Role of cytokines, neuropeptids and matrix metalloproteinases in the immunopathogenesis of retinal neurodegeneration in diabetic retinopathy
- Authors: Ruchkin M.P.1,2, Markelova E.V.1, Fedyashev G.A.1,2, Yuschyuk V.N.1
-
Affiliations:
- Pacific State Medical University
- Primorsky Eye Microsurgery Center
- Issue: Vol 25, No 4 (2022)
- Pages: 515-520
- Section: SHORT COMMUNICATIONS
- Submitted: 21.06.2022
- Accepted: 28.07.2022
- Published: 07.10.2022
- URL: https://rusimmun.ru/jour/article/view/1157
- DOI: https://doi.org/10.46235/1028-7221-1157-ROC
- ID: 1157
Cite item
Full Text
Abstract
Currently, diabetic retinopathy (DR) is considered both a vascular lesion, as well as a neurodegenerative disease. The normal functioning of the glia and retinal neurons depends on the balance between the cytokine system, neurotrophic factors and matrix metalloproteinases. The disorders that occur in these systems are assigned an important role in many neurodegenerative processes. The purpose of the present study was to determine the levels of IL-1β, IL-17A, TNFα, IFNγ, IL-10, TGF-β1, TGF-β2, TGF-β3, MMP- 2, MMP-7, MMP-9, TIMP-1, TIMP-2, S100b protein, BDNF and NGF in the serum of patients with type 2 diabetes mellitus with signs of retinal neurodegeneration, and to identify additional immunological markers for diagnosis and prediction of their clinical course. The study included 80 patients with endocrinogically verified diagnosis of type 2 diabetes. All subjects were examined at an optical coherent tomograph RTVue-100 (USA), and the volume of focal loss of retinal ganglion cells (FLV) was determined. According to its results, the patients of the main group were divided into 2 subgroups. The first group included 22 persons in whom the FLV indexes did not show significant differences from the controls. The second group included 58 patients with a significantly larger FLV volume. In the subgroup of patients with high level of focal GCS loss, a significant increase in the level of IL-1β and IL-10 deficiency was revealed in comparison with the controls, and the subgroup without significant losses of GCS over the entire observation period. TGF-β3 deficiency was found in patients of subgroup 2 versus controls and subgroup 1. An imbalance in the tissue proteolysis system was revealed, MMP-9 and TIMP-2 levels were elevated, and MMP-7 levels were decreased in both subgroups compared to controls. When analyzing serum contents of neurospecific proteins in the group of patients with OCT signs of retinal neurodegeneration, high levels of the S100b protein and NGF were revealed, in contrast to the control group and subgroup 1.
Full Text
Введение
Постоянный рост заболеваемости сахарным диабетом (СД) во всем мире определяет необходимость изучения механизмов развития как самого сахарного диабета, так и его осложнений [6]. Сетчатая оболочка глазного яблока является одной из мишеней СД и ее поражение может приводить к тяжелой утрате зрительных функций. В настоящее время диабетическая ретинопатия (ДР) рассматривается не только со стороны сосудистых поражений, но и как нейродегенративное заболевание. Нормальное функционирование глии и нейронов сетчатки зависит от баланса между системой цитокинов, нейротрофическими факторами и матриксными металлопротеиназами. Нарушениям, возникающим в данных системах, отводят важную роль во многих нейродегенеративных процессах [3]. В своих прошлых исследованиях мы обнаружили корреляции между морфофункциональными признаками поражения нейронов сетчатки и лабораторными показателями, которые возникают у пациентов с СД 2 типа [2].
Цель исследования – определить уровни IL- 1β, IL-17A, IL-10, TNFα, IFNγ, TGF-β1, TGF-β2, TGF-β3, MMP-2, MMP-7, MMP-9, TIMP-1, TIMP-2, белка S100b, BDNF и NGF в сыворотке крови пациентов с сахарным диабетом 2-го типа с признаками нейродегенерации сетчатки и выявить дополнительные иммунологические маркеры для диагностики и прогноза течения данного состояния.
