Иммунный ответ на ДНК- и мРНК-вакцины, кодирующие искусственные иммуногены вируса гриппа
- Авторы: Старостина Е.В.1, Шарабрин С.В.1, Рудометов А.П.1, Литвинова В.Р.1, Боргоякова М.Б.1, Бажан С.И.1, Ильичев А.А.1, Карпенко Л.И.1
-
Учреждения:
- ФБУН Государственный научный центр вирусологии и биотехнологии «Вектор» Роспотребнадзора
- Выпуск: Том 25, № 3 (2022)
- Страницы: 321-326
- Раздел: КРАТКИЕ СООБЩЕНИЯ
- Дата подачи: 06.05.2022
- Дата принятия к публикации: 28.05.2022
- Дата публикации: 20.09.2022
- URL: https://rusimmun.ru/jour/article/view/1103
- DOI: https://doi.org/10.46235/1028-7221-1103-IRA
- ID: 1103
Цитировать
Полный текст
Аннотация
Постоянный антигенный дрейф циркулирующих вирусов гриппа приводит к тому, что сезонные вакцины против гриппа становятся неэффективными и возникает необходимость ежегодного перевыпуска таких вакцин. В связи с этим разработка универсальной гриппозной вакцины приобретает особую актуальность. Перспективным направлением исследований в данной области является создание иммуногенов, состоящих из консервативных фрагментов белков различных штаммов вируса гриппа.
Целью данной работы была оценка иммуногенности ДНК-вакцин и мРНК-вакцин, кодирующих искусственные антигены, состоящие из консервативных фрагментов ствола гемагглютинина и консервативного белка М2. Ранее нами были получены ДНК-вакцинные конструкции, кодирующие искусственные иммуногены AgH1, AgH3 и AgM2, которые содержат консервативные фрагменты стебля гемагглютинина двух подтипов гриппа A – H1N1 и H3N2 и консервативный белок M2. Эти ДНК-вакцины послужили матрицей для синтеза мРНК-вакцин.
Для оценки иммуногенности полученных ДНК- и мРНК-вакцин проводили иммунизацию мышей линии BALB/c путем внутримышечного введения соответствующих препаратов. Оценку гуморального иммунного ответа проводили с помощью ИФА, с использованием в качестве антигенов вирусы гриппа A/Aichi/2/68(H3N2), A/California/07/2009 и вакцину УЛЬТРИКС, содержащую очищенные белки вируса гриппа H1N1 и H3N2. Оценку Т-клеточного иммунного ответа проводили с использованием двух методов: метод внутриклеточного окрашивания цитокинов (ICS) и ELISpot. ICS проводили по определению CD8+ и CD4+Т-лимфоцитов, продуцирующих IFNγ. ELISpot проводили с использованием набора mouse IFNγ ELISpot BD. Для стимуляции клеток использовали смесь пептидов, входящих в состав целевых антигенов. Полученные результаты показали, что спроектированные ДНК-вакцинные конструкции вызывали у иммунизированных животных вирус-специфический гуморальный и клеточный ответы. Внутримышечное введение животным голых мРНК-вакцинных конструкций индуцировало слабый гуморальный иммунный ответ, что свидетельствует о необходимости проведения дальнейших работ по улучшению способов доставки.
Полный текст
Введение
Основным методом защиты населения от гриппа является вакцинация, поэтому разработка вакцин против гриппа имеет большое значение. На сегодняшний день для защиты населения от вируса гриппа используют аттенуированные (живые) или инактивированные вакцины, одобренные ВОЗ на основе генетического анализа циркулирующих сезонных штаммов вирусов гриппа А и В. Однако из-за высокой изменчивости вируса гриппа такие вакцины не эффективны против дрейфующих сезонных и пандемических вирусов, в результате чего состав гриппозных вакцин необходимо менять каждый год, а процесс производства вакцины против гриппа отнимает много времени. Поэтому многие научные коллективы и фармацевтические компании проводят исследования по разработке универсальных вакцин против вируса гриппа. Существуют разные подходы, направленные на разработку универсальной вакцины от гриппа. К ним относится, например, создание рекомбинантных белков-иммуногенов, использование консервативных фрагментов белков вируса гриппа (стебель гемагглютинина, белки NP, PB1, М1 и M2) или разработка новых типов вакцин на основе мРНК [2, 3, 4, 5, 7, 8, 9].
