Role of opioid receptors in phagocytosis regulation and production of Th1/Th2 cytokines under acute cold stress in non-immune mice
- Authors: Gein S.V.1,2, Sharavieva I.L.1
- 
							Affiliations: 
							- Institute of Ecology and Genetics of Microorganisms, Perm Federal Research Center, Ural Branch, Russian Academy of Sciences
- Perm State University
 
- Issue: Vol 27, No 1 (2024)
- Pages: 7-14
- Section: ORIGINAL ARTICLES
- Submitted: 17.08.2023
- Accepted: 03.10.2023
- Published: 06.08.2024
- URL: https://rusimmun.ru/jour/article/view/14713
- DOI: https://doi.org/10.46235/1028-7221-14713-ROO
- ID: 14713
Cite item
Full Text
Abstract
Endogenous opioid system plays an important role in the regulation of body functions under stress, providing stress-protective, analgesic and immunoregulatory effects. The aim of this work was to assess the effect of acute cold stress on the in vivo production of adaptive immunity cytokines IL-2, IL-4, IFNγ, phagocytosis, and production of reactive oxygen species in non-immunized mice with induced blockage of opioid receptors. The object of the study were male white mice subjected to acute cold stress at -20 °C for 10 or 60 minutes. To block opioid receptors, naloxone hydrochloride was used, which was administered subcutaneously at a dose of 0.2 mg/kg 20 min before inducing the stress. After the cold exposure, spleen and peritoneal lavage were obtained from the animals. The cytokine concentrations were determined using ELISA technique. The absorption activity of CD11+ cells of the peritoneal cavity was assessed using FITC-stained St.cohnii with a flow cytometer; the production of reactive oxygen species was assessed using the reaction of luminol-dependent chemiluminescence.
It was found that the both cold stress regimens caused naloxone-independent inhibition of spontaneous IFNγ production. In stimulated cultures, an inhibitory effect on IFNγ secretion was registered in animals subjected to stress for only 60 min, being also independent on the opioid receptor blockade. IL-2 production decreased in stimulated cultures against the background of 60 min stress naloxone independently. Both variants of cold stress had no effect on IL-4 production. Stress for 60 min inhibited absorption activity of CD11+ cells from the peritoneal lavage and activated production of oxygen radicals, being, however, canceled by naloxone administration. Hence, acute cold stress led to naloxone-independent inhibition of Th1 cytokine production by splenocytes, naloxone-dependent inhibition of phagocytosis and activation of the microbicidal potential of peritoneal cavity cells.
Keywords
Full Text
Введение
В настоящее время стресс – это общий профессиональный термин, используемый для описания любого физического, эмоционального, поведенческого ответа на угрожающие и провоцирующие факторы. Фактически стрессовый фактор представляет собой физический или психологический раздражитель, который может создавать психическое напряжение или физиологические реакции, вызывающие патологическое состояние [7]. Различные экстремальные факторы внутренней и внешней среды приводят к выраженной нейроэндокринной реакции, активации гипоталамо-гипофизарно-надпочечниковой системы и, как следствие, существенным изменениям в функционировании целого ряда органов и систем, в том числе и иммуннитета [11]. Холодовой стресс является одной из форм стресса и индуцируется действием низкой температуры окружающей среды (воздух, вода). При воздействии на организм данной стрессорной модели, как и при других видах стрессорных воздействий, имеет место активация симпатического отдела нервной системы и гипоталамо-гипофизарной оси [13].
Известно, что различные по характеру варианты стресса оказывают широкий спектр иммуномодулирующих эффектов, и холодовой стресс здесь не исключение. Показано, что воздействие низких температур приводит к существенным колебаниям в работе врожденного и адаптивного звеньев иммунитета [18], однако направленность эффектов может зависеть от целого ряда сопутствующих факторов, таких как условия, время воздействия и объект исследования [5, 6, 9]. В литературе есть данные, указывающие на то, что кратковременный повторяющийся холодовой стресс может оказывать стимулирующее действие на клеточно-опосредованное звено иммунитета [8], увеличивать активность и количество периферических естественных киллеров (NK) и CD8+Т-лимфоцитов [17].