Материалы и методы
В исследование были включены 80 пациентов с верифицированным у эндокринолога диагнозом сахарный диабет 2-го типа при офтальмологическом осмотре которых не было клинических признаков диабетической ретинопатии, а также пациенты с начальными признаками непролиферативной диабетической ретинопатии. В наших прошлых исследованиях мы не обнаружили достоверной разницы между данными группами в морфо-функциональных признаках нейродегенерации сетчатки [2]. Все пациенты основной группы принимали пероральные сахароснижающие препараты, средний «стаж» СД составил 7,5 лет, уровень гликированного гемоглобина в среднем равнялся 7,7%. Контрольную группу составили 30 практически здоровых добровольцев сопоставимых по полу и возрасту с основной группой. Распределение по полу в основной группе: мужчин 42,5% (n = 34), женщин 57,5% (n = 46), средний возраст 60,8±6 лет. У всех лиц, участвующих в исследовании, получено информированное согласие. Проведение исследования одобрено этическим комитетом ФГБОУ ВО «Тихоокеанский государственный медицинский университет» от 16.12.2019 протокол №4.
Всем включенным в исследование проводилось обследование на оптическом когерентном томографе RTVue-100 (США), определяли объем фокальных потерь ганглиозных клеток сетчатки (FLV). По его результатам пациентов основной группы разделили на 2 подгруппы. В первую вошли 22 человека у которых показатель FLV не имел достоверных различий с контрольной группой. Во вторую вошли 58 человек с достоверно большим объемом FLV. Так как данный показатель может служить диагностическим маркером нейродегенерации сетчатки, подгруппу 1 и 2 мы определили как пациентов без признаков нейродегенерации сетчатки и с ними соответственно.
Уровень IL- 1β, IL-17A, IL-10, TNFα, IFNγ, TGF-β1, TGF-β2, TGF-β3, MMP-2, MMP-7, MMP-9, TIMP-1, TIMP-2, белка S100b, BDNF и NGF в сыворотке крови определяли с помощью специфических реактивов фирмы R&D Diagnostics Inc. (США) методом сэндвич-варианта твердофазного иммуноферментного анализа, согласно прилагаемых инструкций. Учет результатов производили с помощью иммуноферментного анализатора Multiscan (Финляндия). Количественную оценку измеряемых параметров выражали в пг/мл или нг/мл.
Клинико-инструментальное и лабораторное обследование пациентов основной группы проводилось при первичном обращении, а также через 6 и 12 месяцев.
Статистическая обработка полученных результатов проводилась при помощи программы SPSS Statistics 23 (IBM, США). Показатели представлены в виде медиан (Me), нижнего и верхнего квартилей (Q0,25-Q0,75). Сравнение количественных величин в несвязанных выборках осуществлялось с использованием U-критерия Манна–Уитни, в связанных выборках использовали Т-критерий Вилкоксона, для корреляционного анализа применяли ранговый коэффициент Спирмена. Различия считались достоверными при p ≤ 0,05. Чувствительность и специфичность изменений исследуемых показателей оценивались методом линейной регрессии с построением ROC-кривых.
Результаты и обсуждение
При оценке данных ОКТ в динамике, в подгруппе 1 отсутствовало достоверное изменение FLV. При первичном осмотре он составил 0,26 (0,16-0,62) %, через 6 месяцев – 0,25 (0,15-0,62) %, через 12 месяцев – 0,26 (0,15-0,6) %. В подгруппе 2, наоборот, зарегистрировано достоверное (p = 0,0001) увеличение данного показателя, которое составило при первичном осмотре 2,49 (1,56-3,52) %, через 6 месяцев – 2,54 (1,59-3,56) %, через 12 месяцев – 2,59 (1,66-3,59) %. Таким образом нейродегенеративные изменения имели тенденцию к прогрессированию у лиц с изначально большим объемом фокальных потерь ганглиозных клеток. При этом отсутствовала взаимосвязь со стажем диабета, клиническими признаками ДР, уровнем гликированного гемоглобина.
В таблице 1 представлены результаты лабораторного анализа сыворотки крови у пациентов 1 и 2 подгруппы.
