиал ФГБУН «Пермский федеральный исследовательский центр, Уральское отделение Российской академии наук»
Email: radimira@list.ru
ORCID iD: 0000-0002-4342-5362
д.б.н., заведующая лабораторией молекулярной иммунологии
Россия, 614081, Пермь, ул. Голева, 13Лариса Борисовна Королевская
Институт экологии и генетики микроорганизмов Уральского отделения Российской академии наук – филиал ФГБУН «Пермский федеральный исследовательский центр, Уральское отделение Российской академии наук»
Email: radimira@list.ru
ORCID iD: 0000-0001-9840-7578
к.м.н., научный сотрудник лаборатории экологической иммунологии
Россия, 614081, Пермь, ул. Голева, 13Константин Владимирович Шмагель
Институт экологии и генетики микроорганизмов Уральского отделения Российской академии наук – филиал ФГБУН «Пермский федеральный исследовательский центр, Уральское отделение Российской академии наук»
Автор, ответственный за переписку.
Email: radimira@list.ru
ORCID iD: 0000-0001-6355-6178
д.м.н., заведующий лабораторией экологической иммунологии
Россия, 614081, Пермь, ул. Голева, 13Список литературы
- Стрыгин А.В., Кнышова Л.П., Доценко А.М. Оценка распространенности ВИЧ-ассоциированных заболеваний на территории Волгоградской области в 2012-2016 годах // Медицинский алфавит, 2017. Т. 4, № 38. С. 48-49. [Strygin A.V., Knyshova L.P., Docenko A.M. Prevalence of HIV-associated diseases in Volgograd region during years 2012-2016. Meditsinskiy alfavit = Medical Alphabet, 2017, Vol. 4, no. 38, pp. 48-49. (In Russ.)]
- Затолока П.А. Распространенность сопутствующей патологии у ВИЧ-инфицированных лиц // Медицинский журнал, 2017. Т. 3, № 61. С. 95-100. [Zatoloka P.A. Prevalence of concomitant pathology in HIV-infected individuals. Meditsinskiy zhurnal = Medical Journal, 2017, Vol. 3, no. 61, pp. 95-100. (In Russ.)]
- Akbar A.N., Vukmanovic-Stejic M., Taams L.S., Macallan D.C. The dynamic co-evolution of memory and regulatory CD4+ T cells in the periphery. Nat. Rev. Immunol., 2007, Vol. 7, no. 3, pp. 231-237.
- Andersson J., Tran D.Q., Pesu M., Davidson T.S., Ramsey H., O’Shea J.J., Shevach E.M. CD4+ FoxP3+ regulatory T cells confer infectious tolerance in a TGF-beta-dependent manner. J. Exp. Med., 2008, Vol. 205, no. 9, pp. 1975-1981.
- Angin M., Kwon D.S., Streeck H., Wen F., King M., Rezai A., Law K., Hongo T.C., Pyo A., Piechocka-Trocha A., Toth I., Pereyra F., Ghebremichael M., Rodig S.J., Milner Jr D.A., Richter J.M., Altfeld M., Kaufmann D.E., Walker B.D., Addo M.M. Preserved function of regulatory T cells in chronic HIV-1 infection despite decreased numbers in blood and tissue. J. Infect. Dis., 2012, Vol. 205, no. 10, pp. 1495-1500.
- Burnstock G., Boeynaems J.M. Purinergic signalling and immune cells. Purinergic Signal, 2014, Vol. 10, no. 4, pp. 529-564.
- Chen T.Y., Ding E.L., Seage I., Kim A.Y. Meta-analysis: increased mortality associated with hepatitis C in HIV-infected persons is unrelated to HIV disease progression. Clin. Infect. Dis., 2009, Vol. 49, no. 10, pp. 1605-1615.