Ранее в нашем институте был проведен теоретический дизайн универсальной противогриппозной вакцины, основанный на разработке искусственных антигенов, состоящих из консервативных фрагментов ствола гемагглютинина и консервативного белка М2 [1]. На основе эукариотических плазмидных векторов были получены ДНК-вакцины, кодирующие гены соответствующих иммуногенов [1].
Помимо ДНК-вакцин, в последние 3-4 года активно развивается другой вид вакцин на основе нуклеиновых кислот, основанных на мРНК [3, 4, 10]. Данный тип вакцин обладает существенным преимуществом перед другими типами вакцин, в том числе и ДНК-вакцинами. Они неинфекционны, способны активировать как клеточный, так и гуморальный иммунные ответы, быстры в производстве [6]. В отличие от ДНК-вакцин, в случае РНК-вакцин отсутствует потенциальная возможность интеграции в геном клетки. Благодаря возможности легко проводить замену целевого гена в мРНК-вакцине, не изменяя технологию производства, появляется возможность быстро реагировать на появление новых пандемических инфекционных возбудителей, что особенно актуально для вируса гриппа.
Целью данной работы была оценка иммуногенности ДНК-вакцин и мРНК-вакцин, кодирующих искусственные антигены, состоящие из консервативных фрагментов ствола гемагглютинина и консервативного белка М2.
Материалы и методы
Дизайн полиэпитопных антигенов и получение ДНК-вакцин p-AgH1, p-AgH3, и p-AgM2, кодирующих антигены AgH1, AgH3 и AgM2, сконструированные на основе консервативных фрагментов стебля гемагглютинина двух подтипов вируса гриппа A, H1N1 и H3N2, а также консервативного вирусного белка M2, представлено в работе [1]. Перечисленные выше плазмиды были использованы в качестве матрицы для синтеза мРНК-вакцинных конструкций. Синтез РНК, полиаденилирование и кэпирование проводили с помощью набора T7 mScript™ Standard mRNA Production System (CellScript, США) как рекомендовано производителем. Для повышения эффективности трансляции мРНК, уридин был заменен на псевдоуридин. Очистку мРНК проводили на колонках Monarch® Total RNA Miniprep Kit (New England Biolabs, США).
Для оценки иммуногенности полученных ДНК- и РНК-вакцин проводили иммунизацию мышей инбредной линии BALB/c, препараты вакцин вводили внутримышечно, трехкратно с интервалом две недели. Животным вводили суммарный препарат плазмид p-AgH1, p-AgH3 и p-AgM2 в дозе 100 мкг каждой ДНК-вакцинной конструкции, либо суммарный препарат мРНК-вакцин, кодирующих AgH1, AgH3 и p-AgM2 в дозе 20 мкг каждой мРНК-вакцинной конструкции. На 41-й день проводили забор селезенок у мышей для выделения спленоцитов и кровь для получения сыворотки.
Для оценки Т-клеточного иммунного ответа использовали два метода: метод внутриклеточного окрашивания цитокинов (ICS) и ELISpot. ICS проводили по определению CD8+ и CD4+Т-лимфоцитов, продуцирующих IFNγ, с использованием антител PerCP RatAnti-Mouse CD4, FITC RatAnti-Mouse CD8a, PE Hamster Anti-Mouse CD3ε, APC Rat Anti-Mouse IFNγ, (BD, США) методом проточной цитофлуориметрии, на приборе FACSCalibur (BD, США). ELISpot проводили с использованием набора mouse IFNγ ELISpot фирмы BD (США), согласно инструкции производителя. Для стимуляции клеток использовали смесь пептидов (20 мкг/мл каждого пептида), входящих в состав целевых антигенов. Подсчет количества IFNã продуцирующих клеток осуществляли с помощью ELISpot-анализатора фирмы Carl Zeiss (Германия). У животных, иммунизированных мРНК-вакцинами, исследовали гуморальный ответ с помощью ИФА. В качестве антигенов для ИФА использовали вакцинный препарат УЛЬТРИКС (ООО «ФОРТ», Россия), содержащий очищенные антигены вируса гриппа H1N1 и H3N2.
Статистический анализ данных выполнен с помощью программного обеспечения GraphPad Prism 9.0 (GraphPad Software, Inc., Сан-Диего, Калифорния, США). Результаты выражены как медиана с диапазоном. Данные были проанализированы с помощью непараметрических тестов (однофакторный дисперсионный анализ Краскела–Уоллиса).
