Иммуно-гормональный дисбаланс при химическом канцерогенезе
- Авторы: Глушков А.Н.1
-
Учреждения:
- ФГБУН «Институт экологии человека», Федеральный исследовательский центр угля и углехимии Сибирского отделения Российской академии наук
- Выпуск: Том 25, № 1 (2022)
- Страницы: 23-36
- Раздел: ОБЗОРЫ
- Дата подачи: 10.11.2021
- Дата принятия к публикации: 06.01.2022
- Дата публикации: 03.08.2022
- URL: https://rusimmun.ru/jour/article/view/1091
- DOI: https://doi.org/10.46235/1028-7221-1091-IHI
- ID: 1091
Цитировать
Полный текст
Аннотация
В данной статье представлены экспериментальные и клинические аспекты иммуно-гормональных взаимодействий при химическом канцерогенезе: образование аддуктов химических канцерогенов с ДНК как ключевое звено канцерогенеза и пусковой механизм синтеза специфических антител; антитела к аддуктам химических канцерогенов с ДНК, как маркеры экспозиции человека к химическим канцерогенам; иммуномодуляция химического канцерогенеза специфическими антителами в эксперименте; взаимосвязанное участие антител против химических канцерогенов и стероидных гормонов в канцерогенезе у человека; феномены иммунологической интерференции и инверсии иммуно-гормональных взаимодействий под действием антител против химических канцерогенов окружающей среды; иммуно-гормональный дисбаланс при канцероген-индуцированных стероидзависимых онкологических заболеваниях; иммуностимуляция канцерогенеза в стадии прогрессии. Показано, что антитела, специфичные к эстрадиолу и прогестерону, принимают участие в регуляции содержания этих гормонов в сыворотке крови у здоровых женщин. Избыточное образование антител против бензо[а]пирена ассоциировано с нарушение физиологического баланса между уровнями антител, специфичных к эстрадиолу о прогестерону. В результате нарушается баланс между содержанием в сыворотке крови эстрадиола и прогестерона. Иммуно-гормональный дисбаланс стимулирует процессы инициации, промоции и прогрессии опухолей. Обсуждаются новые подходы к иммунодиагностике индивидуальных онкологических рисков и иммунопрофилактике рака. Предполагается, что совместное образование антител против бензо[а]пирена и эстрадиола отражает наличие ДНК-аддуктов с генотоксическими метаболитами этих соединений как проявление синергизма их канцерогенного воздействия на клетки мишени. Поэтому одновременное повышение уровней сывороточных антител против бензо[а]пирена и эстрадиола у здоровых людей можно считать иммунологическим признаком высокого онкологического риска и показанием к применению новых средств иммунологической защиты против полициклических ароматических углеводородов и фитоэстрогенов. Однако способность таких антител повышать содержание химических канцерогенов окружающей среды и эндогенного эстрадиола в сыворотке крови, как показано в экспериментах in vitro и in vivo, исключает возможность активной иммунопрофилактики рака. Применение антиканцерогенных вакцин для индукции протективных секреторных антител с высокой вероятностью может сопровождаться повышением уровней проканцерогенных сывороточных антител против бензо[а]пирена и эстрадиола с последующим усилением иммуно-гормонального дисбаланса и стимуляцией канцерогенеза. Альтернативой анти-канцерогенным вакцинам может быть разработка пробиотиков, модифицированных генами человеческих антител против химических канцерогенов окружающей среды. Предполагается, что экспрессируемые такими пробиотиками антитела будут связывать химические канцерогены, препятствовать их проникновению в организм, образованию аддуктов с ДНК, индукции специфических аутоантител и проявлению феноменов иммуностимуляции канцерогенеза.
Цель – обоснование концепции иммуно-гормонального дисбаланса при канцероген-индуцированных гормонально зависимых опухолях у человека.
Ключевые слова
Полный текст
Введение
Химические канцерогены (ХК) окружающей среды являются основной причиной возникновения злокачественных новообразований с устойчивым ростом числа впервые выявленных случаев в мире и в РФ [11, 13, 86]. Наряду с ограничением контакта человека с производственными и бытовыми канцерогенами, снижение заболеваемости раком достижимо путем создания условий, препятствующих достижению мутагенами клеток-мишеней [14], в том числе разработки новых фармакологических средств защиты человека от ХК. Очевидно, что показанием для применения таких средств может быть высокая индивидуальная чувствительность к ХК. Поэтому создание новых методов диагностики персональных онкологических рисков является необходимым компонентом в медицинских технологиях профилактики рака. Исследование иммунологических механизмов адаптации человека к ХК представляется перспективным для решения этих прикладных задач. Настоящая статья посвящена развитию ранее предложенной концепции иммунологического дисбаланса при химическом канцерогенезе [2, 40] на основе системного анализа экспериментальных и клинических данных о специфических иммунных реакциях на экзогенные и эндогенные низкомолекулярные органические соединения, участвующие в возникновении злокачественных опухолей.
Цель – обоснование концепции иммуно-гормонального дисбаланса при канцероген-индуцированных гормонально зависимых опухолях у человека.
Образование аддуктов химических канцерогенов с ДНК – ключевое звено химического канцерогенеза
Согласно классической модели химический канцерогенез включает в себя три последовательные стадии: инициацию, промоцию и прогрессию. На стадии инициации ХК под действием ферментов биотрансформации (цитохромов Р450) превращаются в генотоксические метаболиты, образуют ковалентные связи с ДНК и тем самым запускают процессы мутагенеза в клетках-мишенях. На стадии промоции происходит селективная пролиферация мутантных клеток под действием агентов, стимулирующих митоз. Мутации в онкогенах накапливаются до критического уровня, при котором инициированная клетка уходит из-под контроля внеклеточных факторов, регулирующих ее дифференцировку и пролиферацию. Автономное поведение, инвазивный рост и метастазирование являются основными признаками канцерогенеза в стадии прогрессии [1, 10, 60].
Таким образом, образование аддуктов ХК с ДНК является ключевым звеном химического канцерогенеза. Учитывая широкое распространение в окружающей среде таких ХК, как полициклические ароматические углеводороды (ПАУ), основное количество исследований посвящено анализу аддуктов ПАУ-ДНК у здоровых людей при повышенной канцерогенной нагрузке и у больных злокачественными опухолями [19].
ПАУ-ДНК-аддукты были обнаружены:
– у курильщиков в эпителиальных клетках ротовой полости [51, 52], в лейкоцитах периферической крови [92], в эндотелиальных и гладкомышечных клетках сосудов [95];
– у рабочих, занятых в производстве кокса, и у больных псориазом при лечении каменноугольной смолой [48, 49, 83].
Высокое содержание ПАУ-ДНК-аддуктов в лейкоцитах крови, неизмененных тканях и в злокачественных опухолях обнаруживали у больных раком легкого [26, 45, 69, 93], раком молочной железы [53, 76, 80, 81, 82], раком толстой кишки [16, 17, 47, 54, 71], раком предстательной железы [65, 78, 79, 90].
Важным свойством ПАУ является способность повышать активность цитохромов P450, трансформирующих в генетические метаболиты не только экзогенные ХК, но и эндогенные стероиды [8, 12, 18, 44]. Метаболиты эстрогенов образуют аддукты с ДНК, ассоциированные с высоким риском рака молочной железы, предстательной железы и мочевого пузыря [24, 25, 94].
В модельных экспериментах на мышах и клеточных культурах in vitro показано, что эстрогены усиливают канцерогенные эффекты ПАУ [31, 56], а ПАУ в свою очередь усиливают канцерогенные эффекты эстрогенов [30, 36, 57].
В естественных условиях ХК окружающей среды и эндогенные стероидные гормоны воздействуют на организм человека совместно. Весьма вероятно, что сочетанный анализ аддуктов ДНК с ХК и с эстрогенами может быть более информативным в диагностике индивидуальных онкологических рисков, чем определение каждого из них по-отдельности. Однако исследований в этом направлении до сих пор не проводилось.
Антитела, специфичные к аддуктам ПАУ-ДНК, как маркеры экспозиции человека к ПАУ
Наличие аддуктов низкомолекулярных ХК с макромолекулярным носителем ДНК предполагает образование АТ, специфичных к ХК как к гаптенам. В связи с этим в сыворотке крови различных категорий людей были исследованы АТ к аддуктам ПАУ-ДНК в качестве маркеров экспозиции к ПАУ.
АТ к аддуктам метаболитов ПАУ с ДНК обнаруживали у 40% здоровых людей; в некоторых образцах сыворотки выявлено перекрестное связывание АТ с бензо[а]пиреном (Bp), бенз[а]антраценом и хризеном; значимые взаимосвязи исследованных АТ с курением отсутствовали [64]. У курильщиков АТ к Bp-ДНК встречались реже, чем у некурящих людей, а при отказе от курения частота образования этих АТ возрастала [73]. В других исследованиях, напротив, наличие АТ к Bp-ДНК было ассоциировано с курением у здоровых людей [70].