ТАБЛИЦА 1. СЫВОРОТОЧНЫЕ УРОВНИ ИССЛЕДУЕМЫХ ПОКАЗАТЕЛЕЙ У ПАЦИЕНТОВ ПОДГРУППЫ 1, 2 И В ГРУППЕ КОНТРОЛЯ
TABLE 1. SERUM LEVELS OF STUDIED PARAMETERS IN CONTROL GROUP, SUBGROUP 1 AND SUBGROUP 2
№ No. | Показатель Index | Контроль Control | Подгруппа 1 Subgroup 1 | Подгруппа 2 Subgroup 2 | ||||
Базовый Base | 6 месяцев 6 months | 12 месяцев 12 months | Базовый Base | 6 месяцев 6 months | 12 месяцев 12 months | |||
1 | IL-1β, пг/мл IL-1β, pg/mL | 1,61 (1,37- 2,18) | 1,42 (1,23- 1,75) | 1,46 (1,21- 1,75) | 1,42 (1,22- 1,74) | 3,46 (2,20- 4,89)a, b | 3,35 (2,31- 4,83)a, b | 3,42 (2,19- 4,92)a, b |
2 | IL-17A, пг/мл IL-17A, pg/mL | 5,32 (5,05- 5,89) | 5,42 (5,01- 6,23) | 5,34 (4,97- 5,90) | 5,38 (5,05- 5,92) | 5,39 (5,18- 6,25) | 5,36 (5,12- 6,01) | 5,42 (5,19- 6,06) |
3 | IL-10, пг/мл IL-10, pg/mL | 16,28 (12,68- 21,95) | 14,98 (12,55- 19,36) | 15,25 (12,63- 20,01) | 16,07 (12,70- 21,39) | 13,64 (11,34- 17,87)a, b | 13,46 (11,31- 17,86)a, b | 14,01 (11,56- 18,18)a, b |
4 | TNFα, пг/мл TNFα, pg/mL | 2,48 (1,37- 3,47) | 3,84 (3,34- 4,97)a | 4,02 (3,30- 5,12)a | 3,95 (3,29- 5,09)a | 3,65 (3,21- 5,48)a | 3,85 (3,32- 5,01)a | 3,88 (3,34- 5,19)a |
5 | IFNγ, пг/мл IFNγ, pg/mL | 14,0 (10,91- 15,55) | 15,03 (10,42- 17,25) | 14,86 (10,39- 16,54) | 14,19 (10,72- 16,98) | 13,72 (10,43- 20,53) | 14,37 (10,35- 15,78) | 13,88 (10,56- 17,80) |
6 | TGF-β1, нг/мл TGF-β1, ng/mL | 36,81 (34,30- 43,01) | 35,2 (28,38- 38,50) | 34,5 (28,57- 40,81) | 36,17 (30,19- 40,55) | 36,19 (30,93- 43,22) | 36,44 (29,97- 42,21) | 36,66 (31,20- 42,36) |
7 | TGF-β2, пг/мл TGF-β2, pg/mL | 116,9 (103,87- 150,41) | 142,86 (127,06- 185,34)a | 142,63 (124,96- 181,31)a | 138,28 (122,34- 184,67)a | 142,75 (122,59- 183,70)a | 144,02 (123,23- 182,97)a | 140,88 (124,67- 181,03)a |
8 | TGF-β3, пг/мл TGF-β3, pg/mL | 119,49 (66,09- 196,64) | 132,24 (59,14- 191,00) | 123,33 (63,23- 190,80) | 126,87 (70,02- 195,43) | 69,8 (37,54- 118,50)a, b | 75,89 (38,23- 122,60)a, b | 77,98 (35,09- 119,45)a, b |
9 | MMP-2, нг/мл MMP-2, ng/mL | 207,65 (155,78- 251,12) | 196,51 (152,20- 235,19) | 200,18 (154,50- 241,13) | 211,13 (161,30- 239,56) | 192,32 (158,66- 244,85) | 199,59 (156,33- 248,24) | 193,32 (155,76- 250,47) |
10 | MMP-7, нг/мл MMP-7, ng/mL | 2,17 (1,45- 2,85) | 1,66 (0,9- 2,7)a | 1,64 (0,88- 2,63)a | 1,58 (0,91- 2,61)a | 1,45 (0,75- 2,38)a | 1,49 (0,78- 2,40)a | 1,5 (0,77- 2,38)a |
11 | MMP-9, нг/мл MMP-9, ng/mL | 317,04 (269,89- 363,58) | 354,79 (314,45- 427,30)a | 361,22 (309,11- 441,61)a | 356,25 (312,30- 427,45)a | 338,6 (310,50- 409,23)a | 348,99 (315,96- 433,18)a | 347,83 (312,41- 431,50)a |