Результаты и обсуждение
Для получения более высокого и эффективного иммунного ответа было решено провести иммунизацию животных смесью ДНК-вакцинных конструкций p-AgH1, p-AgH3 и p-AgM2. Через 14 дней после третьей иммунизации проводили выделение селезенки и оценку клеточного ответа методами ELISpot и ISC, а анализ сыворотки проводили с помощью ИФА.
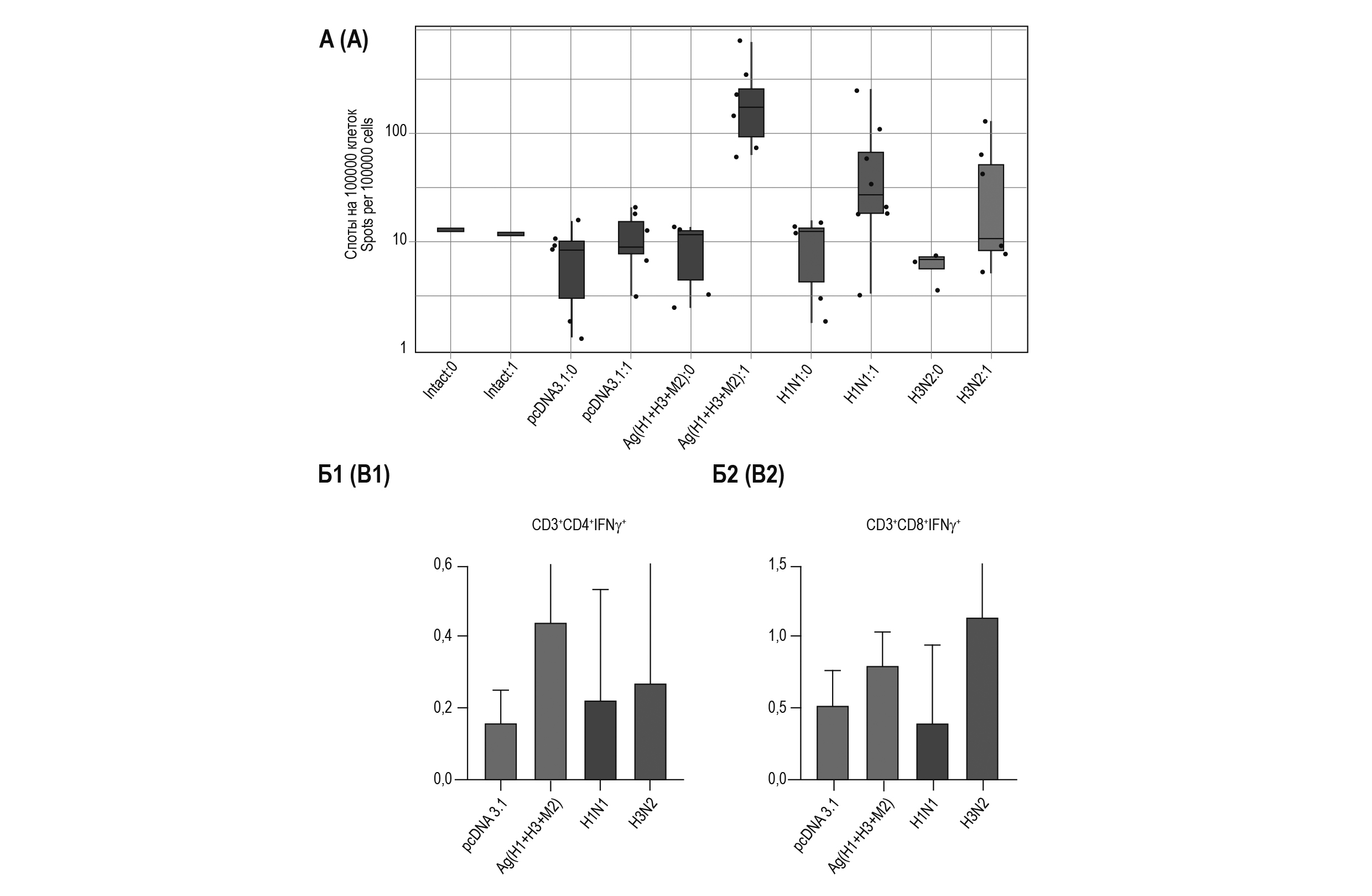
Данные, полученные с помощью метода IFNγ ELISpot, показали, что в группе животных, иммунизированных комбинацией ДНК-вакцинных конструкций, наблюдался статистически значимый ответ Т-лимфоцитов (рис. 1А).