Антитела к ПАУ-ДНК обнаруживали у 30% рабочих, занятых в производстве кокса [83, 92]; у 13% рабочих алюминиевой промышленности [39]. У больных псориазом повышался уровень АТ к Bp-ДНК при лечении каменноугольной смолой [21].
У здоровых людей выявлены ассоциации АТ к Bp-ДНК аддуктам с наличием у родственников рака легкого [70]. Уровни АТ к Bp-ДНК были повышены у пациентов с хронической обструктивой болезнью легких и раком легкого, независимо от фактора курения [67].
Дополнительными индукторами образования АТ против ПАУ у человека могут быть аддукты их метаболитов с белками крови и тканей-мишеней [55, 72].
Ни в одной работе не обнаружены явные взаимосвязи образования АТ к аддуктам ПАУ-ДНК или ПАУ-белку с наличием или количеством самих аддуктов. По-видимому, образование таких АТ зависит не только от экспозиции человека к ХК, но и от индивидуальных генетически детерминированных особенностей реакции иммунной системы организма на ХК.
Исследований АТ к аддуктам эстрогенов с ДНК, в том числе во взаимосвязи с экспозицией к ХК или с онкологическими заболеваниями до сих пор не проводилось. Однако у здоровых людей и пациентов с аутоиммунными заболеваниями и злокачественными опухолями обнаружены АТ, связывающие Es [32] и эстрогеновый рецептор (ER) [59, 66]. Весьма вероятно, что АТ, специфичные к ER, являются анти-идиотипическими по отношению к АТ против Es, образование которых у здоровых людей и больных раком вполне допустимо.
Иммуномодуляция химического канцерогенеза специфическими антителами в эксперименте
Торможение химического канцерогенеза специфическими АТ впервые продемонстрировали W. Franks и H. Creech: появление опухолей, инициированных дибенз[а]антраценом у животных, угнеталось после предварительной иммунизации конъюгатом дибенз[а]антрацена с белком [37]. Аналогичным образом угнеталось возникновение опухолей, индуцированных 2-антриламином [68] и диметилбенз[а]антраценом [63]. После предварительной иммунизации анти-идиотипическими АТ с внутренним иммунологическим образом Bp наблюдали торможение появления опухолей, индуцированных Bp [29]. В других экспериментах активная иммунизация животных белковым конъюгатом Bp, наоборот, стимулировала образование опухолей после обработки животных Bp [33].
Таким образом, специфические АТ способны как угнетать, так и стимулировать возникновение химически индуцированных опухолей. На других экспериментальных моделях было установлено, что протективными свойствами обладают секреторные АТ против ХК. После интраназальной иммунизации животных белковым конъюгатом фторметилбенз[а]антрацена подавлялось накопление Bp в клетках эпителия дыхательных путей [62]. Трансэпителиальная абсорбция ацетиламинофлуорена подавлялась секреторными IgA после внутрикишечной иммунизации этим ХК, конъюгированным с холерным токсином [87]. Введение ацетиламинофлуорена в смеси со специфическими АТ per os приводило к повышению его экскреции с фекалиями и снижению адсорбции в желудочно-кишечном тракте [74].
В опытах in vitro специфические АТ, имитирующие секреторные IgA, подавляли диффузию ацетиламинофлуорена через полупроницаемую мембрану, а имитирующие сывороточные IgG, наоборот, усиливали трансмембранный транспорт ХК [88]. Авторы оценили высокое соотношение секреторных/сывороточных АТ как протективное и предложили использовать селективные адьюванты для стимуляции секреторного иммунитета против ХК при создании новых средств защиты человека от химических токсикантов окружающей среды [89].
Эксперименты с поляризованным монослоем эпителиальных клеток кишечника (Caco-2) расширили представление о влиянии секреторных и сывороточных АТ на трансэпителиальный транспорт и метаболизм ХК. Моноклональные IgG против Bp в апикальном пространстве (имитирующие секреторные АТ) снижали абсорбтивный транспорт Bp и повышали обратный выброс из клеток фенольных метаболитов Bp; базолатеральные АТ (имитирующие сывороточные АТ) повышали трансэпителиальный поток Bp, но не нарушали «защитных» свойств апикальных АТ при совместной обработке монослоя Caco-2 [34].
Сывороточные АТ in vivo модулировали распределение ХК по организму. После предварительной внутрибрюшинной иммунизации мышей против Bp и последующего введения Bp внутрибрюшинно повышалась концентрация Bp в крови, печени и селезенке [46]. После подкожной иммунизации мышей против Bp и последующего введения Bp внутрибрюшинно снижалось количество аддуктов Bp-ДНК в печени [27, 38]. Признавая высокую вероятность индукции системной иммунной реакции на ХК при активной генерации секреторного иммунитета против ХК, S. de Buck и C. Muller считают достижимым превалирование процессов детоксикации реактивных метаболитов ХК за счет: снижения накопления ХК в клетках-мишенях вследствие перераспределения ХК по организму; ограничения индукции цитохромов Р-450 в легких; угнетения промоторного действия ХК вследствие снижения их концентрации в органах-мишенях; ковалентного связывания метаболитов ХК с АТ; ограничения трансплацентарного влияния ХК на чувствительные ткани эмбриона [35].
Роль АТ, специфичных к стероидным гормонам, в химическом канцерогенезе оставалась неизученной. Только в одной работе показано увеличение латентного периода начала роста опухолей после имплантации крысам клеток аденокарциномы молочной железы MT/WSA и предварительной иммунизации конъюгатом Es с белком-носителем [23]. Авторы расценили этот эффект как результат связывания Es специфическими АТ и угнетения пролиферации эстроген-зависимых опухолевых клеток. В то же время, многочисленные эксперименты на различных видах животных продемонстрировали, что иммунизация против стероидных гормонов приводит к образованию специфических АТ, значительному повышению концентрации соответствующих гормонов в крови и модулированию их биологических функций [20, 50, 58]. В некоторых экспериментах иммунизации против одного гормона сопровождалась повышением содержания в крови другого гормона. Например, после иммунизации овец конъюгатом эстрон-белка повышалась концентрация прогестерона (Pg) [75], а после иммунизации конъюгатом Pg-белка возрастало содержание Es [77]. Поэтому весьма вероятно, что образование АТ против макромолекулярных аддуктов Es у человека может приводить к повышению в сыворотке крови не только самого Es, но и Pg.
Взаимосвязанное участие антител против ПАУ и стероидных гормонов в канцерогенезе у человека
Основанием комплексного изучения АТ против ПАУ и стероидных гормонов при канцерогенезе у человека послужили результаты экспериментальных и клинических исследований, изложенные выше:
– канцерогенные эффекты Bp и Es при совместном воздействии на клетки-мишени более выражены, чем каждого из них по отдельности;
– Bp и Es образуют аддукты с макромолекулярными носителями у здоровых людей и больных раком и таким образом превращаются в гаптены, распознаваемые иммунной системой;
– у здоровых людей и больных раком имеет место образование АТ к аддуктам Bp-ДНК и, весьма вероятно, к аддуктам Es-ДНК;
– образование АТ против Bp и стероидных гормонов у иммунизированных животных сопровождается повышением в сыворотке крови содержания Bp и гормонов и модуляцией их биологических эффектов;
– селективная стимуляция образования секреторных АТ против ХК предлагается как стратегия иммунопрофилактики рака.
Наиболее предпочтительной моделью для комплексного исследования АТ, специфичных к ПАУ и стероидным гормонам, представляется канцерогенез молочной железы. Именно у больных раком молочной железы (РМЖ) обнаружены АТ, специфичные к Bp [28] и АТ, специфичные к ER, стимулирующие пролиферацию клеток молочной железы in vitro [59]; доказано ингибирующее действие Pg на Es-зависимую пролиферацию эксплантов РМЖ [61]; описаны изменения ER и PR при прогрессии РМЖ [15]; успешно начато применение селективных модуляторов ER для профилактики РМЖ [85].
Нами исследованы АТ класса А против Bp, Es и Pg в сыворотке крови женщин в постменопаузе, здоровых и больных РМЖ, поскольку их образование связано с секреторным иммунным ответом на экзогенные ПАУ, способностью (предположительно) модулировать содержание стероидных гормонов в крови и продуцировать образование антиидиотипических АТ, специфичных к мембранным стероидным рецепторам, и таким образом принимать участие в процессах инициации, промоции и прогрессии РМЖ.