12 | TIMP-1, нг/мл TIMP-1, ng/mL | 191,04 (177,74- 201,97) | 189,75 (164,03- 217,27) | 188,34 (168,28- 208,44) | 189,19 (169,13- 214,33) | 197,25 (169,46- 226,60) | 192,11 (170,15- 208,45) | 193,92 (172,28- 213,44) |
13 | TIMP-2, нг/мл TIMP-2, ng/mL | 92,18 (86,92- 97,73) | 104,61 (95,52- 115,86)a | 105,34 (99,24- 111,35)a | 103,38 (96,25- 109,67)a | 117,14 (109,30- 128,91)a, b | 121,43 (109,34- 132,19)a, b | 119,7 (105,66- 133,43)a, b |
14 | белок S100b, пг/мл protein S100b, pg/mL | 45,19 (37,27- 51,79) | 44,84 (37,52- 53,05) | 45,31 (37,19- 52,14) | 46,11 (36,67- 55,32) | 53,44 (43,82- 75,82)a, b | 56,83 (45,43- 75,80)a, b | 58,11 (43,26- 77,37)a, b |
15 | BDNF, нг/мл BDNF, ng/mL | 30,19 (27,38- 32,14) | 28,99 (27,18- 31,82) | 32,13 (27,11- 33,23) | 29,59 (27,12- 32,72) | 26,35 (24,51- 29,22)a, b | 26,57 (24,31- 29,19)a, b | 27,33 (25,29- 30,22)a, b |
16 | NGF, пг/мл NGF, pg/mL | 5,96 (4,77- 8,13) | 5,63 (4,82- 7,58) | 5,66 (4,78- 7,73) | 5,63 (4,76- 7,19) | 7,26 (5,44- 8,17)a, b | 7,32 (5,48- 8,02)a, b | 7,35 (5,38- 8,25)a, b |
Примечание. a – достоверная (p < 0,05) разница в сравнении с контрольной группой; b – достоверная (p < 0,05) разница между подгруппой 1 и 2.
Note. a, significant (p < 0.05) difference compared to the control group; b, significant (p < 0.05) difference between subgroup 1 and 2.
Отсутствовала достоверная разница между группами в уровнях IL-17A, IFNγ, TGF-β1, MMP-2, TIMP-1, как при первичном осмотре, так и в динамике. TNFα и TGF-β2 были повышены у пациентов основной группы в сравнении с контролем, однако отсутствовала разница между подгруппами 1 и 2.
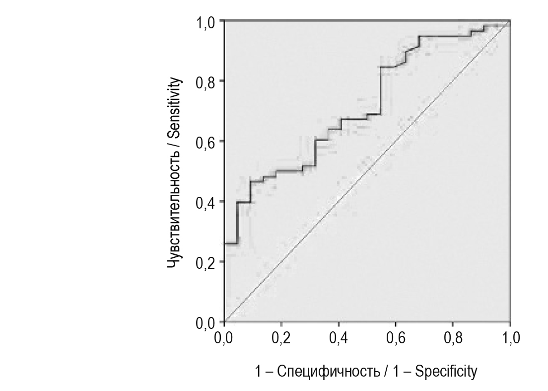
В подгруппе пациентов с высоким уровнем фокальных потерь ГКС выявлено достоверное увеличение уровня IL-1β и дефицит IL-10 в сравнении с контрольной группой и подгруппой без значимых потерь ГКС на протяжении всего периода наблюдения. Данный факт говорит о дисбалансе между про- и противовоспалительными цитокинами. Во многих исследованиях, изучающих роль воспаления в патогенезе ДР, выявлен высокий уровень IL-1β и дефицит IL-10 в сыворотке крови, влаге передней камеры и стекловидном теле [3]. Существует предположение, что глиальные клетки сетчатки являются основным источником высокого уровня IL-1β, что может потенцировать гибель ГКС [7]. При помощи построения ROC кривых, мы оценили диагностический потенциал определения уровня данных цитокинов в сыворотке крови для прогнозирования развития нейродегенерации сетчатки у пациентов с СД. Уровень IL-1β показал хорошую прогностическую ценность (AUC = 0,89) (рис. 1), в то время как ROC-кривая уровня IL-10 не показала значимости этого цитокина в прогнозе развития данного состояния (AUC = 0,45).