Эндогенная опиоидная система играет важную роль в регуляции функций организма при стрессе, оказывает стресс-протективный, обезболивающий и иммунорегуляторный эффекты. Показано, холодовой стресс модулирует уровни опиоидных пептидов в ЦНС и периферических тканях [13, 15], в то же время роль опиоидных рецепторов в регуляции функций клеток иммунной системы при холодовом стрессе изучена недостаточно. Ранее нами было показано, что острый холодовой стресс усиливает секрецию макрофагами активных форм кислорода, IL-10, не влияет на продукцию провоспалительных цитокинов IL- 1β и TNFα [4] и модулирует секрецию Th1/ Th2-цитокинов у иммунизированных мышей в зависимости от времени введения антигена [2].
В настоящей работе мы оценили влияние острого холодового стресса на продукцию цитокинов адаптивного иммунитета IL-2, IL-4, IFNγ, фагоцитоз и продукцию активных форм кислорода у неиммунизированных мышей на фоне блокады опиоидных рецепторов in vivo.
Материалы и методы
Эксперимент выполнен на белых мышах-самцах массой тела 20-22 г. Животные содержались в условиях лабораторного вивария, при естественном освещении, неограниченном доступе к воде и кормам. Эксперименты проведены в соответствии с этическими нормами и рекомендациями по гуманизации работы с лабораторными животными, отраженными в «Европейской конвенции по защите позвоночных животных, используемых для экспериментальных и других научных целей» (Страсбург, 1986).
Мыши подвергались острому холодовому стрессу при – 20 °С в течение 10 или 60 мин. Налоксона гидрохлорид (Московский эндокринный завод, Россия) вводили подкожно в дозе 0,2 мг/кг за 20 мин до стрессорного воздействия. Все животные были разбиты на следующие группы: 1-я – контрольная, 2-я – холодовой стресс 10 или 60 мин, 3-я – холодовой стресс 10 или 60 мин + налоксон, 4-я – один налоксон. Через 1 ч после окончания экспериментальных воздействий животных выводили из эксперимента методом декапитации под эфирным наркозом и выделяли селезенку.
Для определения концентрации цитокинов в культурах спленоциты культивировали в среде RPMI (Gibco, Великобритания) 1640 с добавлением 10% инактивированной фетальной сыворотки (Capticorn scientific, Германия), 100 ЕД/мл гентамицина (KRK), в 24-луночных планшетах, содержащих 2,5 × 106 кл/мл. В качестве индуктора использовали конконовалин А (Кон А, Sigma; 20 мкг/мл). Супернатанты 48 ч культур собирали в пробирки «Эппендорфф», замораживали и хранили при — 20 °С. Определение концентрации цитокинов (IL-2, IL-4, IFNγ) проводили с использованием иммуноферментных тест-систем (R&D, США).
Для оценки поглотительной активности клеток перитонеальной полости инактивированные нагреванием клетки St. cohnii окрашивали изоционатом флюоресцина (FITC). Объем 100 мкл FITC-меченых бактерий (109 клеток/мл) смешивали с равным объемом клеток перитонеального смыва (1 × 106), инкубировали в течение 30 мин при 37 °С и промывали центрифугированием в фосфатно-солевом буфере. После чего окрашивали CD11b anti-mouse PE-окрашенными антителами (BioLegend, США). Результат оценивали с помощью проточного цитофлуориметра (Cytoflex, Beckman Coulter, США, программное обеспечение CytЕxpert). Гейт клеточной популяции определяли путем оценки фронтального и бокового светорассеивания и размера клеток; в каждом гейте оценивали 50 000 клеток. Результаты представили, как процент CD11b позитивных клеток, захвативших FITC-меченые бактериальные клетки.
