Dynamics of cell-free DNA levels in the in vivo LPS-induced inflammation model
- Authors: Demchenko E.N.1, Gavrilova E.D.1, Goiman E.V.1, Volskiy N.N.1, Kozlov V.A.1
-
Affiliations:
- Research Institute of Fundamental and Clinical Immunology
- Issue: Vol 25, No 4 (2022)
- Pages: 423-430
- Section: SHORT COMMUNICATIONS
- Submitted: 15.07.2022
- Accepted: 28.07.2022
- Published: 07.10.2022
- URL: https://rusimmun.ru/jour/article/view/1179
- DOI: https://doi.org/10.46235/1028-7221-1179-DOC
- ID: 1179
Cite item
Full Text
Abstract
An increased concentration of extracellular cell free DNA (cfDNA) is a distinctive characteristic of pathologies that mainly occur in acute inflammation (myocardial infarction, sepsis, stroke, trauma). The increase of cfDNA in chronic inflammatory processes, oncological, autoimmune diseases is less significant and is mainly due to aberrant cell death processes. One of such diseases is systemic lupus erythematosus (SLE). It has recently been shown that, in addition to increased cfDNA concentration, the degree of inflammation can reflect the N/L index (neutrophil to lymphocyte ratio), being a simple and informative marker of disease activity in patients with SLE. The aim of the study was to study the dynamics of the level of cfDNA and the N/L index in the model of LPS-induced inflammatory response as observed in intact mice, and their relation to the phenotypic heterogeneity of model SLE. We used female hybrid mice (C57Bl/6xDBA/2) F1 and female DBA/2 mice at the age of 6-8 weeks. LPS of E. coli strain 111: B4 (Sigma) was injected intraperitoneally once at doses of 10 ng, 1 µg and 100 µg per mouse in PBS. The control group was injected with the appropriate volume of buffer. The TNFα-binding domain of the variola virus CRMB protein was used as an inhibitor of TNFα, which was administered 30 min before the introduction of LPS. The dynamics of the response to LPS was assessed after 4, 8, 11, 24 hours by the N/L index and the level of cfDNA; at the zero point, the parameters were determined before the introduction of LPS. A day after a single injection of LPS at a dose of 1 µg/mouse, a SLE model was induced on the same hybrid mice (double intravenous administration with an interval of 6 days of spleen cells of the DBA/2 line, 60-70 × 106 cells each). Three months later, with proteinuria of 3 mg/ mL or more, mice were assigned to the SLEnephritis+ group, with a protein of less than 3 mg/mL, to the SLEnephritis- group. Statistical processing of the results was carried out by nonparametric statistics using the Mann–Whitney test. Differences were considered statistically significant at p < 0.05. It was found that the change in the N/L index, as well as the change in the level of cfDNA, depends on the dose of LPS administered. It was shown that the level of cfDNA reaches its maximum after 8 and 11 hours after the introduction of LPS is reliably reduced when using the inhibitor TNFα. A retrospective analysis indicates that there is a definite relationship between the response of intact mice to LPS before induction of cGVHD, and their subsequent division into variants of SLEnephritis + and SLEnephritis - in the course of disease development.
Full Text
Введение
Феномен повышенной концентрации внеклеточной ДНК (внДНК) определяется как признак воспалительных состояний и является отличительной чертой патологий, в основном протекающих с острым воспалением (инфаркт миокарда, сепсис, инсульт, травма) [8]. Менее выражена повышенная концентрация внДНК при хронических воспалительных процессах, онкологических, аутоиммунных заболеваниях, обусловленная в основном аберрантно протекающими процессами гибели клеток. К числу таких заболеваний относится системная красная волчанка (СКВ), одной из основных черт которой является наличие антител к двуцепочечной ДНК. Ранее в экспериментальной модели фенотипически гетерогенной СКВ: с нефритом (CКВнефрит+) и без нефрита (CКВнефрит-), индуцированной хронической реакцией трансплантат против хозяина (хРТПХ), показано, что к моменту полного формирования патологии среднее значение уровня внеклеточной ДНК (внДНК) в группе CКВнефрит+ почти в 2 раза превышало аналогичный показатель у мышей в группе CКВнефрит-, однако изменения оказались статистически не достоверны [1, 4].
