Coordination of the NF-κB signaling pathway and lymphocyte metabolism in children with autoimmune diseases
- Authors: Kurbatova O.V.1, Radygina T.V.1, Kuptsova D.G.1, Petrichuk S.V.1, Movsisyan G.B.1, Potapov A.S.1,2, Murashkin N.N.1,2,3, Abdullaeva L.M.1, Fisenko A.P.1
-
Affiliations:
- National Medical Research Center for Children’s Health
- I. Sechenov First Moscow State Medical University (Sechenov University)
- Central State Medical Academy of Department of Presidential Affairs
- Issue: Vol 26, No 4 (2023)
- Pages: 491-500
- Section: Forum Sochi 2023
- Submitted: 09.07.2023
- Accepted: 12.07.2023
- Published: 22.09.2023
- URL: https://rusimmun.ru/jour/article/view/13800
- DOI: https://doi.org/10.46235/1028-7221-13800-COT
- ID: 13800
Cite item
Full Text
Abstract
Metabolic aberrations underlie many chronic diseases, including autoimmune diseases (AUD). Immune metabolism is an area of immunological research that is actively developing and studying the processes of metabolic reprogramming in immune cells. The regulation of the nuclear factor kappa B (NF-κB) activity, which is involved in the coordination of innate and adaptive immunity, inflammatory reactions and other processes, is being actively studied. The studies on immune metabolism and regulation of NF-κB is a promising direction in searching for new therapeutic approaches in the AUD treatment. The aim of the present study was to evaluate the informative value of NF-κB and the activity of intracellular lymphocyte succinate dehydrogenase (SDH) and glycero-3-phosphate dehydrogenase (GPDH) determined in children with immune-dependent disorders. 350 children with autoimmune diseases were examined: 97 patients with IBD, 72 children with relapsing-remitting multiple sclerosis (MS), 83 pediatric patients with psoriasis vulgaris (PS), and 97 children with autoimmune hepatitis (AIH). The comparison group consisted of 100 conditionally healthy children. Activity of mitochondrial dehydrogenases, i.e., SDH and GPDH, was evaluated by immunocytochemical method. The levels of NF-κB translocation (per cent of cells with NF-κB translocation from cytoplasm to cell nucleus) was determined by flow cytometry, with visualization. Statistical evaluation and plotting were carried out using the Statistica 13.0 software. The highest activity of SDH and GPDH was detected in the population of cytotoxic T lymphocytes and T helper cells, and the lowest activity of the enzymes was registered in the population of B lymphocytes, both in children with AUD and in comparison group. In children with AUD, there was a significant decrease in SDH activity in T lymphocytes, cytotoxic T lymphocytes, B lymphocytes and NK cells against the comparison group (p < 0.01). In children with PS, AIH and IBD, a decrease in SDH activity was revealed in Treg and Th17 cells. The most pronounced decrease in GPDH was characteristic of patients with AH (in T cells, cytotoxic T lymphocytes, B cells, NK cells and Tregs against the comparison group). In children with PS, the activity of GPDH was reduced only in Tregs (p < 0.05). For children with multiple sclerosis, a decrease in GPDH was revealed in populations of T lymphocytes, B lymphocytes and activated T helpers (p < 0.01). In the group of patients with IBD, there were no significant differences in the activity of GPDG relative to the comparison group. A significant increase in the level of NF-κB translocation in T helpers was revealed in all children with AUD relative to the comparison group. In children with AIH and PS, a significant increase in the level of NF-κB translocation was revealed in Treg, Thact and Th17 cells, in children with MS it was found in Treg cells, in patients with IBD, it was registered in Thact against the comparison group (p < 0.05). An inverse correlation was found between the levels of NF-κB translocation in lymphocyte populations, and activity of mitochondrial dehydrogenases in the lymphocytes. The most significant dependencies are characteristic of NK cells and T cell populations, and these correlations are valid for all groups of AUD patientsh. In the course of in vitro experiments with a drug of metabolic action, a decreased number of cells with NF-κB translocation and an increased SDH activity was observed; the degree of SDH activation depended on the cell population type, the greatest changes were detectable in the population of T lymphocytes (by 61%), in B lymphocytes (by 30%), in NK cells (by 19%). The study of the metabolic activity of lymphocytes and the NF-κB signaling pathway allows us to assess the general mechanisms of immunopathological processes in children with autoimmune diseases of various etiologies. As based on the inverse correlation between the level of translocation of NF-κB and the activity of SDH in lymphocytes, one may consider the use of an available immunocytochemical method being an analogue for assessing activity of the NF-κB transcription factor. The studies of immune metabolic correction of immunocompetent cells are a promising direction in the AUD treatment.