Генерацию активных форм кислорода перитонеальными макрофагами оценивали с помощью спонтанной и индуцированной реакции люминол-зависимой хемилюминесценции (ЛЗХЛ). В 96-луночные непрозрачные белые плоскодонные планшеты вносили 105 клеток в 100 мкл раствора Хенкса. В качестве индуктора ЛЗХЛ использовали опсонизированный зимозан в концентрации 150 мкг/мл. В качестве маркера выраженности реакции ЛХЗЛ использовался люминол 10-5 М. Регистрация результатов проводилась в течение часа с интервалом в 5 мин с помощью многофункционального спектрофотометра TECAN (Австрия).
Статистическая обработка результатов проведена с использованием факторного анализа и LSD-критерия для межгруппового сравнения. Все данные на рисунках представлены в виде средней и ее стандартной ошибки (M±m).
Результаты
Установлено, что выраженный эффект двух вариантов острого холодового стресса был выявлен в отношении продукции IFNγ. Как видно из рисунка 1, обе экспериментальные модели угнетали спонтанную продукцию IFNγ. В стимулированных культурах угнетающее влияние на секрецию IFNγ было зарегистрировано у животных, подвергнутых только 60-минутному стрессу. Более короткий 10-минутный стресс на стимулированную продукцию IFNγ значимого влияния не оказывал, однако можно отметить имеющую место выраженную тенденцию к угнетению данного показателя. В группах животных, подвергнутых стрессу на фоне введения налоксона, угнетение продукции IFNγ сохранялось. Оценка участия опиоидных рецепторов в регуляции продукции IL-2 и IL-4 при холодовом стрессе показала, что 60-минутный холодовой стресс угнетал стимулированную продукцию спленоцитами IL-2 (рис. 2). Как и в случае с IFNγ, этот эффект никак не зависел от введения мышам на фоне стресса налоксона гидрохлорида, на продукцию IL-4 оба варианта холодового стресса влияния не оказывали (рис. 3).
Рисунок 1. Влияние 10 мин (А) и 60 мин (Б) холодового стресса на спонтанную и стимулированную продукцию IFNγ спленоцитами мыши в условиях блокады опиатных рецепторов
Примечание. По оси абсцисс: 1 – контроль, 2 – стресс, 3 – стресс на фоне введения налоксона, 4 – налоксон. * – p < 0,05 по отношению к контролю, (n = 9).
Figure 1. Effect of 10 min (A) and 60 min (B) cold stress on spontaneous and stimulated production of IFNγ by mouse splenocytes under conditions of blockade of opiate receptors
Note. On the abscissa: 1, control; 2, stress; 3, stress and naloxone; 4, naloxone. *, p < 0.05 in relation to observation, (n = 9).
Рисунок 2. Влияние 10 мин (А) и 60 мин (Б) холодового стресса на спонтанную и стимулированную продукцию IL-2 спленоцитами мыши в условиях блокады опиатных рецепторов
Примечание. По оси абсцисс: 1 – контроль, 2 – стресс, 3 – стресс на фоне введения налоксона, 4 – налоксон. * – p < 0,05 по отношению к контролю, (n = 9).
Figure 2. Effect of 10 min (A) and 60 min (B) cold stress on spontaneous and stimulated production of IL-2 by mouse splenocytes under conditions of blockade of opiate receptors
Note. On the abscissa: 1, control; 2, stress; 3, stress and naloxone; 4, naloxone. *, p < 0.05 in relation to observation, (n = 9).
Рисунок 3. Влияние 10 мин (А) и 60 мин (Б) холодового стресса на спонтанную и стимулированную продукцию IL-4 спленоцитами мыши в условиях блокады опиатных рецепторов
Примечание. По оси абсцисс: 1 – контроль, 2 – стресс, 3 – стресс на фоне введения налоксона, 4 – налоксон. * – p < 0,05 по отношению к контролю, (n = 9).
Figure 3. Effect of 10 min (A) and 60 min (B) cold stress on spontaneous and stimulated production of IL-4 by mouse splenocytes under conditions of blockade of opiate receptors
Note. On the abscissa: 1, control; 2, stress; 3, stress and naloxone; 4, naloxone. *, p < 0.05 in relation to observation, (n = 9).