Рисунок 1. ROC-кривая IL-1β у пациентов с нейродегенерацией сетчатки
Figure 1. ROC-curve of IL-1β in patients with neurodegeneration of retina
Выявлен дефицит TGF-β3 у пациентов подгруппы 2 в сравнении с контролем и подгруппой 1.В недавнем экспериментальном исследовании на культуре ГКС было показано, что TGF-β3 повышает выживаемость ГКС в условиях гипергликемии [5]. Однако ROC-анализ не показал достоверного влияния сывороточного уровня данного цитокина на проявления нейродегенерации (AUC = 0,33), этот факт требует дальнейшего изучения.
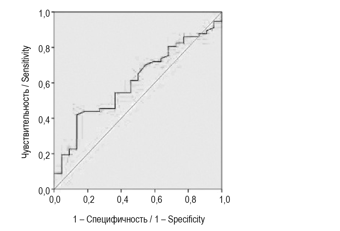
Определен дисбаланс в системе тканевого протеолиза, уровни MMP-9 и TIMP-2 были повышены, уровень MMP-7 был понижен в обеих подгруппах в сравнении с контролем. Многие исследования показывают важную роль матриксных металлопротеиназ в развитии дегенеративных процессов нервной ткани [4]. Достоверная разница между пациентами подгруппы 1 и 2 наблюдалась по сывороточной концентрации TIMP-2. ROC-анализ подтвердил (AUC = 0,74) роль данного ингибитора в индукции нейродегенерации сетчатки при ДР (рис. 2).
Рисунок 2. ROC-кривая TIMP-2 у пациентов с нейродегенерацией сетчатки
Figure 2. ROC-curve of TIMP-2 in patients with neurodegeneration of retina
При анализе сывороточной концентрации нейроспецефических белков в группе пациентов с ОКТ-признаками нейродегенерации сетчатки выявлены высокие уровни белка S100b и NGF и дифицит BDNF в отличие от группы контроля и подгруппы 1. Белок S100b является одним из маркеров повреждения нервной ткани и его высокие уровни стимулируют нейродегенерацию [1]. NGF является одним из наиболее изученных нейротрофических факторов, его физиологические эффекты направлены на повышение выживаемости нейронов [8]. Его повышение возможно является компенсаторной реакцией в ответ на повреждение нервных структур (в т.ч. сетчатки), которое вызвано нарушением гомеостаза при СД. ROC кривые показали удовлетворительную прогностическую значимость как для белка S100b (AUC = 0,71) (рис. 3), так и для NGF (AUC = 0,6) (рис. 4). Для BDNF ROC-анализ не подтвердил диагносттической значимости (AUC = 0,38).
Рисунок 3. ROC-кривая S100b у пациентов с нейродегенерацией сетчатки
Figure 3. ROC-curve of S100b in patients with neurodegeneration of retina
Рисунок 4. ROC-кривая NGF у пациентов с нейродегенерацией сетчатки
Figure 4. ROC-curve of NGF in patients with neurodegeneration of retina
Выводы
Механизмы нейродегенерации сетчатки, вызванные сахарным диабетом малоизучены и требуют не только клинических, но и фундаментальных исследований. Настоящее исследование показало роль нейровоспаления в развитии данного состояния, что может быть основой для разработки новых диагностических и лечебных мероприятий. Требуется дальнейшее изучение взаимного влияния цитокинов, нейропептидов и матриксных металлопротеиназ на нейродегенеративные процессы в нервной ткани при различных социально значимых заболеваниях.
About the authors
M. P. Ruchkin
Pacific State Medical University; Primorsky Eye Microsurgery Center
Author for correspondence.