Full Text
Введение
Частота заболеваемости аутоиммунными заболеваниями (АИЗ) ежегодно увеличивается во всем мире. По оценкам недавно проведенного популяционного исследования 10% населения земного шара страдает АИЗ [7]. Несмотря на широкий арсенал препаратов, применяющихся для лечения пациентов с АИЗ, остается потребность в идентификации биомаркеров, прогнозирующих ответ на терапию и корректную оценку состояния пациентов [5]. Иммунометаболизм – это область иммунологических исследований, активно развивающаяся и изучающая процессы метаболического перепрограммирования в иммунных клетках. Во время иммунного ответа клетки переходят из метаболического покоя в активную фазу, что сопровождается метаболическим сдвигом от катаболического к анаболическому состоянию [15]. В состоянии покоя макромолекулы проходят катаболические пути для получения энергии и обеспечения долгосрочного выживания. Метаболические абберации лежат в основе многих хронических заболеваний, в том числе АИЗ. Цикл трикарбоновых кислот (ТСА), окислительное фосфорилирование (OXPHOS) и окисление жирных кислот (FAO), важны для дифференцировки Т-клеток [6]. Наивные Т-клетки имеют низкую скорость метаболизма и минимальные потребности в биосинтезе используют для получения энергии небольшое количество глюкозы, глютамина и жирных кислот, посредством OXPHOS. Эффекторные Т-клетки (Teff) значительно увеличивают скорость метаболизма после иммунной активации из-за пролиферативной экспансии и индукции энергоемких эффекторных функций, включая продукцию большого количества цитокинов [10]. В регуляторных Т-клетках (Treg) активен процесс OXPHOS, который подпитывается экзогенными жирными кислотами, импортируемыми и метаболизируемыми посредством FAO, во время клеточного деления Treg переходят на гликолитический метаболизм, чтобы поддержать биосинтетические потребности для их роста и пролиферации. Дифференцировка клеток зависит от клеточного окружения и субстратов для метаболических путей [9]. Нарушение клеточного метаболизма в Treg приводит к нарушению их функции и изменяет дифференцировку Т-клеток в сторону Teff и клеток памяти [11].
В последние годы, наряду с иммунометаболизмом клеток, активно изучается регуляция активности ядерного фактора каппа B (NF-κB). NF-κB является ключевым фактором транскрипции, участвующим в координации врожденного и адаптивного иммунитета, воспалительных реакций и других процессов, таких как клеточная дифференцировка, пролиферация и выживание [12]. Дисрегуляция NF-κB связана с широким спектром заболеваний, от воспалительных и иммунных нарушений до рака. Нарушение регуляции пути NF-κB и факторов, которые его регулируют, приводит к состоянию неконтролируемого воспаления, включая аутоиммунное [13]. Также, NF-κB влияет на митохондриальные пути, такие как окислительное фосфорилирование, где субъединица р65 способствует митохондриальной экспрессии фактора сборки цитохром С-оксидазы 2 и активавции окислительного фосфорилирования [8]. Продемонстрировано, что NF-κB регулирует гликолиз и митохондриальное дыхание в зависимости от наличия р53 в клетках [8]. Изучение процессов иммунометаболизма и регуляции NF-κB является перспективным направлением для поиска новых терапевтических подходов в лечении АИЗ.
Цель исследования – оценить информативность определения NF-κB и активность внутриклеточных дегидрогеназ лимфоцитов (СДГ, а-ГФДГ) у детей с иммунозависимыми патологиями.
Материалы и методы
Обследовано 350 детей с аутоиммунными заболеваниями: 97 пациентов с ВЗК в возрасте 12,6 (8,3-16,1) лет, 72 ребенка с рецидивирующе-ремитирующим рассеянным склерозом (РС) в возрасте 17,0 (15,7-17,8) лет, 83 – с вульгарным псориазом (ПС) в возрасте 12,1 (7,8-15,8) лет и 97 детей с аутоиммунным гепатитом (АИГ) в возрасте 14,3 (10,9-16,6) лет. В группы были включены дети с АИЗ с разной тяжестью заболевания как в обострении, так и в ремиссии. Группу сравнения составили 100 условно здоровых детей в возрасте 12,2 (10,3-17,3) лет, не имеющие отклонений от нормативных показателей в стандартном клиническом и биохимическом лабораторном исследовании, а также при отсутствии на момент обследования острых состояний, травм, аутоиммунных, онкологических и психических заболеваний.
Исследование одобрено локальным этическим комитетом ФГАУ «НМИЦ здоровья детей» Минздрава России, проведено в соответствии с этическими и нормативными документам Российской Федерации. В соответствии с Хельсинкской декларацией перед исследованием было получено информированное согласие родителей (для детей младше 14 лет) и детей (старше 14 лет) для всех обследованных групп. Образцы венозной крови для исследования получали натощак из локтевой вены в пробирки BDVacutainer® с антикоагулянтом К2ЭДТА. Исследование активности митохондриальных дегидрогеназ и определение уровня транслокации NF-κB выполняли в день забора крови.