Анализ Т-клеточного ответа с помощью метода ICS показал, что наибольшее количество CD3+/CD8+ и CD3+/CD4+ клеток, экспрессирующих внутриклеточный IFNγ после стимуляции вирусными пептидами, было обнаружено в группах животных, иммунизированных комбинацией ДНК-плазмид и вакцинным штаммом вируса гриппа A/Aichi/2/68(H3N2), по сравнению с животными, иммунизированными векторной плазмидой (рис. 1Б).
Рисунок 1. Оценка клеточного ответа у мышей, иммунизированных ДНК-вакцинными конструкциями, кодирующими антигены AgН1, AgН3 и М2
Примечание. A – данные IFNγ-ELISpot (количество спотов на 106 спленоцитов). «0» в названии группы соответствует спонтанной секреции IFNγ, «1» соответствует секреции IFNγ, стимулированной антигенными пептидами. Подсчет клеток представлен в логарифмической шкале. Б – данные IСS, полученные с помощью проточной цитометрии. Количество СD4 (Б1) или CD8 (Б2) лимфоцитов, продуцирующих IFNγ в ответ на стимуляцию вирус-специфическими пептидами.
Figure 1. Evaluation of cellular response in mice immunized with DNA vaccine constructs encoding AgH1, AgH3 and M2 antigens
Note. (A) IFNγ-ELISpot data (number of spots per 106 splenocytes). “0” in the name of a group corresponds to a spontaneous IFN-secretion, and “1” corresponds to IFN-secretion stimulated with antigenic peptides. Cell counts are presented on a log scale. (B) IСS data obtained by flow cytometry. Number of CD4 (B1) or CD8 (B2) lymphocytes producing IFNγ in response to stimulation with virus-specific peptides.
Гуморальный иммунный ответ исследован методом ИФА с использованием в качестве антигенов вируса гриппа A/ Aichi/2/68(H3N2) и A/California/07/2009 в концентрации 1 мкг/ мл. Результаты исследований B-клеточного ответа, показали, что иммунизация смесью ДНК-вакцинных конструкций, кодирующих целевые антигены, индуцировала антитела как к A/Aichi/2/68(H3N2), так и к A/ California/ 07/2009(H1N1pdm09) штаммам вируса гриппа. Антитела, распознающие A/Aichi/2/68 и A/California/07/09(H1N1pdm09), были обнаружены у всех восьми мышей, иммунизированных комбинацией ДНК-плазмид (p-AgH1 + p-AgH3 + p-AgM2) (табл. 1).
ТАБЛИЦА 1. ОЦЕНКА ГУМОРАЛЬНОГО ОТВЕТА У МЫШЕЙ, ИММУНИЗИРОВАННЫХ ДНК-ВАКЦИННЫМИ КОНСТРУКЦИЯМИ, КОДИРУЮЩИМИ АНТИГЕНЫ AgН1, AgН3 И М2
TABLE 1. EVALUATION OF HUMORAL RESPONSE IN MICE IMMUNIZED WITH DNA VACCINE CONSTRUCTS ENCODING AgH1, AgH3, AND M2 ANTIGENS
Антиген Antigen / Количество мышей Number of mice / Обратный титр антител в ИФА против A/California/07/09(H1N1 pdm09) Reverse antibody titer against A/California/07/09(H1N1 pdm09) | ||||||||||||
Ag (H1 + H3 + M2) | H1N1 | H3N2 | pcDNA3.1 | |||||||||
1 | 2 | 3 | 4 | 5 | 6 | 7 | 8 | 1 | 1 | 1 | 2 | 3 |
1600 | 1600 | 1600 | 1600 | 3200 | 3200 | 3200 | 3200 | 12800 | 3200 | 200 | 200 | 200 |
Антиген Antigen / Количество мышей Number of mice / Обратный титр антител в ИФА против A/Aichi/02/68(H3N2) Reverse antibody titer against A/Aichi/02/68(H3N2) | ||||||||||||
Ag (H1 + H3 + M2) | H1N1 | H3N2 | pcDNA3.1 | |||||||||
1 | 2 | 3 | 4 | 5 | 6 | 7 | 8 | 1 | 1 | 1 | 2 | 3 |
1600 | 3200 | 1600 | 3200 | 6400 | 6400 | 3200 | 6400 | 6400 | 12800 | 200 | 400 | 400 |
Примечание. Ag (H1 + H3 + M2) – сыворотки мышей, иммунизированных смесью ДНК-плазмид p-AgH1 + p-AgH3 + p-AgM2; H1N1 – сыворотки мышей, иммунизированных вирусом A/California/07/2009(H1N1pdm09) (положительный контроль); H3N2 – сыворотки мышей, иммунизированных вирусом A/Aichi/2/68(H3N2); pcDNA3.1 – сыворотки мышей, иммунизированных векторной плазмидой (отрицательный контроль).