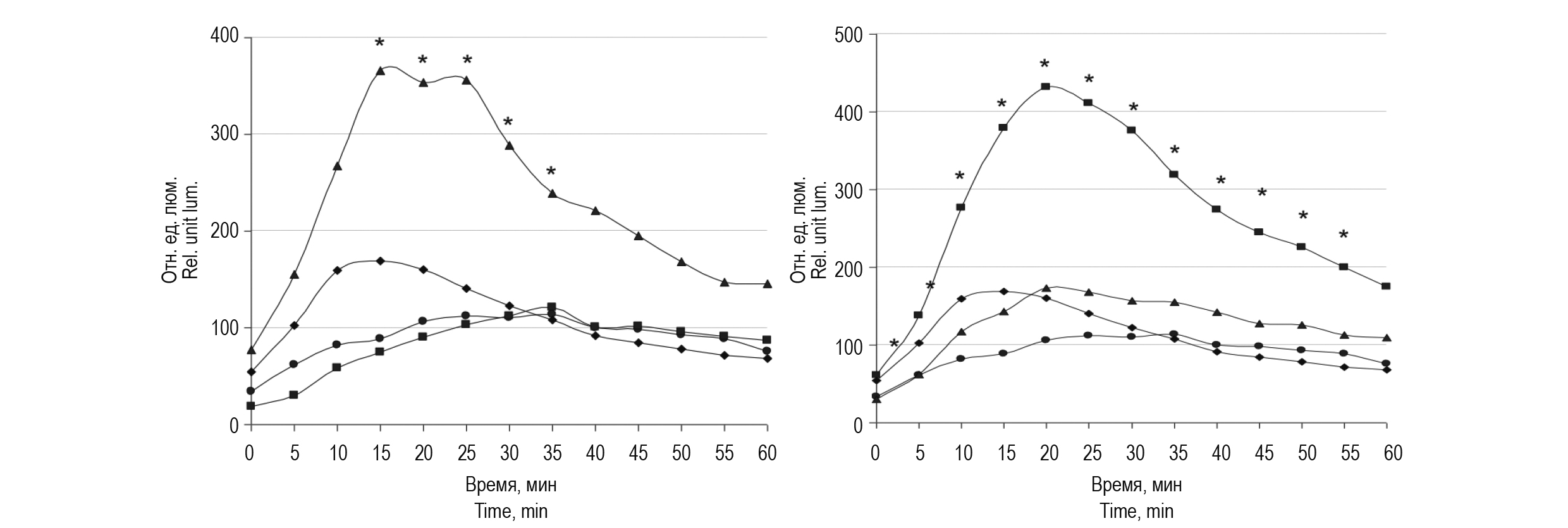
При оценке влияния обоих вариантов холодового стресса на поглотительную активность клеток перитонеальной полости мышей было установлено, что у животных, подвернутых стрессу в течение 60 мин, наблюдалось снижение процента фагоцитоза CD11+ клеток перитонеального смыва, которая отменялась введением мышам налоксона. Экспозиция мышей при -20° в течение 10 мин также приводила к снижению фагоцитарной активности клеток перитонеальной полости, однако данное снижение носило характер тенденции, статистически недостоверной (рис. 4). Также сразу после окончания стресса мы проводили оценку продукции АФК клетками перитонеальной полости мышей. Установлено, что в стимулированных зимозаном культурах (рис. 5) 10-минутный холодовой стресс не влиял на продукцию АФК и стимулировал данный показатель в группе животных, подвергнутых стрессу на фоне введения налоксона. В группе животных, подвергнутых 60-минутному стрессу, напротив, наблюдалась стимуляция продукции АФК с 5 по 55 мин наблюдения, которая отменялась на фоне введения животным налоксона.
Рисунок 4. Влияние 10 мин и 60 мин холодового стресса на поглотительную активность CD11+ клеток перитонеального смыва мыши в условиях блокады опиатных рецепторов
Примечание. По оси ординат: процент CD11+ клеток, поглотивших микроорганизмы. По оси абсцисс: 1 – контроль, 2 – стресс 10 мин, 3 – стресс 60 мин, 4 – стресс 10 мин на фоне введения налоксона, 5 – стресс 60 мин на фоне введения налоксона, 6 – налоксон. * – p < 0,05 по отношению к контролю, (n = 9).