Активность митохондриальных дегидрогеназ – сукцинатдегидрогеназы (СДГ) и глицеро-3-фосфатдегидрогеназы (ГФДГ) – оценивали иммуноцитохимическим методом [2]. Метод основан на изменении показателей гранулярности клетки до и после проведения цитохимической реакции (со специфическим субстратом для каждого фермента) в пермеабилизированных клетках лимфоконцентрата. Ферментативную активность оценивали по отношению показателя бокового светорассеяния (SSC) после и до проведения реакции, умноженным на 100. Активность дегидрогеназ определяли в следующих популяциях лимфоцитов в регионе CD45+: Т-лимфоцитах (CD3+), В-лимфоцитах (CD19+CD3-), NK-клетках (CD3-СD16+CD56+), Т-хелперах (CD3+CD4+), цитотоксических Т-лимфоцитах (CD3+CD8+), Тh17-лимфоцитах (Тh17, CD3+CD4+CD161+), регуляторных Т-клетках (Treg, CD3+CD4+CD127low), активированных Т-хелперах (Thact, CD3+CD4+CD127high). Исследование выполняли на проточных цитометрах CYTOMICS FC500 и Novocyte c использованием моноклональных антител производства Beckman Coulter (США). Уровень транслокации NF-κB (% клеток с транслокацией NF-κB из цитоплазмы в ядро клетки) определяли методом проточной цитометрии с визуализацией (Amnis ImageStreamX Mk II) с применением набора Amnis NF-κB Translocation Kit (Luminex, США). Визуализацию и запись клеток выполняли при 40-кратном увеличении и низкой скорости потока, анализировали изображения отдельных клеток в хорошем фокусе. Для двойных позитивных клеток – NF-κB+/7-AAD+ по параметру Similarity > 1 определяли процент клеток с транслокацией NF-κB в популяциях лимфоцитов.
Статистические расчеты и построение графиков проводили с использованием программы Statistica 13.0 (StatSoft, США). Описательная статистика представлена в виде медианы Me (Q0,25-Q0,75). Различия между группами оценивали критерием Манна–Уитни. Статистически достоверными отличиями считали при р < 0,05. Исследования взаимосвязи между активностью СДГ и уровнем транслокации NF-κB в популяциях лимфоцитов выполняли с помощью корреляционного анализа.
Результаты и обсуждение
Проведенный анализ активности митохондриальных дегидрогеназ в популяциях лимфоцитов показал, что наибольшей активностью СДГ и ГФДГ обладают популяции цитотоксических Т-лимфоцитов и Т-хелперов, а наименьшая активность ферментов выявлена в популяции В-лимфоцитов как у детей с АИЗ, так и в группе сравнения (табл. 1). Активность СДГ и ГФДГ в NK-клетках выше, чем в В-лимфоцитах и ниже, чем в Т-лимфоцитах (р < 0,01).
ТАБЛИЦА 1. АКТИВНОСТЬ МИТОХОНДРИАЛЬНЫХ ДЕГИДРОГЕНАЗ И УРОВЕНЬ ТРАНСЛОКАЦИИ NF-κB В ПОПУЛЯЦИЯХ ЛИМФОЦИТОВ У ДЕТЕЙ С АУТОИММУННЫМИ ЗАБОЛЕВАНИЯМИ И В ГРУППЕ СРАВНЕНИЯ
TABLE 1. ACTIVITY OF MITOCHONDRIAL DEHYDROGENASES AND THE LEVEL OF NF-κB TRANSLOCATION IN POPULATIONS OF LYMPHOCYTES IN CHILDREN WITH AUTOIMMUNE DISEASES AND IN THE COMPARISON GROUP
Популяция клеток Cell population | Группа сравнения Comparison group (n = 100) | Псориаз Psoriasis | АИГ AID | ВЗК IBD | РС MS |
(n = 83) | (n = 98) | (n = 97) | (n = 72) | ||
Активность СДГ, усл. ед. Activity of SDH, c. u. | |||||
Т-лимфоциты T lymphocytes | 193 | 178** | 175** | 178** | 179** |
(184-200) | (167-190) | (162-187) | (167-191) | (163-185) | |
Т-хелперы T helpers | 191 | 187 | 183 | 183** | 191 |
(182-201) | (174-192) | (170-202) | (174-195) | (171-200) | |
Цитотоксические Т-лимфоциты Cytotoxic T lymphocytes | 196 | 178** | 168** | 175** | 176** |
(184-204) | (163-196) | (156-177) | (165-190) | (159-189) | |
В-лимфоциты B lymphocytes | 148 | 129** | 129** | 134** | 130** |
(137-155) | (122-141) | (122-140) | (127-144) | (121-143) | |
NK-клетки NK cells | 179 | 159** | 155** | 157** | 165* |
(169-190) | (134-184) | (139-174) | (145-172) | (147-188) | |
Регуляторные T-клетки Treg | 196 | 184** | 188** | 185** | 195 |
(187-211) | (174-196) | (172-204) | (174-199) | (174-204) | |