В результате были выявлены следующие иммунологические феномены.
Образование АТ против ПАУ и стероидных гормонов – взаимосвязанные процессы
Обнаружены статистически значимые (р < 0,001), прямые линейные корреляции средней силы между уровнями IgA-Es и IgA-Pg, с одной стороны, и IgA-Bp, с другой стороны, у женщин сравниваемых групп [5] (табл. 1).
Таблица 1. Корреляции между уровнями IgA-Bp, IgA-Es и IgA-Pg у здоровых женщин и больных РМЖ [84]
Table 1. Correlation between IgA-Bp, IgA-Es and IgA-Pg levels in healthy women and breast cancer patients [84]
x | y | Здоровые женщины Healthy women (n = 395) | Больные РМЖ Breast cancer patients (n = 1539) | ||
r | y = a×x+b | r | y = a×x+b | ||
IgA-Bp | IgA-Es | 0,7 | y = 0,8×x+0,9 | 0,7 | y = 0,6×x+1,1 |
IgA-Bp | IgA-Pg | 0,5 | y = 0,6×x+1,5 | 0,6 | y = 0,5×x+0,9 |
IgA-Es | IgA-Pg | 0,6 | y = 0,6×x+1,2 | 0,7 | y = 0,7×x+0,4 |
Взаимосвязанное образование АТ против ХК окружающей среды и эстрогенных стероидов может быть обусловлено:
– одновременным образованием макромолекулярных аддуктов метаболитов Bp и Es, который индуцирует синтез отдельных по специфичности АТ;
– схожестью структуры Bp, Es и Pg, обеспечивающей кросс-реактивность с указанными гаптенами одного и того же АТ.
Разные значения коэффициентов a и b в уравнениях линейной корреляции уровней IgA-Es (y) и IgA-Pg (y) с уровнями IgA-Bp (x) у здоровых женщин косвенно подтверждают первое предположение. Аналогичные различия между здоровыми и больными РМЖ в корреляциях IgA-Bp (x) с IgA-Pg (y), а также IgA-Es (x) с IgA-Pg (y) свидетельствуют об особенностях выявленных взаимосвязей при канцерогенезе молочной железы.
Чем бы ни было обусловлено образование АТ против ХК и стероидных гормонов, очевидно, что они принимают совместное участие в возникновении РМЖ.
Иммунологическая интерференция
На основании известных данных о разнонаправленных эффектах Bp и Es (инициация, промоция), с одной стороны, и Pg (антипромоция), с другой стороны, исследовали индивидуальные соотношения уровней АТ, предположительно стимулирующих канцерогенез (IgA-Bp и IgA- Es), и ингибирующих АТ (IgA-Pg) в сыворотке крови здоровых женщин и больных РМЖ [6]. Обнаружили, что только одновременное превышение уровней IgA-Bp и IgA-Es над уровнем IgA-Pg было ассоциировано с высоким риском РМЖ (OR = 3,2). Такое состояние обозначено проканцерогенным иммунологическим фенотипом. При одновременно низких уровнях IgA-Bp и IgA-Es по сравнению с IgA-Pg (протективный иммунологический фенотип) риск РМЖ был минимальный (OR = 0,3). Если уровни IgA-Bp были выше, а IgA-Es ниже или уровни IgA-Bp были ниже, а IgA-Es выше, чем уровни IgA-Pg, значения OR составили 0,9 и 0,6 соответственно (компенсаторные иммунологические фенотипы). Распределение здоровых женщин и больных РМЖ по указанным иммунологическим фенотипам представлено на рисунке 1.
Рисунок 1. Частота (%) обнаружения иммунологических фенотипов (A – протективный, Б и В – компенсаторный, Г – проканцерогенный) у здоровых женщин и больных РМЖ [6]
Примечание. * – р < 0,0001; ** – р < 0,01.
Figure 1. Frequency (%) of revealing immunological phenotypes (A, protective; B and C, compensatory, D, procarcinogenic) in healthy women and breast cancer patients [6]
Note. *, р < 0.0001; **, р < 0.01.
Высокий риск возникновения РМЖ при одновременном повышении индивидуальных уровней IgA-Bp и IgA-Es в сочетании с низким уровнем IgA-Pg можно рассматривать как проявление иммунологической интерференции – взаимного усиления проканцерогенных эффектов АТ, стимулирующих процессы инициации и промоции, при ослабленном действии АТ, ингибирующих промоцию.
Иммунорегуляция гормонального баланса
Учитывая роль половых гормонов в регуляции процессов дифференцировки и пролиферации клеток молочной железы, исследовали содержание Es и Pg в сыворотке крови женщин с описанными выше иммунологическими фенотипами [7]. Индивидуальные соотношения Pg/Es у больных РМЖ были, как и ожидалось, ниже, чем у здоровых женщин (2,9 против 6,6, p < 0,0001) за счет повышения концентрации Es и снижения Pg. У здоровых женщин соотношение Pg/Es зависело от иммунологического фенотипа (рис. 2).
Рисунок 2. Индивидуальные соотношения Pg/Es в сыворотке крови у здоровых женщин с разными иммунологическими фенотипами (A – протективный, Б и В – компенсаторные, Г – проканцерогенный) и у больных РМЖ [7]
Примечание. * – р = 0,003; ** – р < 0,0001 в сравнении с А.
Figure 2. Individual blood serum ratios Pg/Es in healthy women with different immunological phenotypes (A, protectiv; B and C, compensatory; D, procancerogenic) and breast cancer patients (BCP) [7]
Note. *, p = 0.003; **, p < 0.0001 in comparison with A.
Максимальное значение Pg/Es (9,7) выявлено у здоровых женщин с протективным иммунологическим фенотипом, минимальное (3,5) – с проканцерогенным, которое незначительно отличалось от такового у больных РМЖ. Низкие значения Pg/Es у женщин с проканцерогенным фенотипом обусловлены повышением содержания в сыворотке Es и снижением Pg, у женщин с компенсаторными фенотипами – только снижением концентрации Pg.
Полученные результаты свидетельствуют о том, что физиологические соотношения АТ, специфичных к Bp, Es и Pg (протективный иммунологический фенотип) поддерживают физиологический гормональный баланс. Нарушение этих соотношений (проканцерогенный иммунологичекий фенотип) приводит к гормональному дисбалансу и повышению риска РМЖ.
Инверсия иммуно-гормональных взаимодействий под воздействием АТ против ХК окружающей среды
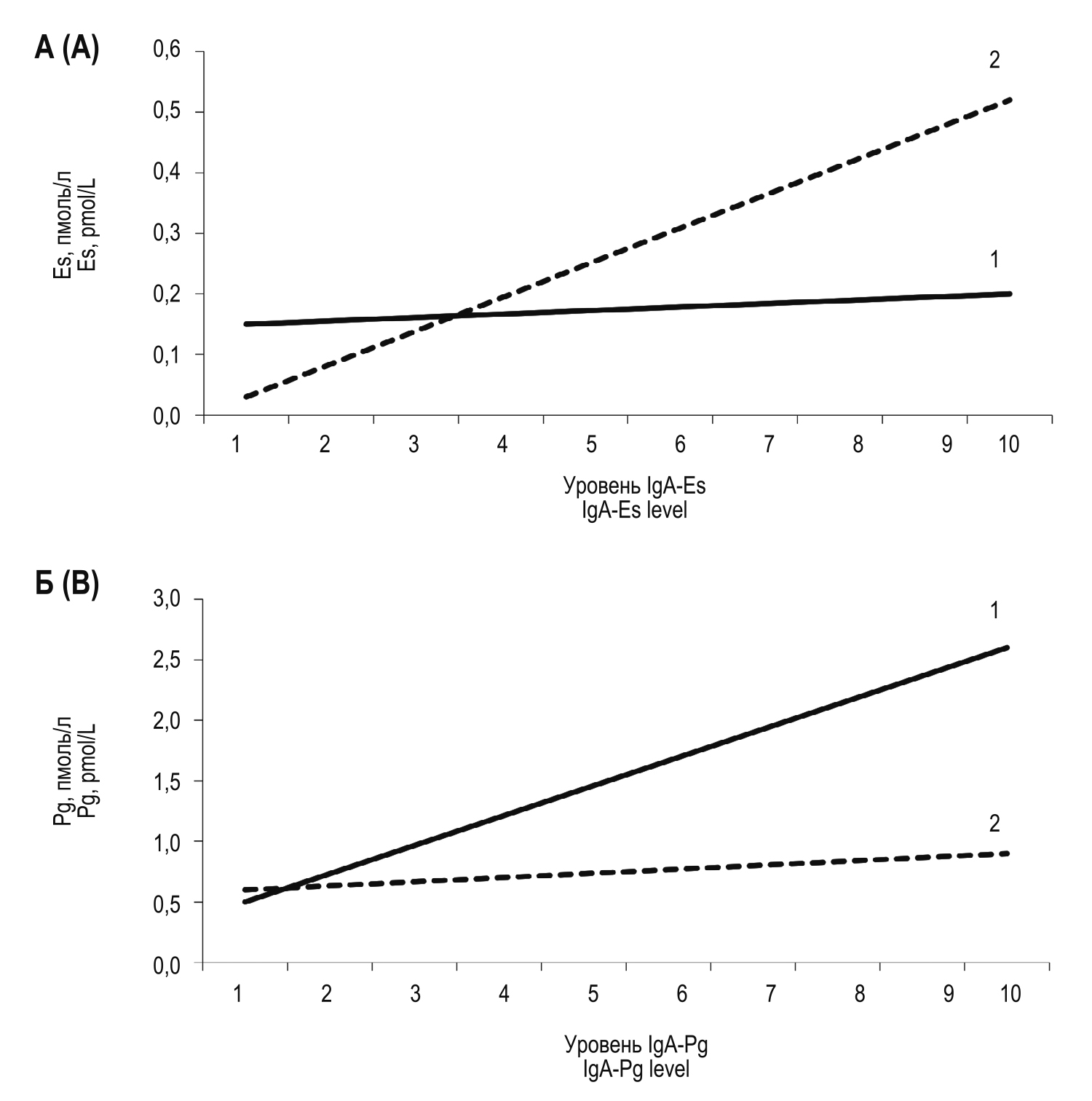
Для прояснения роли АТ против ХК окружающей среды в нарушениях физиологических иммуно-гормональных взаимодействий исследовали зависимость содержания Es и Pg от уровней IgA-Es и IgA-Pg при низких и высоких уровнях IgA-Bp в сыворотке крови здоровых женщин в постменопаузе [43].