Учитывая то, что начальный этап развития хРТПХ, связанный с генерацией иммунного ответа и формированием различных клинических вариантов СКВ, характеризуется чрезмерной/неконтролируемой продукцией провоспалительных цитокинов, рассматриваемой как «синдром цитокинового шторма», биологические механизмы которого до сих пор неясны, представлялось адекватным оценить уровень внДНК в простой ЛПС-индуцированной модели. Было высказано предположение, что маркером патологических состояний может служить не только уровень внДНК, как при остром воспалении, но и динамика изменения уровня внДНК, которая может соответствовать различным механизмам протекания воспалительных реакций. Недавно было показано, что помимо повышенной концентрации внДНК, степень воспаления может отражать индекс N/L (соотношение нейтрофилов к лимфоцитам), являясь простым и информативным маркером активности болезни у пациентов с СКВ [5].
Целью работы являлось изучение динамики уровня внДНК и индекса N/L в модели ЛПС-стимулированной воспалительной реакции у интактных мышей и связи этих параметров с последующей фенотипической неоднородностью индуцированной СКВ.
Материалы и методы
В работе использовали половозрелых 6-8-недельных самок мышей (C57Bl/6xDBA/2)F1 и самок мышей линий DBA/2, полученных из экспериментально-биологической клиники лабораторных животных СО РАН (г. Новосибирск). Животных содержали в стандартных условиях вивария в соответствии с правилами, принятыми Европейской конвенцией по защите животных, используемых для экспериментальных целей (Страсбург, 1986). Исследование одобрено этическим комитетом НИИФКИ (протокол № 92 от 10.11.2015 г.)
Интактным самкам (C57BL/6xDBA/2)F1 внутрибрюшинно однократно вводили ЛПС E. coli штамма 111: B4 (Sigma), в дозах 10 нг, 1 мкг и 100 мкг на мышь в PBS (PBS-10 мМ фосфатный буфер рH 7,4, 0,15 М NaCl), контрольной группе вводился соответствующий объем буфера. В качестве ингибитора TNFαбыл использован TNFα-связывающий домен белка CRMB вируса натуральной оспы (TNF-BD) любезно предоставленный Щелкуновым С.Н., обозначаемый нами как TNFα-связывающий белок [3]. TNFα-связывающий белок вводили за 30 мин. до введения ЛПС. Динамику ответа на ЛПС оценивали через 4, 8, 11, 24 часа по индексу N/L и уровню внДНК, в нулевой точке параметры определялись до введения ЛПС.
Выделение и количественное определение ДНК из плазмы крови проводили согласно методике [9]. Для выделения ДНК забор крови (примерно 100 мкл) производили из хвостовой вены животных в пробирки, содержащие 3 × PBS, 30 мМ ЭДТА. Плазму отделяли от фракции клеток центрифугированием в течение 20 мин при 400 g. Выделение ДНК из плазмы проводили на колонках компании «БиоСилика» (г. Новосибирск) согласно инструкции по применению «Набора для выделения ДНК из плазмы крови». Определение ДНК проводили с помощью флюоресцентного красителя PicoGreen (Invitrogen). Концентрация ДНК пересчитывалась по калибровочной кривой, построенной для известных концентраций стандартной двуцепочечной l ДНК. Через сутки после однократного введения ЛПС в дозе 1 мкг/ мышь, на этих же мышах-гибридах была индуцирована модель СКВ: самкам (C57Bl/6xDBA/2)F1 вводили клетки селезенки линии DBA/2 [10]. Каждая мышь-реципиент получала по 60-70 × 106 клеток в 0,5 мл среды путём внутривенной инъекции в хвостовую вену двукратно с интервалом 6 дней. Количество белка в моче животных определяли через 3 месяца колориметрически с красителем Кумасси бриллиантовый синий: при протеинурии 3 мг/мл и более мышей относили к группе CКВнефрит+, при белке менее 3 мг/мл к группе CКВнефрит-. Статистическую обработку результатов проводили методами непараметрической статистики с использованием критерия Манна–Уитни. Различия считали статистически значимыми при р < 0,05.