Активированные Т-хелперы Thact | 198 | 198 | 197 | 193 | 205 |
(187-208) | (185-206) | (179-218) | (183-206) | (177-215) | |
Th17-лимфоциты Th17 | 189 | 179** | 171** | 178** | 187 |
(178-201) | (164-190) | (160-193) | (167-186) | (162-193) | |
Активность ГФДГ, усл. ед. Activity of GFDH, c. u. | |||||
Т-лимфоциты T lymphocytes | 168 | 165 | 156** | 168 | 161** |
(156-179) | (159-176) | (143-165) | (158-176) | (132-169) | |
Т-хелперы T helpers | 157 | 166 | 155 | 167 | 163 |
(146-179) | (155-174) | (146-166) | (150-172) | (134-171) | |
Цитотоксические Т-лимфоциты Cytotoxic T lymphocytes | 166 | 169 | 150* | 170 | 160 |
(149-181) | (161-174) | (141-160) | (156-179) | (132-169) | |
В-лимфоциты B lymphocytes | 151 | 144 | 138** | 148 | 138** |
(144-159) | (130-157) | (122-150) | (136-161) | (117-148) | |
NK-клетки NK cells | 164 | 166 | 149** | 163 | 157 |
(152-174) | (155-179) | (132-169) | (152-173) | (136-175) | |
Регуляторные T-клетки Treg | 179 | 175* | 167* | 175 | 172 |
(166-191 | (161-185) | (155-182) | (157-185) | (140-186) | |
Активированные Т-хелперы Thact | 177 | 180 | 172 | 177 | 152** |
(170-196) | (174-190) | (158-186) | (164-190) | (136-175) | |
Th17-лимфоциты Th17 | 158 | 166 | 161 | 163 | 163 |
(153-186) | (160-174) | (149-180) | (151-177) | (131-172) | |
Уровень транслокации NF-κB, % NF-κB translocation level, % | |||||
Т-лимфоциты T lymphocytes | 17,8 | 19 | 20,6** | 18,7 | 19 |
(16,4-21,1) | (15,3-25,7) | (17,3-26,5) | (15,1-22,8) | (15,3-27,3) | |
Т-хелперы T helpers | 16,5 | 19,3** | 21,2** | 19,4* | 19,9** |
(14,0-18,4) | (16,4-28,4) | (17,4-28,7) | (14,7-22,6) | (16,7-25,7) | |
Цитотоксические Т-лимфоциты Cytotoxic T lymphocytes | 17,8 | 17,7 | 19,2 | 17 | 17,6 |
(15,6-23,5) | (13,9-23,4) | (15,9-24,3) | (14,1-20,7) | (13,6-23,8) | |
В-лимфоциты B lymphocytes | 48,5 | 44,8 | 54,7 | 53,3 | 53,4 |
(40,1-79,9) | (35,4-53,5) | (39,9-69,5) | (41,0-70,1) | (37,0-62,1) | |
NK-клетки NK cells | 29,8 | 22 | 33,7 | 27,4 | 26 |
(20,2-37,1) | (19,4-36,0) | (22,6-46,0) | (21,4-44,9) | (21,6-38,5) | |
Регуляторные T-клетки Treg | 19,2 | 24,1** | 26,6** | 21,4 | 22,3* |
(13,5-23,5) | (20,5-27,6) | (20,4-35,0) | (17,1-26,0) | (18,6-30,9) | |
Активированные Т-хелперы Thact | 15,2 | 19,3* | 19,5** | 18,5* | 17 |
(14,5-16,8) | (15,0-22,2) | (15,1-26,1) | (12,9-23,5) | (13,5-25,0) | |
Th17-лимфоциты Th17 | 18,1 | 20,7* | 20,5* | 20,4 | 21 |
(17,0-20,3) | (16,9-29,8) | (16,6-25,0) | (15,6-24,0) | (14,3-28,8) | |
Примечание. * – p < 0,05; ** – p < 0,01.
Note. *, p < 0.05; **, p < 0.01.
У детей с АИЗ выявлено значимое снижение активности СДГ в Т-лимфоцитах, цитотоксических Т-лимфоцитах, В-лимфоцитах и NK-клетках относительно группы сравнения (р < 0,01; табл. 1). У пациентов с ВЗК выявлено снижение СДГ также в популяции Т-хелперов. Анализ малых популяций лимфоцитов показал снижение активности СДГ в Treg и Th17 у детей с псориазом, АИГ и ВЗК (табл. 1). Полученные данные о снижении активности СДГ согласуются с данными Chen X. о том, что дефицит СДГ в Т-клетках может вызывать дефекты пролиферации и выживания клеток, индуцировать сигнатуру провоспалительного гена в Т-клетках и способствовать дифференцировке эффекторных Th1- и Th17-клеток [7].
Наиболее выраженное снижение ГФДГ характерно для пациентов с АИГ: активность фермента была значимо снижена в Т-лимфоцитах, цитотоксических Т-лимфоцитах, В-лимфоцитах, NK-клетках и Treg относительно группы сравнения (табл. 1). У детей с псориазом активность ГФДГ снижена только в Treg (р < 0,05). Для детей с рассеянным склерозом выявлено снижение ГФДГ в популяциях Т-лимфоцитов, В-лимфоцитов и в активированных Т-хелперах (р < 0,01). В группе пациентов с ВЗК достоверных различий по активности ГФДГ относительно группы сравнения не выявлено (табл. 1).