Концентрация Es не зависела от уровня IgA-Es при низких уровнях IgA-Bp, но повышалась с ростом IgA-Es при высоких уровнях IgA-Bp (r = 0,38, p < 0,001; рис. 3А). Напротив, концентрация Pg повышалась с ростом IgA-Pg при низких уровнях IgA-Bp (r = 0,49, p < 0,001), но не зависела от IgA-Pg при высоких уровнях IgA-Bp (рис. 3Б).
Рисунок 3. Корреляции между концентрациями эстрадиола (А) и прогестерона (Б), и уровнями IgA-Es и IgA-Pg в сыворотке крови здоровых женщин с низким (1) и высоким (2) уровнями IgA-Bp [43]
Figure 3. Correlations between blood serum Es (A) and Pg (B) concentrations and IgA-Es and IgA-Pg levels in healthy women with low (1) and high (2) IgA-Bp levels [43]
Механизм переключения физиологических иммуно-гормональных взаимодействий с угнетения на стимуляцию канцерогенеза (switching effect) под влиянием АТ против ХК окружающей среды представляется следующим образом.
При низких уровнях сывороточных IgA-Bp не происходит стимуляции транспорта Bp из окружающей среды через поверхностный эпителий в кровь и органы мишени; сохраняется физиологическая активность цитохромов Р450 и низкий уровень Es-аддуктов, который индуцирует преимущественное образование высоко-аффинных IgA-Pg, повышающих концентрацию Pg. В результате Pg угнетает пролиферацию клеток-мишеней, т. е. промоцию канцерогенеза.
Повышение уровней IgA-Bp приводит к стимуляции транспорта Bp к клеткам-мишеням; активации цитохромов Р450 и супрессии Es-индуцированной COMT [57], избыточному образованию Bp-ДНК и Es-ДНК аддуктов и инициации канцерогенеза. Es-аддукты индуцируют преимущественное образование высоко-аффинных IgA-Es, повышающих концентрацию Es. В результате Es стимулирует промоцию канцерогенеза.
Иммуностимуляция канцерогенеза в стадии прогрессии
Основным признаком канцерогенеза в стадии прогрессии является автономность опухоли – нарастающая независимость дифференцировки и пролиферации малигнизированных клеток от внеклеточных регулирующих факторов, в том числе за счет «утраты» эстрогеновых и прогестероновых рецепторов.
Сравнение больных РМЖ в начале опухолевого роста (I стадия) и его прогрессии, инвазии и метастазирования (II-IV стадии) показало следующее. При высоких значениях IgA-Es/IgA-Pg > 1,0 удельный вес ER+ опухолей у больных РМЖ II-IV стадии был меньше (55,2%), а ER- больше (20,9%), чем у больных с I стадией РМЖ (63,3% и 11,5% соответственно, р < 0,0001). Аналогичные различия обнаружены и при анализе прогестероновых рецепторов (рис. 4). При низких значениях IgA-Es/IgA-Pg ≤ 1,0 подобной разницы не обнаружили.
Рисунок 4. Удельный вес (%) случаев с высоким соотношением IgA-Es/IgA-Pg > 1,0 у больных РМЖ с ограниченной (I стадия) и прогрессирующей (II-IV стадии) опухолями с учетом наличия/отсутствия (+/-) ER и PR
Примечание. * – р < 0,0001.
Figure 4. Frequency (%) of high individual IgA-Es/IgA-Pg ratio in breast cancer patients with I and II-IV tumor stages according to ER/PR status
Note. *, p < 0.0001.
Такие же статистически значимые (р = 0,0001) ассоциации ER и PR в опухолях I и II-IV стадий выявлены с высокими значениями IgA-Bp/IgA-Pg > 1,0.
Полученные результаты свидетельствуют о том, что преимущественное образование АТ против Bp и Es при низких уровнях АТ против Pg стимулируют прогрессию РМЖ и открывают новые перспективы в изучении молекулярных механизмов иммунологического дисбаланса в химическом канцерогенезе у человека.
Заключение
Результаты многочисленных экспериментальных исследований послужили основанием для разработки стратегии активной иммунопрофилактики рака путем селективной индукции секреторного иммунитета против ХК окружающей среды, т. е. создания анти-канцерогенных вакцин [35, 62, 84, 89]. Очевидно, что применение таких вакцин необходимо только у людей с высоким риском возникновения злокачественных опухолей, обусловленным индивидуальными особенностями специфических иммунных реакций на ХК. Наши исследования показали [3, 4], что высокий риск возникновения РМЖ и рака легкого ассоциирован с преимущественным образованием сывороточных IgA, специфичных к Bp и Es при низких уровнях IgA к Pg (OR > 1,0). При низких уровнях IgA-Bp и IgA-Es вероятность возникновения этих опухолей среднестатистическая (OR = 1,0). Преимущественное образование IgA-Pg ассоциировано с низкими онкорисками (OR < 1,0).
Таким образом, у людей с протективным и компенсаторными иммунологическими фенотипами применение анти-канцерогенных вакцин не показано. А у людей с проканцерогенным иммунологическим фенотипом активная иммунизация против ХК противопоказана, так как индукция секреторных АТ с высокой вероятностью активирует проявление уже имеющегося иммуно-гормонального дисбаланса:
– дальнейшее повышение уровня сывороточных IgA-Bp и взаимосвязанное с ним повышение уровня IgA-Es с ростом соотношений IgA-Bp/IgA-Pg вместе с IgA-Es/IgA-Pg;
– дальнейшее повышение содержания в сыворотке Es с ростом соотношения Es/Pg;
– активацию процессов инициации и промоции у здоровых людей и прогрессии – у больных раком.
Альтернативой анти-канцерогенным вакцинам может быть стратегия пассивной иммунопрофилактики рака с разработкой пробиотиков, модифицированных генами, кодирующими человеческие АТ против ХК [42]. Предполагается, что АТ специфичные к ХК (в том числе к фитоэстрогенам), экспрессируемые такими пробиотиками, будут связывать ХК окружающей среды, препятствовать их проникновению в поверхностный эпителий и образованию аддуктов с ДНК и белками, ингибируя процессы инициации и промоции. Наряду с этим ограничится образование сывороточных АТ портив ХК, что приведет к восстановлению физиологического иммуно-гормонального баланса.
Иммунодиагностика онкологических рисков с помощью комплексного анализа АТ против Bp, Es и Pg будет полезной при использовании известных фармакологических средств химиопрофилактики [85, 91]. Идентификация протективного или компенсаторного иммунологического фенотипа позволит значительно сузить круг женщин для назначения селективных модуляторов эстрогеновых рецепторов и ингибиторов ароматазы. Применение этих препаратов у женщин с проканцерогенным иммунологическим фенотипом повысит их эффективность в снижении риска РМЖ. Вероятно, при этом снизится и риск рака легкого, поскольку проканцерогенный иммунологический фенотип ассоциирован с риском возникновения этой злокачественной опухоли у женщин и мужчин, а эстрогеновые рецепторы рассматриваются как новая мишень в ее терапии [9], и лечение РМЖ анти-эстрогенами сопровождается снижением смертности от вторичного рака легкого [22].