- de Oca Arjona M.M., Marquez M., Soto M.J., Rodriguez-Ramos C., Terron A., Vergara A., Arizcorreta A., Fernandez-Gutierrez C., Giron-González J.A. Bacterial translocation in HIV-infected patients with HCV cirrhosis: implication in hemodynamic alterations and mortality. J. Acquir. Immune. Defic. Syndr., 2011, Vol. 56, no. 5, pp. 420-427.
- Deaglio S., Robson S.C. Ectonucleotidases as regulators of purinergic signaling in thrombosis, inflammation, and immunity. Adv. Pharmacol., 2011, Vol. 61, pp. 301-332.
- Gavin M.A., Clarke S.R., Negrou E., Gallegos A., Rudensky A. Homeostasis and anergy of CD4(+)CD25(+) suppressor T cells in vivo. Nat. Immunol., 2002, Vol. 3, no. 1, pp. 33-41.
- Gibson D.J., Elliott L., McDermott E., Tosetto M., Keegan D., Byrne K., Martin S.T., Rispens T., Cullen G., Mulcahy H.E., Cheifetz A.S., Moss A.C., Robson S.C., Doherty G.A., Ryan E.J. Heightened expression of CD39 by regulatory T lymphocytes is associated with therapeutic remission in inflammatory bowel disease. Inflamm. Bowel Dis., 2015, Vol. 21, no. 12, pp. 2806-2814.
- Gondek D.C., Lu L.F., Quezada S.A., Sakaguchi S., Noelle R.J. Cutting edge: contact-mediated suppression by CD4+CD25+ regulatory cells involves a granzyme B-dependent, perforin-independent mechanism. J. Immunol., 2005, Vol. 174, no. 4. pp. 1783-1786.
- Hamed F.N., Astrand A., Bertolini M., Rossi A., Maleki-Dizaji A., Messenger A.G., McDonagh A.J.G., Tazi-Ahnini R. Alopecia areata patients show deficiency of FOXP3+CD39+ T regulatory cells and clonotypic restriction of Treg TCRbeta-chain, which highlights the immunopathological aspect of the disease. PLoS One, 2019, Vol. 14, no. 7, e0210308. doi: 10.1371/journal.pone.0210308.
- Kim J.M., Rasmussen J.P., Rudensky A.Y. Regulatory T cells prevent catastrophic autoimmunity throughout the lifespan of mice. Nat. Immunol., 2007, Vol. 8, no. 2, pp. 191-197.
- Langhans B., Kramer B., Louis M., Nischalke H.D., Hüneburg R., Staratschek-Jox A., Odenthal M., Manekeller S., Schepke M., Kalff J., Fischer H.P., Schultze J.L., Spengler U. Intrahepatic IL-8 producing Foxp3(+)CD4(+) regulatory T cells and fibrogenesis in chronic hepatitis C. J. Hepatol., 2013, Vol. 59, no. 2, pp. 229-235.
- Liu W., Putnam A.L., Xu-Yu Z., Szot G.L., Lee M.R., Zhu S., Gottlieb P.A., Kapranov P., Gingeras T.R., Fazekas de St Groth B., Clayberger C., Soper D.M., Ziegler S.F., Bluestone J.A. CD127 expression inversely correlates with FoxP3 and suppressive function of human CD4+ T reg cells. J. Exp. Med., 2006, Vol. 203, no. 7, pp. 1701-1711.
- Lopez-Abente J., Correa-Rocha R., Pion M. Functional mechanisms of treg in the context of HIV infection and the janus face of immune suppression. Front. Immunol., 2016, Vol. 7, 192. doi: 10.3389/fimmu.2016.00192.
- McHugh R.S., Shevach E.M. Cutting edge: depletion of CD4+CD25+ regulatory T cells is necessary, but not sufficient, for induction of organ-specific autoimmune disease. J. Immunol., 2002, Vol. 168, no. 12, pp. 5979-5983.
- Moreno-Fernandez M.E., Zapata W., Blackard J.T., Franchini G., Chougnet C.A. Human regulatory T cells are targets for human immunodeficiency Virus (HIV) infection, and their susceptibility differs depending on the HIV type 1 strain. J. Virol., 2009, Vol. 83, no. 24, pp. 12925-12933.