Ранее мы показали, что уровень транслокации NF-κB в популяциях лимфоцитов определяется тяжестью состояния пациента и зависит от популяции клеток [1, 3]. Состояние обострения заболевания характеризуется активацией фактора транскрипции NF-κB в популяциях лимфоцитов у детей с АИЗ. Максимальное количество клеток с транслокацией NF-κB у всех обследованных детей выявлено в В-лимфоцитах и составляет около 50% популяции, а наименьшее – в популяции Т-лимфоцитов и субпопуляциях CD4+Т-клеток (табл. 1).
Для пациентов с АИЗ, вошедших в исследование, уровень транслокации NF-κB изменялся от 6,0 до 99% и зависел от популяции клеток. Выявлено значимое увеличение уровня транслокации NF-κB в Т-хелперах у всех детей с АИЗ относительно группы сравнения (табл. 1). У детей с АИГ и псориазом выявлено значимое увеличение уровня транслокации NF-κB в Treg, Thact и Th17 (табл. 1). Активность NF-κB в Treg была повышена у детей с рассеянным склерозом, в Thact – у пациентов с ВЗК относительно группы сравнения (р < 0,05). Полученные данные подтверждают важную роль сигналов NF-κB, нарушения передачи которых способствуют патогенезу иммунологических нарушений при аутоиммунных нарушениях [14].
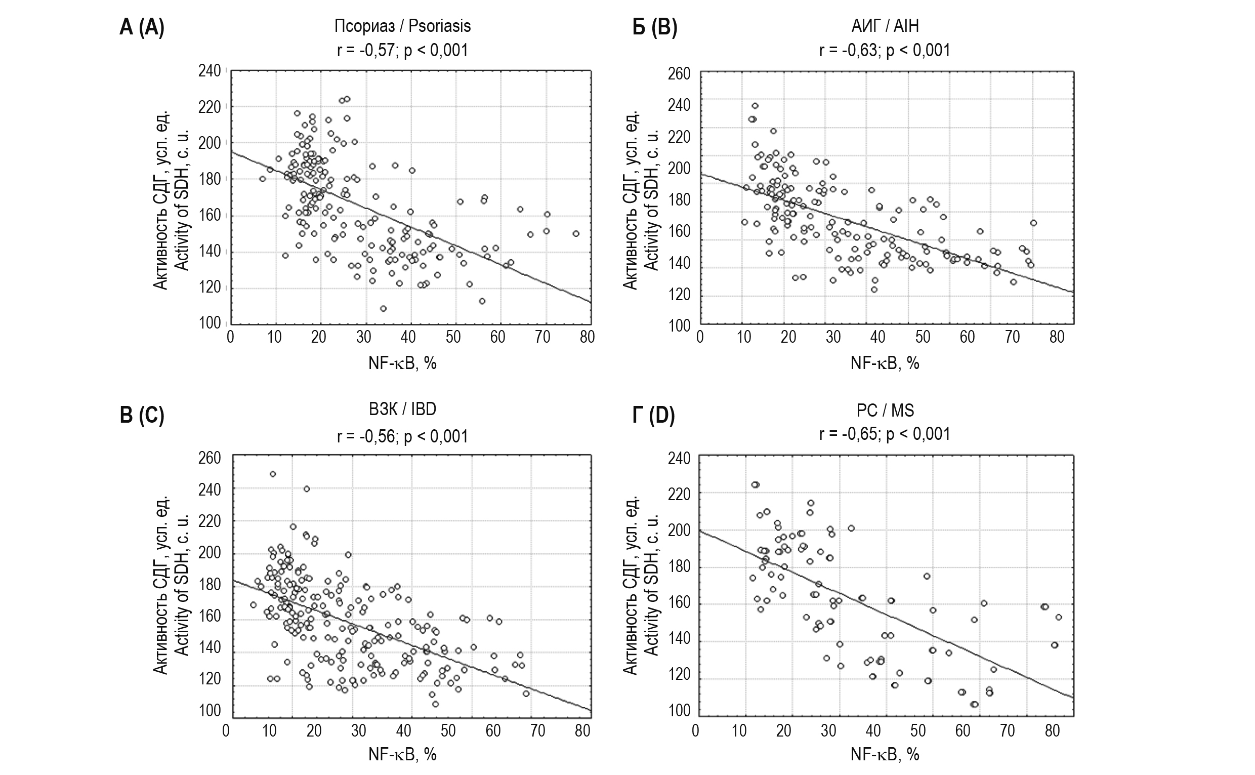
Следующий этап работы включал определение зависимости между уровнем транслокации NF-κB и активностью митохондриальных дегидрогеназ в лимфоцитах у детей с АИЗ и в группе сравнения. В группе сравнения анализ показал обратную корреляционную зависимость: чем выше уровень транслокации NF-κB в популяциях лимфоцитов, тем ниже активность СДГ (r = -0,49; р < 0,001) и ГФДГ (r = -0,31; p = 0,001). Выявлена аналогическая обратная зависимость между уровнем транслокации NF-κB и активностью СДГ для детей с РС (r = -0,65; р < 0,001), с АИГ (r = -0,63; р < 0,001), с ВЗК (r = -0,56; р < 0,001) и псориазом (r = -0,57; р < 0,001; рис. 1). Зависимость уровня транслокации NF-κB и активности ГФДГ в популяциях лимфоцитов менее выражена из-за большого разброса показателей.