Следует отметить, что ХК и стероидные гормоны принимают участие в возникновении и других заболеваний – врожденных пороков развития плода, воспалительных и аутоиммунных болезней, атеросклероза и гипертонии [41]. Поэтому изучение иммуно-гормональных взаимодействий при этих заболеваниях может быть полезным для разработки новых методов их профилактики.
Благодарности
Автор благодарит академика Л.Н. Иванову за поддержку выбранного направления исследований и коллег из Института экологии человека ФИЦ УУХ СО РАН за многолетнюю совместную работу по иммунологии химического канцерогенеза.
Об авторах
Андрей Николаевич Глушков
ФГБУН «Институт экологии человека», Федеральный исследовательский центр угля и углехимии Сибирского отделения Российской академии наук
Автор, ответственный за переписку.
Email: stellamun@yandex.ru
ORCID iD: 0000-0002-8560-6719
д.м.н., профессор, главный научный сотрудник лаборатории иммуногенетики
Россия, 650065, Кемерово, Ленинградский пр., 10Список литературы
- Высоцкая И.В., Летягин В.П., Шабанов М.А., Кирсанов В.Ю., Ким Е.А., Левкина Н.В. Актуальные вопросы канцерогенеза // Клиническая онкогематология, 2019. Т. 12, № 1. С. 101-106. [Vysotskaya I.V., Letyagin V.P., Shabanov M.A., Kirsanov V.Yu., Kim E.A., Levkina N.V. Current issues in carcinogenesis. Klinicheskaya onkogematologiya = Clinical Oncohematology, 2019, Vol. 12, no. 1, pp. 101-106. (In Russ.)]
- Глушков А.Н. Клиническая иммунохимия канцерогенеза: новые задачи и перспективы // Российский иммунологический журнал, 2013. Т. 7 (16), № 1. С. 27-34. Glushkov A.N. The immunochemistry on carcinogenesis: the new tasks and perspectives. Rossiyskiy immunologicheskiy zhurnal = Russian Journal of Immunology, 2013, Vol. 7 (16), no. 1, pp. 27-34. (In Russ.)]
- Глушков А.Н., Поленок Е.Г., Гордеева Л.А., Мун С.А., Костянко М.В., Антонов А.В., Титов В.А., Вержбицкая Н.Е., Вафин И.А. Иммунологический дисбаланс при раке молочной железы и раке легкого у женщин в постменопаузе // Медицинская иммунология, 2018. Т. 20, № 6. С. 927-934. [Glushkov A.N., Polenok E.G., Gordeeva L.A., Mun S.A., Kostyanko M.V., Antonov A.V., Titov V.A., Verzhbitskaya N.E., Vafin I.A. Immunological imbalance in breast cancer and lung cancer in postmenopausal women. Meditsinskaya immunologiya = Medical Immunology (Russia), 2018, Vol. 20, no. 6, pp. 927-934. (In Russ.)] doi: 10.15789/1563-0625-2018-6-927-934.
- Глушков А.Н., Поленок Е.Г., Костянко М.В., Титов В.А., Вафин И.А., Рагожина С.Е. Взаимное влияние антител к бензо[a]пирену, эстрадиолу и прогестерону на риски возникновения рака легкого // Российский иммунологический журнал, 2015. Т. 9 (18), № 3. С. 343-349. [Glushkov A.N., Polenok E.G., Kostyanko M.V., Titov V.A., Vafin I.A., Ragozhina S.E. Mutual effects of antibodies to benzo[a]pyrene, estradiol and progesterone on the lung cancer risks. Rossiyskiy immunologicheskiy zhurnal = Russian Journal of Immunology, 2015, Vol. 9 (18), no. 3, pp. 343-349. (In Russ.)]
- Глушков А.Н., Поленок Е.Г., Магарилл Ю.А., Аносова Т.П., Антонов А.В., Вержбицкая Н.Е. Антитела к бензо[а]пирену, эстрадиолу и прогестерону у больных раком молочной железы в постменопаузе // Сибирский онкологический журнал, 2016. Т. 15, № 6. С. 28-34. [Glushkov A.N., Polenok E.G., Magarill Yu.A., Anosova T.P., Antonov A.V., Verzhbitskaya N.E. Antibodies to benzo[a]pyrene, estradiol, and progesterone in postmenopausal breast cancer patients. Sibirskiy onkologicheskiy zhurnal = Siberian Journal of Oncology, 2016, Vol. 15, no. 6, pp. 28-34. (In Russ.)]
- Глушков А.Н., Поленок Е.Г., Мун С.А., Гордеева Л.А., Костянко М.В., Антонов А.В., Вержбицкая Н.Е., Вафин И.А. Индивидуальный иммунологический фенотип и риск рака молочной железы у женщин в постменопаузе // Российский иммунологический журнал, 2019. Т. 13, № 1. С. 44-52. [Glushkov A.N., Polenok E.G., Mun S.A., Gordeeva L.A., Kostyanko M.V., Antonov A.V., Verzhbitskaya N.E., Vafin I.A. Personal immunological phenotype and breast cancer risk in postmenopausal women. Rossiyskiy immunologicheskiy zhurnal = Russian Journal of Immunology, 2019, Vol. 13, no. 1, pp. 44-52. (In Russ.)]
- Глушков А.Н., Поленок Е.Г., Мун С.А., Гордеева Л.А., Костянко М.В., Колпинский Г.И., Луценко В.А., Антонов А.В., Титов В.А., Вафин И.А. Антитела к химическим канцерогенам и половым стероидам и содержание эстрадиола и прогестерона в сыворотке крови женщин больных раком молочной железы и мужчин больных раком легкого // Российский иммунологический журнал, 2020. Т. 23, № 1. С. 69-78. [Glushkov A.N., Polenok E.G, Mun S.A., Gordeeva L.A., Kostyanko M.V., Kolpinsky G.I., Lutsenko V.A., Antonov A.V., Titov V.A., Vafin I.A. Antibodies to the chemical carcinogens and sex steroids of estradiol and progesterone the serum levels of features in women and men with breast and lung cancer. Rossiyskiy immunologicheskiy zhurnal = Russian Journal of Immunology, 2020, Vol. 23, no. 1, pp. 69-78. (In Russ.)]
- Гуляева Л.Ф., Вавилин В.А., Ляхович В.В. Ферменты биотрансформации ксенобиотиков в химическом канцерогенезе. Новосибирск: ГПНТБ СО РАН, 2000. 85 с. [Gulyaeva L.F., Vavilin V.A., Lyakhovich V.V. Biotransformation enzymes of xenobiotics in chemical carcinogenesis]. Novosibirsk: GPNTB SBRAS, 2000. 85 p. (In Russ.)
- Давыдов М.И., Богуш Т.А., Полоцкий Б.Е., Тюляндин С.А. Эстрогеновые рецепторы β – новая мишень в терапии немелкоклеточного рака легкого // Вестник РАМН, 2012. Т. 67, № 2. С. 16-22. [Davidov M.I., Bogush T.A., Polotskiy B.E., Tylyandin S.A. Estrogen receptors β – new target in cellular lung cancer treatment. Vestnik RAMN = Annals of the Russian Academy of Medical Sciences, 2012, Vol. 67, no. 2, pp. 16-22. (In Russ.)]
- Имянитов Е.Н., Хансон К.П. Молекулярная онкология: клинические аспекты. Санкт-Петербург: Издательский дом СПбМАПО, 2007. 211 с. [Imyanitov E.N., Hanson K.P. Molecular Oncology: Cinical aspects]. St. Petersburg: Publishing house of St. Petersburg Medical Academy of Postgraduate Education, 2007, 211 p.
- Состояние онкологической помощи населению России в 2019 году. Под ред. А.Д. Каприна, В.В. Старинского, А.О. Шахзадовой. М.: МНИОИ им. П.А. Герцена – филиал ФГБУ «НМИЦ радиологии» Минздрава России, 2020. 239 с. [State of cancer care in Russia in 2019. Ed. Kaprin A.D., Starinskiy V.V., Shachzodova A.O.] Moscow: P. Herzen Moscow Oncology Research Institute − Branch of National Medical Radiology Research Center, 2020. 239 p.