- Nakamura K., Kitani A., Strober W. Cell contact-dependent immunosuppression by CD4(+)CD25(+) regulatory T cells is mediated by cell surface-bound transforming growth factor beta. J. Exp. Med., 2001, Vol. 194, no. 5, pp. 629-644.
- Noyan F., Lee Y.S., Zimmermann K., Hardtke-Wolenski M., Taubert R., Warnecke G., Knoefel A.K., Schulde E., Olek S., Manns M.P., Jaeckel E. Isolation of human antigen-specific regulatory T cells with high suppressive function. Eur. J. Immunol., 2014, Vol. 44, no. 9, pp. 2592-2602.
- Qureshi O.S., Zheng Y., Nakamura K., Attridge K., Manzotti C., Schmidt E.M., Baker J., Jeffery L.E., Kaur S., Briggs Z., Hou T.Z., Futter C.E., Anderson G., Walker L.S.K., Sansom D.M. Trans-endocytosis of CD80 and CD86: A molecular basis for the cell-extrinsic function of CTLA-4. Science, 2011, Vol. 332, no. 6029, pp. 600-603.
- Ring S., Oliver S.J., Cronstein B.N., Enk A.H., Mahnke K. CD4+CD25+ regulatory T cells suppress contact hypersensitivity reactions through a CD39, adenosine-dependent mechanism. J. Allergy Clin. Immunol., 2009, Vol. 123, no. 6, pp. 1287-1296.
- Santin M., Mestre M., Shaw E., Barbera M.J., Casanova A., Niubo J., Bolao F., Podzamczer D., Gudiol F. Impact of hepatitis C virus coinfection on immune restoration during successful antiretroviral therapy in chronic human immunodeficiency virus type 1 disease. Eur. J. Clin. Microbiol. Infect. Dis., 2008, Vol. 27, no. 1, pp. 65-73.
- Shmagel K.V., Saidakova E.V., Shmagel N.G., Korolevskaya L.B., Chereshnev V.A., Robinson J., Grivel J.C., Douek D.C., Margolis L., Anthony D.D., Lederman M.M. Systemic inflammation and liver damage in HIV/hepatitis C virus coinfection. HIV Medicine, 2016, Vol. 17, no. 8, pp. 581-589.
- Simonetta F., Lecuroux C., Girault I., Goujard C., Sinet M., Lambotte O., Venet A., Bourgeois C. Early and long-lasting alteration of effector CD45RA(-)Foxp3(high) regulatory T-cell homeostasis during HIV infection. J. Infect. Dis., 2012, Vol. 205, no. 10, pp. 1510-1519.
- Stockis J., Colau D., Coulie P.G., Lucas S. Membrane protein GARP is a receptor for latent TGF-beta on the surface of activated human Treg. Eur. J. Immunol., 2009, Vol. 39, no. 12, pp. 3315-3322.
- Wang H., Song H., Pham A.V., Cooper L.J., Schulze J.J., Olek S., Tran D.Q. Human LAP(+)GARP(+)FOXP3(+) regulatory T cells attenuate xenogeneic graft versus host disease. Theranostics, 2019, Vol. 9, no. 8, pp. 2315-2324.
- Younes S.A., Talla A., Pereira Ribeiro S., Saidakova E.V., Korolevskaya L.B., Shmagel K.V., Shive C.L., Freeman M.L., Panigrahi S., Zweig S., Balderas R., Margolis L., Douek D.C., Anthony D.D., Pandiyan P., Cameron M., Sieg S.F., Calabrese L.H., Rodriguez B., Lederman M.M. Cycling CD4+ T cells in HIV-infected immune nonresponders have mitochondrial dysfunction. J. Clin. Invest., 2018, Vol. 128, no. 11, pp. 5083-5094.
Дополнительные файлы