Рисунок 1. Зависимость активности СДГ и уровня транслокации NF-κB в лимфоцитах у детей с псориазом (А), аутоиммунным гепатитом (Б), воспалительными заболеваниями кишечника (В) и рассеянным склерозом (Г)
Figure 1. Dependence of SDH activity and the level of NF-κB translocation in lymphocytes in children with psoriasis (A), autoimmune hepatitis (B), inflammatory bowel disease (C), and multiple sclerosis (D)
Анализ выявленной зависимости уровня транслокации NF-κB и активности СДГ в отдельных популяциях показал, что наиболее значимые зависимости характерны для популяций NK-клеток и Т-лимфоцитов и эти зависимости справедливы для всех групп пациентов с АИЗ. Для популяций NK-клеток: при РС составила r = -0,58; р < 0,001, при псориазе – r = -0,51; р < 0,001, при АИГ r = -0,46; р < 0,001 и при ВЗК- r = -0,22; р = 0,033. Для популяций Т-лимфоцитов: при РС составила r = -0,51; р < 0,001, при псориазе – r = -0,31; р = 0,03, при АИГ r = -0,27; р = 0,049 и при ВЗК- r = -0,24; р = 0,018.
Помимо этого, у пациентов с АИГ выявлена значимая зависимость уровня транслокации NF-κB и активности СДГ для Th17-клеток (R = -0,34), а у пациентов с РС – в Т-хелперах (r = -0,33; р = 0,01) и Т-цитотоксических лимфоцитах (r = -0,5; р < 0,001). У детей с ВЗК, помимо NK-клеток и Т-лимфоцитов, корреляция уровня транслокации NF-κB и активности СДГ получена для Treg (r = -0,22; р = 0,04) и Thact (r = -0,25; р = 0,017). Выявленное в нашей работе сопряжение активности СДГ с уровнем транслокации NF-κB у детей с аутоиммунными заболеваниями с одной стороны может свидетельствовать о влиянии сигнального пути NF-κB на активность митохондриальных дегидрогеназ, а с другой стороны, возможно, что изменение метаболизма способствует активации сигнального пути NF-κB. Иммунометаболические пути можно рассматривать как потенциальную мишень для коррекции сигнального пути NF-κB, с целью предотвращения аутоиммунно направленных воспалительных реакций [2].
В результате экспериментов in vitro c препаратом метаболического действия, в состав которого входят янтарная кислота, рибофлавин (витамин В2), никотинамид (витамин РР) и инозин, у пациентов с ВЗК показано его стимулирующее действие на активность СДГ после 40 минут инкубации цельной крови с физиологической дозой препарата, рассчитанной на килограмм массы тела пациента в пересчете на объем циркулирующей крови. При этом получено снижение количества клеток с транслокацией NF-κB в основных популяциях лимфоцитов после инкубации с препаратом. Степень активации СДГ зависела от популяции клеток, наибольшая выявлена в популяции Т-лимфоцитов – на 61%, в В-лимфоцитах – на 30%, в NK-клетках – на 19% относительно пробы без препарата метаболического действия. Отмечено снижение активности NF-κB на 14% в Т-лимфоцитах, на 11% в В-лимфоцитах и на 29% – в NK-клетках. Данный факт позволяет предположить, что улучшая метаболизм клеток с помощью препаратов метаболического действия в условиях in vivo, возможно будет снизить активацию сигнального пути NF-κB и уменьшить синтез провоспалительных цитокинов [12]. Однако данное направление требует более детального изучения и проведения дополнительных исследований.
Заключение
Исследование метаболической активности лимфоцитов и сигнального пути NF-κB позволяет судить об общих механизмах иммунопатологических процессов у детей с аутоиммунными заболеваниями различной этиологии. На основании установленной обратной корреляционной зависимости уровня транслокации NF-κB и активности СДГ в лимфоцитах можно рассматривать использование более доступного иммуноцитохимического метода в качестве аналога для оценки активности фактора транскрипции NF-κB. Изучение коррекции иммунометаболизма иммунокомпетентных клеток является перспективным направлением в лечении аутоиммунных заболеваний.
About the authors
Olga V. Kurbatova
National Medical Research Center for Children’s Health
Author for correspondence.