Результаты и обсуждение
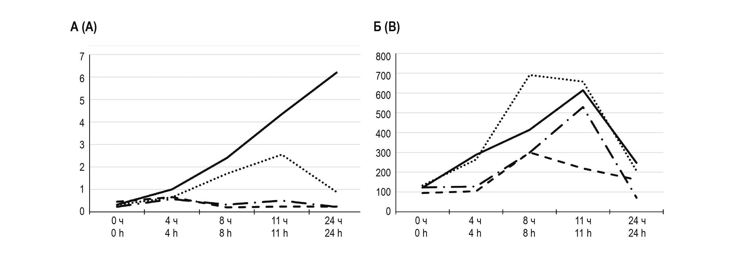
Показана зависимость изменения средних значений индекса N/L от дозы вводимого ЛПС (рис. 1А). Дозы 1 мкг и 100 мкг через 8 и 11 часов после введения препарата вызывают существенное повышение индекса N/L. Через 24 часа после введения 1 мкг ЛПС, влияние препарата нивелируется, индекс снижается, в то время как, при дозе 100 мкг на мышь влияние ЛПС еще достаточно выражено, показатель индекса N/L высокий. Доза ЛПС 10 нг/мышь не меняет показателя индекса. Повышение индекса в ЛПС-стимулированной модели может быть вызвано как рекрутированием нейтрофилов в кровоток так и тем, что, как сообщается в некоторых исследованиях, под действием воспалительных медиаторов снижается скорость апоптоза нейтрофилов [6, 7]. На рисунке 1Б представлена динамика изменения средних значений уровня внДНК в плазме в зависимости от дозы ЛПС. Видно, что через 8 часов после введения препарата у животных контрольной группы и с дозой 10 нг ЛПС наблюдается значительное повышение уровня внДНК, через 11 часов уровень внДНК в группе с 10 нг ЛПС превышает уровень в контрольной группе в 2,5 раза. Изменения уровня внДНК в контрольной группе мышей, по-видимому, могут быть обусловлены забором образцов крови в контрольных точках, так в работе [11] показали, что кровопотеря ведет к повышению продукции провоспалительных цитокинов. Дозы 1 мкг и 100 мкг ЛПС увеличивают уровень внДНК в 2,5-3 раза уже к 4 часам, далее уровень существенно повышается к 8 и 11 часам и снижается к 24 часам. Сравнимые значения уровня внДНК на 11 часов при дозах 1 мкг и 100 мкг, как и то, что через 8 часов при дозе 100 мкг уровень внДНК ниже, чем при дозе 1 мкг, видимо, объясняется снижением апоптоза нейтрофилов под воздействием ЛПС. По-видимому, через 8 часов после введения препарата в дозе 100 мкг, вклад гибели других клеток в появлении внДНК в плазме менее значителен, чем влияние увеличения времени жизни нейтрофилов. Показано, что изменение уровня внДНК и индекса N/L в течение 24 часов после однократного введение мышам различных доз ЛПС зависит от дозы вводимого препарата. Для работы была выбрана доза 1 мкг ЛПС.
Рисунок 1. Изменение средних значений индекса N/L (А) и уровня вн ДНК (Б) в группах мышей при введении ЛПС
Примечание. По оси абсцисс: время, часы; по оси ординат: А – величина индекса N/L; Б –концентрация внДНК (нг/мл). Контроль – штрих (n = 3 ); 10 нг ЛПС – длинный штрих-пунктир (n = 3); 1 мкг ЛПС – круглые точки (n = 3); 100 мкг ЛПС – сплошная линия (n = 3).
Figure 1. Change in the average values of the NL index and the level of ex DNA in groups of mice after the introduction of LPS
Note. On the abscissa: time, hours; along the y-axis: A, the value of the N/L index; B, cfDNA concentration (ng/mL). Control, stroke (n = 3); 10 ng LPS, long dash-dotted line (n = 3); 1 µg LPS, round dots (n = 3); 100 µg LPS, solid line (n = 3).