- Суханов В.А., Пирузян Л.А. Роль физиологических факторов в прогнозировании риска развития онкологических заболеваний на основе полиморфизма системы ферментов метаболизма ксенобиотиков // Физиология человека, 2010. Т. 36, № 6. С. 122-137. [Sukhanov V.A., Piruzyan L.A. Role of physiological factors in predicting the risk of oncological diseases on the basis of the polymorphism of the xenobiotic metabolism enzyme system. Fiziologiya cheloveka = Human Physiology, 2010, Vol. 36, no. 6, pp. 723-736. (In Russ.)]
- Худолей В.В. Канцерогены: характеристики, закономерности, механизмы действия // Исследования по генетике, 1999. №12. С. 67-85. [Khudoley V.V. Carcinogens: characteristics, patterns, mechanisms of action. Issledovaniya po genetike = Research on Genetics, 1999, no. 12, pp. 67-85. (In Russ.)]
- Худолей В.В., Мизгирев И.В. Экологически опасные факторы. СПб.: Publishing House, 1996. 184 с. [Khudoley V.V., Mizgirev I.V. Environmentally dangerous factors]. St. Petersburg: Publishing House, 1996. 184 p.
- Шашова Е.Е., Кондакова И.В., Слонимская Е.М., Глущенко С.А. Сравнительное изучение содержания рецепторов эстрогенов и прогестерона в неизмененной, опухолевой и метастатической тканях при раке молочной железы // Сибирский онкологический журнал, 2008. Т. 4, № 28. С. 42-45. [Shashova E.E., Kondakova I.V., Slonimskaya E.M., Gluschenko S.A. Comparative study of the levels of estrogen and progesteron receptors in normal, tumor and metastatic tissues of breast cancer patients. Sibirskiy onkologicheskiy zhurnal = Siberian Journal of Oncology, 2008, Vol. 4, no. 28, pp. 42-45. (In Russ.)]
- Agudo A., Peluso M., Munnia A., Luján-Barroso L., Sánchez M.J., Molina-Montes E., Sánchez-Cantalejo E., Navarro C., Tormo M.J., Chirlaque M.D., Barricarte A., Ardanaz E., Amiano P., Dorronsoro M., Quirós J.R., Piro S., Bonet C., Sala N., González C.A. Aromatic DNA adducts and risk of gastrointestinal cancers: a case-cohort study within the EPIC-Spain. Cancer Epidemiol. Biomarkers Prev., 2012, Vol. 21, no. 4, pp. 685-692.
- Al-Saleh I., Arif J., El-Doush I., Al-Sanea N., Jabbar A.A., Billedo G., Shinwari N., Mashhour A., Mohamed G.. Carcinogen DNA adducts and the risk of colon cancer: case-control study. Biomarkers, 2008, Vol. 13, no. 2, pp. 201-216.
- Androutsopoulos V.P., Tsatsakis A.M., Spandidos D.A. Cytochrome P450 CYP1A1: wider roles in cancer progression and prevention. BMC Cancer, 2009, Vol. 9, 187. doi: 10.1186/1471-2407-9-187.
- Blaszczyk E., Mielżyńska-Švach D. Polycyclic aromatic hydrocarbons and PAH-related DNA adducts. J. Appl. Genet., 2017, Vol. 58, no. 3, pp. 321-330.
- Bochskanl R., Thie M., Kirchner C.J. Active immunization of rabbits against progesterone: increase in hormone levels, and changes in metabolic clearance rates and in genital tract tissues. Steroid Biochem., 1989, Vol. 33, no. 3, pp. 349-355.
- Borska L., Andrys C., Krejsek J., Palicka V., Chmelarova M., Hamakova K., Kremlacek J., Borsky P., Fiala Z. Serum level of antibody against benzo[a]pyrene-7,8-diol-9,10-epoxide-DNA adducts in people dermally exposed to PAHs. J. Immunol. Res., 2014, 834389. doi: 10.1155/2014/834389.
- Bouchardy C., Benhamo S., Schaffar R., Verkooijen H.M., Fioretta G., Schubert H., Vinh-Hung V., Soria J.C., Vlastos G., Rapiti E. Lung cancer mortality risk among breast cancer patients treated with anti-estrogens. Cancer, 2011, Vol. 117, no. 6, pp. 1288-1295.
- Caldwell B.V., Tillson S.A., Esber H., Thorneycroft I.H. Survival of tumors after immunization against oestrogens. Nature, 1971, Vol. 231, no. 5298, pp. 118-119.
- Cavalieri E.L., Rogan E.G. Depurinating estrogen-DNA adducts, generators of cancer initiation: their minimization leads to cancer prevention. Clin. Transl. Med., 2016, Vol. 5, 12. doi: 10.1186/s40169-016-0088-3.
- Cavalieri E.L., Rogan E.G., Zahid M. Critical depurinating DNA adducts: Estrogen adducts in the etiology and prevention of cancer and dopamine adducts in the etiology and prevention of Parkinson’s disease. Int. J. Cancer., 2017, Vol. 141, no. 6, pp. 1078-1090.
- Ceppi M., Munnia A., Cellai F., Bruzzone M., Peluso M.E.M. Linking the generation of DNA adducts to lung cancer. Toxicology, 2017, no. 390, pp. 160-166.
- Černohorská H., Klimešová S., Lepša L., Jinoch P., Milcová A., Schmuczerová J., Topinka J., Lábaj J. Influence of immunization with non-genotoxic PAH-KLH conjugates on the resistance of organisms exposed to benzo[a]pyrene. Mut. Res., 2012, Vol. 742, no.1-2, pp. 2-10.
- Chagnaud J.L., Faiderbe S., Geffard M. Identification and immunochemical characterization of IgA in sera of patients with mammary tumors. Int. J. Cancer, 1992, Vol. 50, no. 3, pp. 395-401.
- Chagnaud J.L., Faiderbe S., Geffard M. Effects of monoclonal anti-idiotypic antibody, internal image of benzo(a)pyrene on sarcoma in rats. C.R Acad. Sci III., 1993, Vol. 316, no. 10, pp. 1266-1269. (In French)
- Charles G.D., Bartles M.J., Zacharewski T.R., Gollapudi B.B., Freshour N.L., Carney E.W. Activity of benzo[a]pyrene and its hydroxylated metabolites in an estrogen receptor-alpha reporter gene assay. Toxicol. Sci., 2000, Vol. 55, no. 2, pp. 320-326.
- Chen Z., Zhang Y., Yang J., Jin M., Wang X.W., Shen Z.Q., Qiu Z., Zhao G., Wang J., Li J.W. Estrogen promotes benzo[a]pyrene-induced lung carcinogenesis through oxidative stress damage and cytochrome c-mediated caspase-3 activation pathway in female mice. Cancer. Lett., 2011, Vol. 308, no. 1, pp. 14-22.
- Counihan K.A., Vertosick F.T., Kelly R.H. Anti-estrogen antibodies in systemic lupus erythematosus: a quantitative evaluation of serum levels. Immunol. Invest., 1991, Vol. 20, no. 3, pp. 317-331.
- Curtis G.L., Ryan W.L., Stenbäck F. Antibody stimulation of benzo[a]pyrene carcinogenesis. Cancer Lett., 1978, Vol. 4, no. 4, pp. 223-228.
- de Buck S.S., Augustijns P., Muller C.P. Specific antibody modulates absorptive transport and metabolic activation of benzo[a]pyrene across Caco-2 monolayers. J. Pharmacol. Experim. Therap., 2005, Vol. 313, no. 2, pp. 640-646.
- de Buck S.S., Muller C.P. Immunopropylactic approaches against chemical carcinogenesis. Vaccine, 2005, Vol. 23, no. 17-18, pp. 2403-2406.
- Fertuck K.C., Matthews J.B., Zacharewski T.R. Hydroxylated benzo[a]pyrene metabolites are responsible for in vitro estrogen receptor-mediated gene expression induced by benzo[a]pyrene, but do not elicit uterotrophic effects in vivo. Toxicol Sci., 2001, Vol. 59, no. 2, pp. 231-240.
- Franks W.R., Creech H.J. Chemoantigens and carcinogenesis: I. Canсer Res., 1939, Vol. 35, no. 2, pp. 203-212.
- Galati R., Crebelli R., Zijno A., Conti L., Falasca G., Verdina A. The effect of humoral immunity against adducted benzo[a]pyrene on DNA damage elicited by acute carcinogen exposure in Swiss mice. In vivo, 2000, Vol. 14, no. 6, pp. 747-751.
- Galati R., Zijno A., Crebelli R., Falasca G., Tomei F., Iecher F., Carta P., Verdina A. Defection of antibodies to benzo[a]pyrene diol epoxide-DNA adducts in sera from individuals exposed to low doses of polycyclic aromatic hydrocarbons. J. Exp. Clin. Cancer Res., 2001, Vol. 20, no. 3, pp. 359-364.