Email: putintseva@mail.ru
ORCID iD: 0000-0002-9213-5281
PhD (Medicine), Senior Research Associate, Laboratory of Experimental Immunology and Virology, National Medical Research Center for Children’s Health
Russian Federation, MoscowT. V. Radygina
National Medical Research Center for Children’s Health
Email: tvradigina@mail.ru
ORCID iD: 0000-0003-4704-6885
PhD (Medicine), Senior Research Associate, Laboratory of Experimental Immunology and Virology, National Medical Research Center for Children’s Health
Russian Federation, MoscowD. G. Kuptsova
National Medical Research Center for Children’s Health
Email: dg.kuptsova@gmail.com
ORCID iD: 0000-0001-7771-3314
Junior Research Associate, Clinical Laboratory Doctor, Laboratory of Experimental Immunology and Virology, National Medical Research Center for Children’s Health
Russian Federation, MoscowS. V. Petrichuk
National Medical Research Center for Children’s Health
Email: cito@list.ru
ORCID iD: 0000-0003-0896-6996
PhD, MD (Biology), Professor, Chief Research Associate, Laboratory of Experimental Immunology and Virology, National Medical Research Center for Children’s Health
Russian Federation, MoscowG. B. Movsisyan
National Medical Research Center for Children’s Health
Email: movsisyan@nczd.ru
ORCID iD: 0000-0003-2881-4703
PhD (Medicine), Senior Research Associate, Laboratory of Rare Hereditary Diseases, Gastroenterologist of the Gastroenterology Department with the Hepatological Group, National Medical Research Center for Children’s Health
Russian Federation, MoscowA. S. Potapov
National Medical Research Center for Children’s Health; I. Sechenov First Moscow State Medical University (Sechenov University)
Email: potapov@nczd.ru
ORCID iD: 0000-0003-4905-2373
PhD, MD (Medicine), Professor, Chief Scientist, Laboratory of Scientific Foundations of Pediatric Gastroenterology and Hepatology, Head, Gastroenterology Department with Hepatology Group, National Medical Research Center for Children’s Health; Professor, Department of Pediatrics and Pediatric Rheumatology, I. Sechenov First Moscow State Medical University (Sechenov University)
Russian Federation, Moscow; MoscowN. N. Murashkin
National Medical Research Center for Children’s Health; I. Sechenov First Moscow State Medical University (Sechenov University); Central State Medical Academy of Department of Presidential Affairs
Email: m_nn2001@mail.ru
ORCID iD: 0000-0003-2252-8570
PhD, MD (Medicine), Head, Department of Dermatology with the Laser Surgery Group, Head of the Laboratory of Skin Pathology in Children at the Department of Pediatric Research, National Medical Research Center for Children’s Health; Professor, Department of Dermatovenerology and Cosmetology, Central State Medical Academy of Department of Presidential Affairs; Professor, Department of Pediatrics and Pediatric Rheumatology, I. Sechenov First Moscow State Medical University (Sechenov University)
Russian Federation, Moscow; Moscow; MoscowL. M. Abdullaeva
National Medical Research Center for Children’s Health
Email: instorm@inbox.ru
ORCID iD: 0000-0003-1574-2050
Junior Research Associate, Laboratory of Rare Hereditary Diseases in Children of the Medical Genetic Center; Neurologist, Department of Psychoneurology and Psychosomatic Pathology, National Medical Research Center for Children’s Health
Russian Federation, MoscowA. P. Fisenko
National Medical Research Center for Children’s Health
Email: fisenko@nczd.ru
ORCID iD: 0000-0001-8586-7946
PhD, MD (Medicine), Professor, Head, National Medical Research Center for Children’s Health
Russian Federation, MoscowReferences
- Купцова Д.Г., Петричук С.В., Мурашкин Н.Н., Курбатова О.В., Радыгина Т.В., Хотко А.А., Иванов Р.А. Активность ядерного фактора транскрипции B в популяциях лимфоцитов у детей c псориазом // Вестник РГМУ, 2022. № 2. С. 30-38. [Kuptsova D.G., Petrichuk S.V., Murashkin N.N., Kurbatova O.V., Radygina T.V., Khotko A.A., Ivanow R.A. Activity of nuclear factor B in lymphocyte populations of children with psoriasis. Vestnik RGMU = Bulletin of Russian State Medical University, 2022, no. 2, pp. 28-35. (In Russ.)]
- Курбатова О.В., Купцова Д.Г., Закиров Р.Ш., Радыгина Т.В., Мовсисян Г.Б., Фрейдлин Е.В., Семикина Е.Л., Потапов А.С., Мурашкин Н.Н., Петричук С.В. Перспективы изучения иммунометаболизма в клинической практике // Вестник Ташкентской медицинской академии, 2023. № 3 (1). С. 98-104. [Kurbatova O.V., Kuptsova D.G., Zakirov R.Sh., Radygina T.V., Movsisyan G.B., Freidlin E.V., Semikina E.L., Potapov A.S., Murashkin N.N., Petrichuk S.V. Prospects for the study of immunometabolism in clinical practice. Vestnik Tashkentskoy meditsinskoy akademii = Bulletin of the Tashkent Medical Academy, 2023, no. 3 (1), pp. 98-104. (In Russ.)]