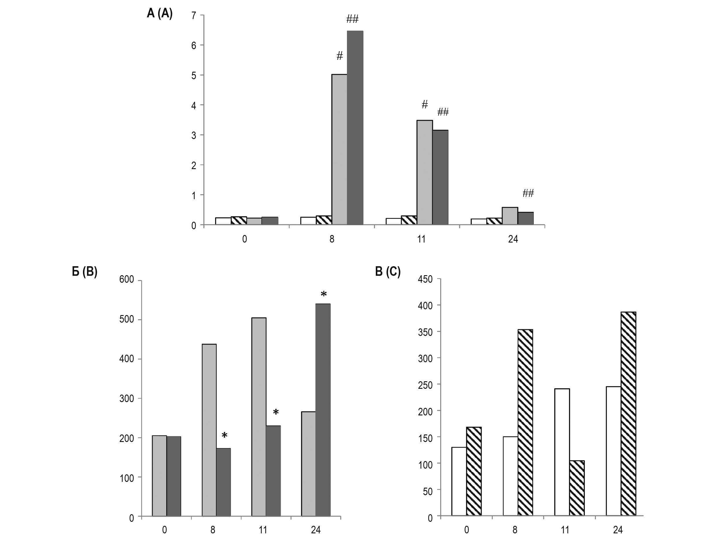
На рисунке 2А представлены данные о влиянии TNFá-связывающего белка в дозе 10 нг/на мышь на изменение средних значений индекса N/L при введении 1 мкг ЛПС. Видно, что белок не влияет ни на сам индекс N/L, ни на изменение индекса под действием ЛПС. Увеличение дозы TNFα-связывающего белка в 100 раз также не влияло на значения индекса (данные не приведены). Данные представленные на рисунке 2Б показывают, что предварительное введение TNFα-связывающего белка достоверно ингибирует ЛПС-стимулированное повышение уровня внДНК через 8 и 11 часов. Однако через 24 часа группа мышей с совместным введением ЛПС и TNFα-связывающего белка демонстрирует повышение уровня внДНК, несмотря на то, что в ЛПС-индуцированной группе уровень внДНК к этому времени снижается. Анализ картины изменения среднего по группе значения уровня внДНК при введении TNFα-связывающего белка свидетельствует о том, что повышение уровня внДНК через 24 часа вызвано непосредственно белком (рис. 2В). Кроме того, в этой группе через 8 часов после введения белка наблюдается увеличение в 2 раза среднего уровня внДНК по сравнению с контрольной интактной группой, через 11 часов уровень внДНК в группе с TNFα-связывающим белком ниже, чем в контрольной группе.
Рисунок 2. Динамика изменения средних значений индекса N/L (А) и уровня вн ДНК (Б, В) при введении TNF-св. белка
Примечание. По оси абсцисс: время, часы; по оси ординат: А – значение индекса N/L; Б, В – концентрация внДНК (нг/мл). Белые столбцы – контроль (n = 9 ); столбцы со штриховкой – TNF-св. белок (n = 6); серые столбцы – ЛПС (n = 8); черные столбцы – ЛПС + TNF-св. белок (n = 6). # – р < 0,05 – между ЛПС и контролем; ## – р < 0,05 – между TNF-св. белок и ЛПС + TNF-св. белок; * – р < 0,05 –между ЛПС и ЛПС + TNF-св. белок.
Figure 2. Dynamics of changes in the average values of the N/L index (A) and the level of ext DNA (B, C) with the introduction of TNF-binding protein
Note. On the abscissa: time, hours; along the y-axis: A, index value N/L; B, C, cfDNA concentration (ng/mL). White columns, control (n = 9); hatched columns, TNF-binding protein (n = 6); gray columns, LPS (n = 8); black columns, LPS + TNF-binding protein (n = 6). #, p < 0.05, between LPS and control; ##, p < 0.05, between TNF-binding protein and LPS + TNF-binding protein; *, р < 0.05, between LPS and LPS + TNF-binding protein.
Существуют литературные данные о том, что ингибирование активности TNF-α ослабляет экспрессию CD44, влияя на апоптоз, что в свою очередь приводит к снижению удаления фагоцитами разрушенного клеточного материала, способствуя образованию аутоантител, в том числе к ДНК [2]. Видимо, через 8 и 24 часа мы наблюдаем обусловленное TNF-α-связывающим белком ослабление фагоцитоза, и повышение уровня внДНК. Снижение уровня внДНК через 11 часов может быть объяснено тем, что в коротком временном промежутке между заборами крови на 8 и 11 часов, уровень индуцированного кровопотерей TNFá в плазме животных достаточен для полного ингибирования TNF-α-связывающего белка. Это определяет более низкий уровень внДНК в группе с TNF-α-связывающим белком, чем в группе интактных мышей. Таким образом, показано, что TNFá является одним из медиаторов ЛПС-индуцированного повышения уровня внДНК in vivo, TNF-α-связывающий белок действует как ингибитор повышения уровня внДНК. В системе индукции ЛПС TNF-α-связывающий белок сам вызывает повышение уровня внДНК.