- Glushkov A.N. Immunological disbalance in carcinogenesis. Med. Hypotheses, 2014, Vol. 83, no. 2, pp. 166-171.
- Glushkov A.N., Polenok E.G. Immunomodulation of carcinogens-induced steroids-dependent human diseases. Saudi J. Biol. Sci., 2019, Vol. 26, no. 2, pp. 244-251.
- Glushkov A.N., Polenok E.G., Mun S.A., Gordeeva L.A. Immunization against environmental chemical carcinogens: pro and contra. Med. Hypotheses, 2019, Vol. 131, 109303. doi: 10.1016/j.mehy.2019.109303.
- Glushkov A.N., Polenok E.G., Mun S.A., Gordeeva L.A. Inversion of natural immuno-hormonal interactions under influence of antibodies against environmental chemical carcinogens. Med. Hypotheses, 2020, Vol. 144, 109981. doi: 10.1016/j.mehy.2020.109981.
- Go R.E., Hwang K.A., Choi K.C. Cytochrome P450 1 family and cancers. J. Steroid Biochem. Mol. Biol., 2015, Vol. 147, pp. 24-30.
- Grigoryeva E.S., Kokova D.A., Gratchev A.N., Cherdyntsev E.S., Buldakov M.A., Kzhyshkowska J.G., Cherdyntseva N.V. Smoking-related DNA adducts as potential diagnostic markers of lung cancer: new perspectives. Exp. Oncol., 2015, Vol. 37, no. 1, pp. 5-12.
- Grova N., Prodhomme E.J., Schellenberger M.T., Farinelle S., Muller C.P. Modulation of carcinogen bioavailability by immunisation with benzo[a]pyrene – conjugate vaccines. Vaccine, 2009, Vol. 27, no. 31, pp. 4142-4151.
- Gunter M.J., Divi R.L., Kulldorff M., Vermeulen R., Haverkos K.J., Kuo M.M., Strickland P., Poirier M.C., Rothman N., Sinha R. Leukocyte polycyclic aromatic hydrocarbon-DNA adduct formation and colorectal adenoma. Carcinogenesis, 2007, Vol. 28, no. 7, pp. 1426-1429.
- Harris C.C., Vahakangas K., Newman M.J., Trivers G.E., Shamsuddin A., Sinopoli N., Mann D.L., Wright W.E. Detection of benzo[a]pyrene diol epoxide-DNA adducts in peripheral blood lymphocytes and antibodies to the adducts in serum from coke oven workers. Proc. Natl Acad. Sci. USA, 1985, Vol. 82, no. 19, pp. 6672-6676.
- Haugen A., Becher G., Benestad C., Vahakangas K., Trivers G.E., Newman M.J., Harris C.C. Determination of polycyclic aromatic hydrocarbons in the urine, benzo(a)pyrene diol epoxide-DNA adducts in lymphocyte DNA, and antibodies to the adducts in sera from coke oven workers exposed to measured amounts of polycyclic aromatic hydrocarbons in the work atmosphere. Cancer Res., 1986, Vol. 46, no. 8, pp. 4178-4183.
- Hillier S.G., Groom G.V., Boyns A.R., Cameron E.H. Effects of active immunisation against steroids upon circulating hormone concentrations. J. Steroid Biochem., 1975, Vol. 6, no. 3-4, pp. 529-535.
- Hsu T.M., Zhang Y.J., Santella R.M. Immunoperoxidase quantitation of 4-aminobiphenyl- and polycyclic aromatic hydrocarbon-DNA adducts in exfoliated oral and urothelial cells of smokers and nonsmokers. Cancer Epidemiol. Biomarkers. Prev., 1997, Vol. 6, no. 3, pp. 193-199.
- Jacobson J.S., Begg M.D., Wang L.W., Wang Q., Agarwal M., Norkus E., Singh V.N., Young T.L., Yang D., Santella R.M. Effects of a 6-month vitamin intervention on DNA damage in heavy smokers. Cancer Epidemiol. Biomarkers Prev., 2000, Vol. 9, no. 12, pp. 1303-1311.
- Jeffy B.D., Chirnomas R.B., Romagnolo D.F. Epigenetics of breast cancer: polycyclic aromatic hydrocarbons as risk factors. Environ. Mol. Mutagen., 2002, Vol. 39, no. 2-3, pp. 235-244.
- Jonsson C., Stål P., Sjöqvist U., Akerlund J.E., Löfberg R., Möller L. DNA adducts in normal colonic mucosa from healthy controls and patients with colon polyps and colorectal carcinomas. Mutagenesis, 2010, Vol. 25, no. 5, pp. 499-504.
- Käfferlein H.U., Marczynski B., Mensing T., Brüning T. Albumin and hemoglobin adducts of benzo[a]pyrene in humans – Analytical methods, exposure assessment, and recommendations for future directions. Crit. Rev. Toxicol., 2010, Vol. 40, no. 2, pp. 126-150.
- Kang S.C., Lee B.M. Effect of estrogen receptor (ER) on benzo[a]pyrene-DNA adduct formation in human breast cancer cells. J. Toxicol. Environ. Health A., 2005, Vol. 68, no. 21, pp. 1833-1840.
- Lin S., Lin C.J., Hsieh D.P., Li L.A. ERα phenotype, estrogen level, and benzo[a]pyrene exposure modulate tumor growth and metabolism of lung adenocarcinoma cells. Lung Cancer, 2012, Vol. 75, no. 3, pp. 285-292.
- Martin T.E., Henricks D.M., Hill J.R. Jr, Rawlings N.C. Active immunization of the cow against oestradiol-17beta. J. Reprod. Fertil., 1978, Vol. 53, no. 1, pp. 173-178.
- Maselli A., Capoccia S., Pugliese P., Raggi C., Cirulli F., Fabi A., Malorni W., Pierdominici M., Ortona E. Autoantibodies specific to estrogen receptor alpha act as estrogen agonists and their level correlate with breast cancer cell proliferation. Oncoimmunology, 2016, Vol. 5, no. 2, e1074375-2. doi: 10.1146/annurev-cancerbio-050216-122002.
- McCreery M.Q., Balmain A. Chemical carcinogenesis models of cancer: back to the future. Annu. Rev. Cancer. Biol., 2017, Vol. 1, pp. 295-312.
- Mohammed H., Russell I.A., Stark R., Rueda O.M., Hickey T.E., Tarulli G.A., Serandour A.A., Birrell S.N., Bruna A., Saadi A., Menon S., Hadfield J., Pugh M., Raj G.V., Brown G.D., D’Santos C., Robinson J.L., Silva G., Launchbury R., Perou C.M., Stingl J., Caldas C., Tilley W.D., Carroll J.S. Progesterone receptor modulates ERα action in breast cancer. Nature, 2015, Vol. 523, no. 7560, pp. 313-317.
- Moolten F.L., Capparel N., Boger E. Reduction of respiratory tract binding of benzo(a)pyrene in mice by immunization. J. Natl Cancer Inst., 1978, Vol. 61, no. 5, pp. 1347-1349.
- Moolten F.L., Schreiber B., Rizzone A., Weiss A.J., Boger E. Protection of mice against 7,12-dimethylbenz(a)anthracene – induced skin tumors by immunization with a fluorinated analog of the carcinogen. Cancer Res., 1981, Vol. 41, no. 2, pp. 425-429.
- Newman M.J., Light B.A., Weston A., Tollurud D., Clark J.L., Mann D.L., Blackmon J.P., Harris C.C. Detection and characterization of human serum antibodies to polycyclic aromatic hydrocarbon diol-epoxide DNA adducts. J. Clin. Invest., 1988, Vol. 82, no. 1, pp. 145-153.
- Nock N.L., Tang D., Rundle A., Neslund-Dudas C., Savera A.T., Bock C.H., Monaghan K.G., Koprowski A., Mitrache N., Yang J.J., Rybicki B.A. Associations between smoking, polymorphisms in polycyclic aromatic hydrocarbon (PAH) metabolism and conjugation genes and PAH-DNA adducts in prostate tumors differ by race. Cancer Epidemiol. Biomarkers Prev., 2007, Vol. 16, no. 6, pp. 1236-1245.
- Ortona E., Pierdominici M., Berstein L. Autoantibodies to estrogen receptors and their involvement in autoimmune diseases and cancer. J. Steroid Biochem. Mol. Biol., 2014, 144, Pt B, pp. 260-267.
- Pauk N., Klimesova S., Kara J., Topinka J., Labaj J. The relevance of monitoring of antibodies against polycyclic aromatic hydrocarbon (PAH) and PAH-DNA adducts in serum in relation to lung cancer and chronic obstructive pulmonary disease (COPD). Neoplasma, 2013, Vol. 60, no. 2, pp. 182-187.