Email: michaelr-n@mail.ru
Postgraduate Student, Department of Normal and Pathological Physiology; Ophthalmologist
Russian Federation, Vladivostok; VladivostokE. V. Markelova
Pacific State Medical University
Email: michaelr-n@mail.ru
PhD, MD (Medicine), Professor, Head, Department of Normal and Pathological Physiology
Russian Federation, VladivostokG. A. Fedyashev
Pacific State Medical University; Primorsky Eye Microsurgery Center
Email: michaelr-n@mail.ru
PhD, MD (Medicine), Professor, Department of Ophthalmology and Otorhinolaryngology; Chief Physician
Russian Federation, Vladivostok; VladivostokV. N. Yuschyuk
Pacific State Medical University
Email: michaelr-n@mail.ru
Assistant Professor, Department of Public Health and Healthcare Organization
Russian Federation, VladivostokReferences
- Маркелова Е.В., Зенина А.А., Кадыров Р.В. Нейропептиды как маркеры повреждения головного мозга // Современные проблемы науки и образования, 2018. № 5. [Электронный ресурс]. Режим доступа: http://science-education.ru/ru/article/view?id = 28099. [Markelova E.V., Zenina A.A., Kadyrov R.V. Neuropeptides as markers of brain damage. Sovremennye problemy nauki i obrazovaniya = Modern Problems of Science and Education, 2018, no. 5. [Electronic resource]. Access mode: http://science-education.ru/ru/article/view?id = 28099. (In Russ.)]
- Ручкин М.П., Еремеева Л.В., Маркелова Е.В., Федяшев Г.А. Роль дисбаланса системы матриксных металлопротеиназ в индукции нейродегенерации сетчатки при диабетической ретинопатии // Современные проблемы науки и образования, 2022. № 1. [Электронный ресурс]. Режим доступа: https://science-education.ru/article/view?id = 31427. [Ruchkin M.P., Eremeeva L.V., Markelova E.V., Fedyashev G.A. The role of imbalance in matrix metalloproteinases system in induction of neurodegeneration of retina in diabetic retinopathy, Sovremennye problemy nauki i obrazovaniya = Modern Problems of Science and Education, 2022, no. 1. [Electronic resource]. Access mode: https://science-education.ru/article/view?id = 31427. (In Russ.)]
- Barber A.J., Lieth E., Khin S.A., Antonetti D.A., Buchanan A.G., Gardner T.W. Neuronal apoptosis in the retina during experimental and human diabetes. Early onset and effect of insulin. J. Clin. Invest., 1998, Vol. 102, no. 4, pp. 783-791.
- Behl T., Kaur G., Sehgal A., Bhardwaj S., Singh S., Buhas C., Judea-Pusta C., Uivarosan D., Munteanu M.A., Bungau S. Multifaceted role of matrix metalloproteinases in neurodegenerative diseases: pathophysiological and therapeutic perspectives. Int. J. Mol. Sci., 2021, Vol. 22, no. 3, pp. 1413-1423.
- Chen H., Ho Y., Chou H., Liao E., Tsai Y., Wei Y., Lin L., Lin M., Wang Y., Ko M., Chan H. The role of transforming growth factor-beta in retinal ganglion cells with hyperglycemia and oxidative stress. Int. J. Mol. Sci., 2020, Vol. 21, no. 18, 6482. doi: 10.3390/ijms21186482.
- Khan A., Hashim M., King J., Govender R., Mustafa H., Al Kaabi J. Epidemiology of type 2 diabetes – global burden of desease and forecasted trendes. J. Epidemiol. Glod. Health, 2020, Vol. 10, no. 1, pp. 107-111.
- Mendiola A., Cardona A. The IL-1β phenomena in neuroinflammatory diseases. J. Neural Transm. (Vienna), 2018, Vol. 125, no. 5, pp. 781-795.
- Padmakumar S., Taha M., Kadakia E. Delivery of neurotrophic factors in treatment of age-related chronic neurodegenerative diseases. Expert Opin. Drug Deliv., 2020, Vol. 17, no. 3, pp. 323-340.
Supplementary files