Figure 4. Influence of 10 min and 60 min cold stress on the phagocytosis of CD11+ mouse peritoneal lavage cells under conditions of blockade of opiate receptors
Note. Abscissa axis: 1, control; 2, 10 min stress; 3, 60 min stress; 4, 10 min stress against the background of naloxone administration; 5-60 min stress against the background of naloxone administration; 6, naloxone. *, p < 0.05 in relation to the control, (n = 9).
Рисунок 5. Влияние 10 мин (А) и 60 мин (Б) холодового стресса на стимулированную продукцию АФК перитонеальными клетками мыши в условиях блокады опиатных рецепторов
Примечание. ● – контроль, ■ – стресс 10 или 60 мин, ▲– стресс на фоне блокады опиатных рецепторов, ♦ – налоксон. * – p < 0,05 по отношению к контролю, (n = 9).
Figure 5. Effects of 10 min (A) and 60 min (B) cold stress on stimulated ROS production by mouse peritoneal cells under conditions of blockade of opiate receptors
Note. ●, контроль; ■, стресс 10 или 60 мин; ▲, стресс на фоне блокады опиатных рецепторов; ♦, налоксон. *, p < 0.05 по отношению к контролю, (n = 9).
Обсуждение
Подводя общий итог, можно сказать, что острый холодовой стресс угнетает продукцию цитокинов, ответственных за процесс Th1-поляризации Т-клеток и, как следствие, тормозит реакции клеточного звена иммунитета у неиммунизироанных (интактных) мышей. Параллельно с этим, холодовой стресс угнетает такой важный показатель, как фагоцитоз, и активирует продукцию кислородных радикалов, которые, наряду с микробицидным, обладают выраженным повреждающим эффектом, в том числе по отношению к клеткам иммунной системы [12].
Накопленные в литературе данные об иммуномодулирующих эффектах холодового стресса достаточно противоречивы и неоднозначны [2, 13]. Результаты настоящей работы указывают на подавление реакций клеточного иммунитета и фагоцитоза, что делает холодовой стресс, даже кратковременный, крайне негативным воздействием, которое способствует увеличению риска развития вирусных инфекций и опухолей. В ряде исследований установлено, что содержание мышей при субоптимальных температурах повышает риск развития опухолей, кардиоваскулярных и нейродегенеративных расстройств [16]. В то же время в литературе присутствуют данные, указывающие на возможность стимуляции фагоцитоза, цитолитической активности NK и CD8+ клеток, продукции IL-2 и IFNγ [13, 19], а также высказывается предположение, что умеренный холодовой стресс может быть полезен, в частности для усиления противоопухолевого иммунитета. Ранее нами было показано, что острый холодовой стресс может оказывать стимулирующее действие на антителогенез, продукцию IL-2 и IL- 4, но только через сутки после введения антигена. Если стрессорное воздействие производилось до иммунизации, стимулирующего действия не наблюдалось [2].
Интерпретация роли эндогенной опиоидной системы в иммуномодулирующих эффектах стресса является не простой задачей. Ранее нами было показано, что отдельные модулирующие эффекты стресса, а также опиоидных пептидов не отменялись налоксоном как in vitro, так и in vivo [1, 2, 3]. Динамика различных иммунологических показателей на фоне блокады опиоидных рецепторов в различных моделях стресса может меняться разнонаправлено, показывая зависимость от целого ряда факторов, таких как модель стресса, время действия, наличие антигенной стимуляции, доза антагониста и т. д. В настоящее время известно, что все три типа рецепторов (µ, δ, κ) имеют схожую структуру и с высокой степенью аффинности связывают представителей одного из семейств эндогенных опиоидных пептидов (эндорфины, эндоморфины, энкефалины, динорфины), однако с более низким сродством могут связывать и «не свои» лиганды. Интересным является тот факт, что, в отличие от эндогенных пептидов, их синтетические аналоги взаимодействуют со всем спектром опиоидных рецепторов беспорядочно [14]. Известно, что в пределах опиоидных рецепторов могут существовать отдельные сайты для связывания пептидных и непептидных агонистов [10], помимо этого специфичность рецепторов может постоянно претерпевать некоторые изменения из-за процесса альтернативного сплайсинга. Как показано в настоящей работе, если продукция Th1-цитокинов (IL-2, IFNγ) угнеталась налоксон-независимо, то изменение показателей врожденного иммунитета отменялось блокадой опиоидных рецепторов.