Note. Ag (H1 + H3 + M2), sera of mice immunized with a mixture of p-AgH1 + p-AgH3 + p-AgM2 DNA plasmids; H1N1, sera of mice immunized with A/California/07/2009(H1N1pdm09) virus (positive control); H3N2, sera of mice immunized with A/Aichi/2/68(H3N2) virus; pcDNA3.1, sera of mice immunized with the vector plasmid (negative control).
Следующим этапом нашей работы был перевод вакцины из формата ДНК в формат мРНК-вакцины. Нами были синтезированы мРНК-AgH1, мРНК-AgH3, и мРНК-AgM2, в качестве матрицы использовали соответствующие ДНК-вакцины, которые показали свою эффективность. В данном эксперименте иммунизация животных была проведена с использованием только голых мРНК-вакцин. Мы не использовали средств доставки мРНК, в целях сравнить иммуногенность голой ДНК и мРНК вакцины.
Гуморальный ответ мышей, иммунизированных смесью мРНК-вакцин, показал, что через две недели после второй иммунизации наблюдалось увеличение титра специфических антител (1:300). Выявленный титр был невысок, и поэтому мы посчитали нецелесообразным проводить более трудоемкую оценку Т-клеточного иммунитета. Дальнейшая работа будет направлена на повышение иммуногенности мРНК-вакцин, включая выбор способа доставки.
Заключение
В целом, полученные результаты показали, что спроектированные ДНК-вакцинные конструкции, кодирующие искусственные антигены, спроектированные с использованием консервативных фрагментов ствола гемагглютинина вирусов гриппа H1N1 и H3N2 и белка M2, при иммунизации мышей линии BALB/c индуцируют вирус-специфический В- и Т-клеточный ответ, включая активацию цитотоксических и Т-хелперных лимфоцитов. Соответствующие мРНК-вакцины, кодирующие искусственные антигены, вызывают у иммунизированных мышей специфический гуморальный ответ против вируса гриппа, но достаточно слабый. Иммуногенность мРНК-вакцин при введении животным в виде «голой» молекулы мРНК, оказалась невысокой, несмотря на то, что при синтезе мРНК были использованы модифицированные нуклеотиды. Скорее всего, слабая иммуногенность была связана с деградацией мРНК-вакцин РНКазами и низкой эффективностью доставки в антигенпрезентирующие клетки (АПК).
Мы предполагаем, что иммуногенность мРНК будет выше при использовании подходящего способа доставки, защищающего молекулы от деградации и эффективно доставляющие их в АПК. Выбор способа доставки мРНК-вакцин будет дальнейшим шагом в наших исследованиях.
Об авторах
Е. В. Старостина
ФБУН Государственный научный центр вирусологии и биотехнологии «Вектор» Роспотребнадзора
Автор, ответственный за переписку.
Email: starostina_ev@vector.nsc.ru
к.б.н., научный сотрудник отдела биоинженерии
Россия, Кольцово, Новосибирская обл.С. В. Шарабрин
ФБУН Государственный научный центр вирусологии и биотехнологии «Вектор» Роспотребнадзора
Email: starostina_ev@vector.nsc.ru
младший научный сотрудник отдела биоинженерии
Россия, Кольцово, Новосибирская обл.А. П. Рудометов
ФБУН Государственный научный центр вирусологии и биотехнологии «Вектор» Роспотребнадзора
Email: starostina_ev@vector.nsc.ru
к.б.н., старший научный сотрудник отдела биоинженерии
Россия, Кольцово, Новосибирская обл.В. Р. Литвинова
ФБУН Государственный научный центр вирусологии и биотехнологии «Вектор» Роспотребнадзора
Email: starostina_ev@vector.nsc.ru
стажер-исследователь, отдел биоинженерии
Россия, Кольцово, Новосибирская обл.М. Б. Боргоякова
ФБУН Государственный научный центр вирусологии и биотехнологии «Вектор» Роспотребнадзора
Email: starostina_ev@vector.nsc.ru
младший научный сотрудник отдела биоинженерии
Россия, Кольцово, Новосибирская обл.С. И. Бажан
ФБУН Государственный научный центр вирусологии и биотехнологии «Вектор» Роспотребнадзора
Email: starostina_ev@vector.nsc.ru
д.б.н., заведующий теоретическим отделом, отдел биоинженерии
Россия, Кольцово, Новосибирская обл.А. А. Ильичев
ФБУН Государственный научный центр вирусологии и биотехнологии «Вектор» Роспотребнадзора
Email: starostina_ev@vector.nsc.ru
д.б.н., профессор, заведующий отделом биоинженерии
Россия, Кольцово, Новосибирская обл.Л. И. Карпенко
ФБУН Государственный научный центр вирусологии и биотехнологии «Вектор» Роспотребнадзора
Email: starostina_ev@vector.nsc.ru
д.б.н., доцент, ведущий научный сотрудник отдела биоинженерии
Россия, Кольцово, Новосибирская обл.Список литературы
- Bazhan S.I., Antonets D.V., Starostina E.V., Ilyicheva T.N., Kaplina O.N., Marchenko V.Y., Durymanov A.G., Oreshkova S.F., Karpenko L.I. Immunogenicity and protective efficacy of influenza a DNA vaccines encoding artificial antigens based on conservative hemagglutinin stem region and M2 protein in mice. Vaccines (Basel), 2020, Vol. 9, no. 8 (3), pp. 448-465.