- Peck R.M., Peck E.B. Inhibition of chemically induced neoplasia by immunization with an antigenic carcinogen- protein conjugate. Cancer Res., 1971, Vol. 31, pp. 1550-1554.
- Peluso M., Munnia A., Hoek G., Krzyzanowski M., Veglia F., Airoldi L., Autrup H., Dunning A., Garte S., Hainaut P., Malaveille C., Gormally E., Matullo G., Overvad K., Raaschou-Nielsen O., Clavel-Chapelon F., Linseisen J., Boeing H., Trichopoulou A., Trichopoulos D., Kaladidi A., Palli D., Krogh V., Tumino R., Panico S., Bueno-De-Mesquita H.B., Peeters P.H., Kumle M., Gonzalez C.A., Martinez C., Dorronsoro M., Barricarte A., Navarro C., Quiros J.R., Berglund G., Janzon L., Jarvholm B., Day N.E., Key T.J., Saracci R., Kaaks R., Riboli E., Vineis P. DNA adducts and lung cancer risk: a prospective study. Cancer Res., 2005, Vol. 65, no. 17, pp. 8042-8048.
- Petruzzelli S., Celi A., Pulerà N., Baliva F., Viegi, G., Carrozzi L., Ciacchini G., Bottai M., Di Pede F., Paoletti P., Giuntini C. Serum antibodies to benzo[a]pyrene diol epoxide-DNA adducts in the general population: effects of air pollution, tobacco smoking, and family history of lung diseases. Cancer Res., 1998, Vol. 58, no. 18, pp. 4122-4126.
- Pfohl-Leszkowicz A., Grosse Y., Carrière V., Cugnenc P.H., Berger A., Carnot F., Beaune P., de Waziers I. High levels of DNA adducts in human colon are associated with colorectal cancer. Cancer Res., 1995, Vol. 55, no. 23, pp. 5611-5616.
- Phillips D.H. Smoking-related DNA and protein adducts in human tissues. Carcinogenesis, 2002, Vol. 23, no. 12, pp. 1979-2004.
- Pulerà N., Retruzzelli S., Celi A., Puntoni R., Fornai E., Säwe U., Paoletti P., Giuntini C. Presence and persistence of serum anti-benzo[a]pyrene diolepoxide-DNA adduct antibodies in smokers: effects of smoking reduction and cessation. Int. J. Cancer, 1997, Vol. 70, no. 2, pp. 145-149.
- Rasmussen M.V., Silbart L.K. Peroral administration of specific antibody enhances carcinogen excretion. J. Immunother., 1998, Vol. 21, no. 6, pp. 418-426.
- Rawlings N.C., Kennedy S.W., Henricks D.M. The active immunization of the cyclic ewe against an estrone protein conjugate. Theriogenology, 1979, Vol. 12, no. 3, pp. 139-151.
- Ronco A.L., de Stefani E., Correa P., Deneo-Pellegrini H., Boffetta P., Acosta G., Mendilaharsu M. Dietary benzo[a]pyrene, alcohol drinking, and risk of breast cancer: a case-control study in Uruguay. Asian Pac. J. Cancer Prev., 2011, Vol. 12, no. 6, pp. 1463-1467.
- Rosenberg M., Amir D., Folman Y. The effect of active immunization against progesterone on plasma concentrations of total and free progesterone, estradiol-17beta and LH in the cyclic ewe. Theriogenology, 1987, Vol. 28, no. 4, pp. 417-426.
- Rundle A., Richards C., Neslund-Dudas C., Tang D., Rybicki B.A. Neighborhood socioeconomic status modifies the association between individual smoking status and PAH-DNA adduct levels in prostate tissue. Environ Mol. Mutagen., 2012, Vol. 53, no. 5, pp. 384-391.
- Rybicki B.A., Neslund-Dudas C., Bock C.H., Rundle A., Savera A.T., Yang J.J., Nock N.L., Tang D. Polycyclic aromatic hydrocarbon – DNA adducts in prostate and biochemical recurrence after prostatectomy. Clin. Cancer Res., 2008, Vol. 14, no. 3, pp. 750-757.
- Sadikovic B., Rodenhiser D.I. Benzopyrene exposure disrupts DNA methylation and growth dynamics in breast cancer cells. Toxicol. Appl. Pharmacol., 2006, Vol. 216, no. 3, pp. 458-468.
- Sagiv S.K., Gaudet M.M., Eng S.M., Abrahamson P.E., Shantakumar S., Teitelbaum S.L., Bell P., Thomas J.A., Neugut A.I., Santella R.M., Gammon M.D. Polycyclic aromatic hydrocarbon-DNA adducts and survival among women with breast cancer. Environ. Res., 2009, Vol. 109, no. 3, pp. 287-291.
- Santella R.M., Gammon M.D., Zhang Y.J., Motykiewicz G., Young T.L., Hayes S.C., Terry M.B., Schoenberg J.B., Brinton L.A., Bose S., Teitelbaum S.L., Hibshoosh H. Immunohistochemical analysis of polycyclic aromatic hydrocarbon-DNA adducts in breast tumor tissue. Cancer Lett., 2000, Vol. 154, no. 2, pp. 143-149.
- Santella R.M., Perera F.P., Young T.L., Zhang Y.J., Chiamprasert S., Tang D., Wang L.W., Beachman A., Lin J.H., DeLeo V.A. Polycyclic aromatic hydrocarbon-DNA and protein adducts in coal tar patients and controls and their relationship to glutathione S-transferase genotype. Mutat. Res., 1995. Vol. 334, no. 2, pp. 117-124.
- Schellenberger M.T., Farinelle S., Willième S., Muller C.P. Evaluation of adjuvants for a candidate conjugate vaccine against benzo[a]pyrene. Hum. Vaccin., 2011, Vol. 7, no. 1, pp. 166-173.
- Sestak I. Preventative therapies for healthy women at high risk of breast cancer. Cancer Manag. Res., 2014, Vol. 6, pp. 423-430.
- Siegel R.L., Miller K.D., Jemal A. Cancer Statistics, 2020. C. A. Cancer J. Clin., 2020, Vol. 70, no. 1, pp. 7-30.
- Silbart L.K., Keren D.F. Reduction of intestinal carcinogen absorption by carcinogen-specific immunity. Science, 1989, Vol. 243, no. 4897, pp. 1462-1464.
- Silbart L.K., McAller F., Rasmussen M.V., Goslinoski L., Keren D.F., Finley A., Van Kruiningen H.J., Winchell J.M. Selective induction of mucosal immune responses to 2-acetylaminofluorene. Anticancer Res., 1996, Vol. 16, no. 2, pp. 651-660.
- Silbart L.K., Rasmussen H.V., Oliver A.R. Immunoprophylactic intervention in chemical toxicity and carcinogenicity. Vet. Hum. Toxicol., 1997, Vol. 39, no. 1, pp. 37-43.
- Tang D., Kryvenko O.N., Wang Y., Jankowski M., Trudeau S., Rundle A., Rybicki B.A. Elevated polycyclic aromatic hydrocarbon-DNA adducts in benign prostate and risk of prostate cancer in African Americans. Carcinogenesis, 2013, Vol. 34, no. 1, pp. 113-120.
- Vogel V.G. Role of hormones in cancer prevention. ASCO Educational Book, 2014, Vol. 34, pp. 34-40.
- Weston A., Rowe M., Poirier M., Trivers G., Vahakangas K., Newman M., Haugen A., Manchester D., Mann D., Harris C. The application of immunoassays and fluorometry to the detection of polycyclic hydrocarbon-macromolecular adducts and anti-adduct antibodies in humans. Int. Arch. Occup. Environ. Health, 1988, Vol. 60, no. 3, pp. 157-62.
- Wiencke J.K., Kelsey K.T., Varkonyi A., Semey K., Wain J.C., Mark E., Christiani D.C. Correlation of DNA adducts in blood mononuclear cells with tobacco carcinogen-induced damage in human lung. Cancer Res., 1995, Vol. 55, no. 21, pp. 4910-4914.
- Yager J.D. Mechanisms of estrogen carcinogenesis: The role of E2/E1 – quinone metabolites suggests new approaches to preventive intervention – A review. Steroids, 2015, Vol. 99b (Pt A), pp. 56-60.
- Zhang Y.J., Weksler B.B., Wang L., Schwartz J., Santella R.M. Immunohistochemical detection of polycyclic aromatic hydrocarbon-DNA damage in human blood vessels of smokers and non-smokers. Atherosclerosis, 1998, Vol. 140, no. 2, pp. 325-331.
Дополнительные файлы