- Петричук С.В., Радыгина Т.В., Купцова Д.Г., Курбатова О.В., Семикина Е.Л., Мурашкин Н.Н., Потапов А.С., Фисенко А.П. Оценка эффективности анти-TNF терапии у детей с иммунозависимыми заболеваниями по активности NF-B в популяциях лимфоцитов // Российский иммунологический журнал, 2022. Т. 25, № 4. С. 491-498. [Petrichuk S.V., Radygina T.V., Kuptsova D.G., Kurbatova O.V., Semikina E.L., Murashkin N.N., Potapov A.S., Fisenko A.P. Evaluation of anti-TNF treatment efficiency in children with immune-dependent diseases by means of testing the NF-B activity in lymphocyte populations. Rossiyskiy immunologicheskiy zhurnal = Russian Journal of Immunology, 2022, Vol. 25, no. 4, pp. 491-498. (In Russ.)] doi: 10.46235/1028-7221-1191-EOA.
- Andres-Ejarque R., Ale H.B., Grys K., Tosi I., Solanky S., Ainali C., Catak Z., Sreeneebus H., Saklatvala J., Dand N., de Rinaldis E., Chapman A., Nestle F.O., Barnes M.R., Warren R.B., Reynolds N.J., Griffiths C.E.M., Barker J.N., Smith C.H., di Meglio P.; PSORT Consortium. Enhanced NF-B signaling in type-2 dendritic cells at baseline predicts non-response to adalimumab in psoriasis. Nat. Commun., 2021, Vol. 12, no. 1, 4741. doi: 10.1038/s41467-021-25066-9.
- Angajala A., Lim S., Phillips J.B., Kim J.H., Yates C., You Z., Tan M. Diverse Roles of Mitochondria in Immune Responses: Novel Insights Into Immuno-Metabolism. Front. Immunol., 2018, Vol. 9, 1605. doi: 10.3389/fimmu.2018.01605.
- Chen X., Sunkel B., Wang M., Kang S., Wang T., Gnanaprakasam J.N.R., Liu L., Cassel T.A., Scott D.A., Muñoz-Cabello A.M., Lopez-Barneo J., Yang J., Lane A.N., Xin G., Stanton B.Z., Fan T.W., Wang R. Succinate dehydrogenase/complex II is critical for metabolic and epigenetic regulation of T cell proliferation and inflammation. Sci. Immunol., 2022, Vol. 7, no. 70, eabm8161. doi: 10.1126/sciimmunol.abm8161.
- Conrad N., Misra S., Verbakel J.Y., Verbeke G., Molenberghs G., Taylor P.N., Mason J., Sattar N., McMurray J.J.V., McInnes I.B., Khunti K., Cambridge G. Incidence, prevalence, and co-occurrence of autoimmune disorders over time and by age, sex, and socioeconomic status: a population-based cohort study of 22 million individuals in the UK. Lancet, 2023, Vol. 401, no. 10391, pp. 1878-1890.
- Iacobazzi D., Convertini P., Todisco S., Santarsiero A., Iacobazzi V., Infantino V. New insights into NF-B signaling in innate immunity: focus on immunometabolic crosstalks. Biology (Basel), 2023, Vol. 12, no. 6, 776. doi: 10.3390/biology12060776.
- Kedia-Mehta N., Finlay D.K. Competition for nutrients and its role in controlling immune responses. Nat. Commun., 2019, Vol. 10, no. 1, 2123. doi: 10.1038/s41467-019-10015-4.
- Ma R., Ji T., Zhang H., Dong W., Chen X., Xu P., Chen D., Liang X., Yin X., Liu Y., Ma J., Tang K., Zhang Y., Peng Y., Lu J., Zhang Y., Qin X., Cao X., Wan Y., Huang B. A Pck1-directed glycogen metabolic program regulates formation and maintenance of memory CD8+ T cells. Nat. Cell Biol., 2018, Vol. 20, no. 1, pp. 21-27.
- Pucino V., Guma M. Editorial: The role of immunometabolism in autoimmune mediated and autoinflammatory disorders. Front. Immunol., 2022, Vol. 13, 969939. doi: 10.3389/fimmu.2022.969939.
- Rothschild D.E., McDaniel D.K., Ringel-Scaia V.M., Allen I.C. Modulating inflammation through the negative regulation of NF-B signaling. J. Leukoc. Biol., 2018, 10.1002/JLB.3MIR0817-346RRR. doi: 10.1002/JLB.3MIR0817-346RRR.
- Sharfe N., Dalal I., Naghdi Z., Lefaudeux D., Vong L., Dadi H., Navarro H., Tasher D., Ovadia A., Zangen T., Ater D., Ngan B., Hoffmann A., Roifman C.M. NFB pathway dysregulation due to reduced RelB expression leads to severe autoimmune disorders and declining immunity. J. Autoimmun., 2023, Vol. 137, 102946. doi: 10.1016/j.jaut.2022.102946.
- Sun S.C., Chang J.H., Jin J. Regulation of nuclear factor-B in autoimmunity. Trends Immunol., 2013, Vol. 34, no. 6, pp. 282-289.
- van den Bossche J., Horng T., Ryan D.G. Immunometabolism at the basis of health and disease; an editorial. Biochim. Biophys. Acta Mol. Basis Dis., 2023, Vol. 1869, no. 6, 166715. doi: 10.1016/j.bbadis.2023.166715.
Supplementary files