- Bazhan S.I., Antonets D.V., Starostina E.V., Ilyicheva T.N., Kaplina O.N., Marchenko V.Y., Volkova O.Y., Bakulina A.Y., Karpenko L.I. In silico design of influenza a virus artificial epitope-based T-cell antigens and the evaluation of their immunogenicity in mice. J. Biomol. Struct. Dyn., 2022, Vol. 40, no. 7, pp. 3196-3212.
- Ilyichev A.A., Orlova L.A., Sharabrin S.V., Karpenko L.I. mRNA technology as one of the promising platforms for the SARS-CoV-2 vaccine development. Vavilov Journal of Genetics and Breeding, 2020, Vol. 24, no. 7, pp. 802-807.
- Karpenko L.I., Rudometov A.P., Sharabrin S.V., Shcherbakov D.N., Borgoyakova M.B., Bazhan S.I., Volosnikova E.A., Rudometova N.B., Orlova L.A., Pyshnaya I.A., Zaitsev B.N., Volkova N.V., Azaev, M.S., Zaykovskaya A.V., Pyankov O.V., Ilyichev A.A. Delivery of mRNA vaccine against SARS-CoV-2 using a polyglucin:spermidine conjugate. Vaccines, 2021, Vol. 9, no. 2, 76. doi: 10.3390/vaccines9020076.
- Kumar A., Meldgaard T.S., Bertholet S. Novel platforms for the development of a universal influenza vaccine. Front. Immunol., 2018, Vol. 9, 600. doi: 10.3389/fimmu.2018.00600.
- Liu M.A. A comparison of plasmid DNA and mRNA as vaccine technologies. Vaccines, 2019, Vol. 7, no. 2, 37. doi: 10.3390/vaccines702 0037.
- Tsilibary E.P., Charonis S.A., Georgopoulos A.P. Vaccines for Influenza. Vaccines (Basel), 2021, Vol. 9, no. 1, 47. doi: 10.3390/vaccines9010047.
- Wang W.L., Li R.Q., Deng Y., Lu N., Chen H., Meng X., Wang W., Wang X.P., Yan K.X., Qi X.R., Zhang X., Xin W., Lu Z., Li X., Bian T., Gao Y., Tan W., Ruan L. Protective efficacy of the conserved NP, PB1, and M1 proteins as immunogens in DNA- and vaccinia virus-based universal influenza A virus vaccines in mice. Clin. Vaccine Immunol., 2015, Vol. 22, pp. 618-630.
- Wei C.J., Crank M.C., Shiver J., Graham B.S., Mascola J.R., Nabel G.J. Next-generation influenza vaccines: opportunities and challenges. Nat. Rev. Drug. Discov., 2020, Vol. 19, pp. 239-252.
- Wei C.J., Crank M.C., Shiver J. Next-generation influenza vaccines: opportunities and challenges. Nat. Rev. Drug. Discov., 2020, Vol. 19, no. 4, pp. 239-252.
- Zhang C., Maruggi G., Shan H., Li J. Advances in mRNA vaccines for infectious diseases. Front. Immunol., 2019, Vol. 10, 594. doi: 10.3389/fimmu.2019.00594.
Дополнительные файлы