Ранее нами было показано, что однократное введение 1 мкг ЛПС и последующая индукция СКВ не изменяет баланс процентного содержания животных в группах CКВнефрит+/ CКВнефрит- по сравнению со стандартной индукцией патологии. Было проведено измерение уровня внДНК у интактных мышей после введения ЛПС, а через сутки после введения ЛПС на этих мышах была индуцирована модель СКВ, через 12 недель мышей разделили на группы CКВнефрит+ и CКВнефрит-. Установлено, что при введении ЛПС интактные генетически однородные гибриды BDF демонстрируют разную динамику изменения уровня внДНК. Ретроспективный анализ связи уровня внДНК и определенного клинического варианта заболевания показал, что в группе мышей с CКВнефрит+ у части мышей отмечается резкое повышение уровня внДНК на 8 часов и снижение уровня к 24 часам у всех мышей, а в группе мышей с CКВнефрит- наблюдается плавное возрастание уровня внДНК к 11 часу, с дальнейшим повышением или понижением на 24 часа (рис. 3). Обе группы не являются однородными по динамике изменения уровня внДНК, и в то же время кривые, приведенные на рисунках 3 А и Б, позволяют предположить, что реакции, обуславливающие гетерогенность заболевания, могут иметь различные пути и скорости прохождения процесса, отражаемые в динамике изменений уровня внДНК.
Рисунок 3. Уровень внДНК у индивидуальных животных в разных группах модельного СКВ заболевания.
Примечание: А – CКВнефрит-; Б – CКВнефрит+. По оси абсцисс: время, часы. По оси ординат: концентрация внДНК (нг/мл).
Figure 3. Level of cfDNA in individual animals in different groups of the model SLE disease.
Note: A, SLEnephritis-; B, SLEnephritis+. On the abscissa: time, hours. Y-axis: cfDNA concentration (ng/mL).
Заключение
В результате измерения уровня внДНК в динамике установлена выраженная гетерогенность ответа на ЛПС у генетически однородных животных. Возможно, это обусловлено влиянием многочисленных внутренних факторов, в том числе эпигенетическими изменениями в системе врожденного иммунитета, вызывающими сдвиг баланса активности Th1- и Th2-субпопуляций, и приводящими к конечному выбору варианта, по которому пойдет развитие иммунного процесса в каждом конкретном случае.
Таким образом, исследование уровня внДНК в ЛПС-индуцированной реакции, моделирующей ранние события формирования аутоиммунной патологии, показало, что концентрация внДНК является достаточно чувствительным и лабильным параметром, который может быть использован для изучения фенотипической гетерогенности индуцированной СКВ.
Исследование выполнено за счет средств федерального бюджета для выполнения государственного задания на научно-исследовательскую работу «Изучение иммунопатогенеза фенотипов социально значимых заболеваний человека и полиморбидности как основа для разработки новых методов персонифицированной диагностики и лечения» (РК № 122012000366-9).
About the authors
E. N. Demchenko
Research Institute of Fundamental and Clinical Immunology
Email: edav.gavr@mail.ru
PhD (Chemistry), Research Associate, Laboratory of Experimental Immunotherapy
Russian Federation, NovosibirskE. D. Gavrilova
Research Institute of Fundamental and Clinical Immunology
Author for correspondence.
Email: edav.gavr@mail.ru
PhD (Biology), Head, Laboratory of Experimental Immunotherapy
Russian Federation, NovosibirskE. V. Goiman
Research Institute of Fundamental and Clinical Immunology
Email: edav.gavr@mail.ru
PhD (Medicine), Research Associate, Laboratory of Experimental Immunotherapy
Russian Federation, NovosibirskN. N. Volskiy
Research Institute of Fundamental and Clinical Immunology
Email: edav.gavr@mail.ru
PhD (Medicine), Leading Research Associate, Laboratory of Experimental Immunotherapy
Russian Federation, NovosibirskV. A. Kozlov
Research Institute of Fundamental and Clinical Immunology
Email: edav.gavr@mail.ru
PhD, MD (Medicine), Professor, Full Member, Russian Academy of Medical Sciences, Research Director
Russian Federation, NovosibirskReferences
- Колесникова О.П., Кудаева О.Т., Вольский Н.Н., Гойман Е.В., Гаврилова Е.Д., Перминова О.М., Демченко Е.Н., Козлов В.А. Экспериментальная модель аутоиммунного процесса: роль эпигенетической изменчивости в популяции мышей-гибридов // Вестник РАМН, 2015. Т. 70, № 2. С. 152-158. [Kolesnikova O.P., Kudaeva O.T., Volsky N.N., Goiman E.V., Gavrilova E.D., Perminova O.M., Demchenko E.N., Kozlov V.A. Experimental model of the autoimmune process: the role of epigenetic variability in the population of hybrid mice. Vestnik RAMN = Bulletin of the Russian Academy of Medical Sciences, 2015, Vol. 70, no. 2. pp. 152-158. (In Russ.)]
- Almoallim H., Al-Ghamdi Y., Almaghrabi H., Alyasi O. Anti-tumor necrosis factor-alpha induced systemic lupus erythematosu. Open Rheumatol. J., 2012, Vol. 6, pp. 315-319.
- Gileva I.P., Nepomnyashchikh T.S., Ryazankin I.A., Shchelkunov S.N. Recombinant TNF-binding protein from variola virus as a novel potential TNF antagonist. Biochemistry (Mosc.), 2009, Vol. 74, no. 12, pp. 1356-1362.
- Kudaeva O.T., Kolesnikova O.P., Goiman E.V., Tkachev V.O., Volskiy N.N., Perminova O.M., Gavrilova E.D., Kozlov V.A. The experimental model of the autoimmune glomerulonephritis induced by the chronic graft versus host reaction // An update on glomerulopathies – Etiology and pathogenesis. Ed. by S.S.Prabhakar. Rijeka: In Tech, 2011, pp. 49-86.
- LiL., XiaY., Chen C., Cheng P., Peng C. Neutrophil-lymphocyte ratio in systemic lupus erythematosus disease: a retrospective study. Int. J. Clin. Exp. Med ., 2015, Vol. 8, no. 7. pp. 11026-11031.
- Miralda I., Uriarte S.M., McLeish K.R. Multiple phenotypic changes define neutrophil priming. Front. Cell Infect. Microbiol., 2017, Vol. 7, 217. doi: 10.3389/fcimb.2017.00217.
- Sabroe I., Dower S.K., Whyte M.K. The role of Toll-like receptors in the regulation of neutrophil migration, activation, and apoptosis. Clin. Infect Dis., 2005, Vol. 41, Suppl. 7, pp. S421-S426.
- Swarup V., Rajeswari M.R. Circulating (cell-free) nucleic acids – a promising, non-invasive tool for early detection of several human diseases. FEBS Lett., 2007, Vol. 581, no. 5, pp. 795-799.
- Tamkovich S.N., Litviakov N.V., Bryzgunova O.E., Dobrodeev A.Y., Rykova E.Y., Tuzikov S.A., Zav’ialov A.A., Vlassov V.V., Cherdyntseva N.V., Laktionov P.P. Cell-surface-bound circulating DNA as a prognostic factor in lung cancer. Ann. N. Y. Acad. Sci., 2008, Vol. 1137, pp. 214-217.
- Tschetter J.R., Mozes E., Shearer G.M. Progression from Acute to chronic disease in a murine parent-into-F1 model of graft-versus-host disease. J. Immunol., 2000, Vol. 165, pp. 5987-5994.
- Yang Q.S., He L.P., Zhou X.L., Zhao Y., Shen J., Xu P., Ni S.Z. Kaempferol pretreatment modulates systemic inflammation and oxidative stress following hemorrhagic shock in mice. Chin. Med., 2015, no. 10, 6. doi: 10.1186/s13020-015-0035-z.
Supplementary files