Заключение
Таким образом, по нашему мнению, при остром холодовом стрессе блокада опиоидных рецепторов модифицирует только отдельные показатели и в большей степени со стороны врожденного иммунитета, в регуляции реакций адаптивного иммунитета опиоидная система при холодовом стрессе принимает довольно скромное участие.
About the authors
Sergey V. Gein
Institute of Ecology and Genetics of Microorganisms, Perm Federal Research Center, Ural Branch, Russian Academy of Sciences; Perm State University
							Author for correspondence.
							Email: gein@iegm.ru
				                	ORCID iD: 0000-0002-0799-3397
				                	SPIN-code: 2323-9572
																		                								
PhD, MD (Medicine), Professor, Department of Microbiology and Immunology, Perm State National Research University; Director, Institute of Ecology and Genetics of Microorganisms, Perm Federal Research Center, Ural Branch, Russian Academy of Sciences
Russian Federation, Perm; PermI. L. Sharavieva
Institute of Ecology and Genetics of Microorganisms, Perm Federal Research Center, Ural Branch, Russian Academy of Sciences
														Email: irin.sh@gmail.com
				                					                																			                								
PhD (Biology), Research Associate, Laboratory of Developmental Biochemistry of Microorganisms
Russian Federation, PermReferences
- Гейн С.В., Баева Т.А., Гейн О.Н., Черешнев В.А. Роль моноцитов в реализации эффектов β-эндорфина и селективных агонистов µ- и δ-опиатных рецепторов на пролиферативную активность лимфоцитов периферической крови // Физиология человека, 2006. Т. 32, № 3. С 111-116. [Gein S.V., Baeva T.A., Gein O.N., Chereshnev V.A. The role of monocytes in the effects of beta-endorphin and selective agonists of mu- and delta-Opiate receptors on the proliferative activity of peripheral blood lymphocytes. Fiziologiya cheloveka = Human Physiology, 2006, Vol. 32, no. 3, pp. 111-116. (In Russ.)]
- Гейн С.В., Брагина Н.А., Шаравьева И.Л. Влияние стресса на антителогенез, продукцию IL-2, IL-4, IFN-γ в зависимости от времени введения антигена и оценка роли опиоидных рецепторов // Бюллетень экспериментальной биологии и медицины, 2023. Т. 175. № 3. С. 298-304. [Gein S.V., Bragina N.A., Sharav’eva I.L. Effect of stress on the production of antibodies and IL-2, IL-4, IFNγ depending on the time of antigen administration and evaluation of the role of opioid receptors. Byulleten eksperimentalnoy biologii i meditsiny = Bulletin of Experimental Biology and Medicine, 2023, Vol. 175, no. 3, pp. 298-304. (In Russ.)]
- Гейн С.В., Кадочникова Я.А. Влияние эндоморфинов-1,2 на функциональную активность нейтрофилов и моноцитов периферической крови in vitro // Физиология человека, 2021. Т. 47, № 6. С. 65-71. [Gein S.V., Kadochnikova Y.A. Effect of endomorphins-1, 2 on functional activity of neutrophils and peripheral blood monocytes in vitro. Fiziologiya cheloveka = Human Physiology, 2021, Vol. 47, no. 6, pp. 65-71. (In Russ.)]
- Гейн С.В., Шаравьева И.Л. Влияние холодового стресса на функциональную активность перитонеальных макрофагов мыши в условиях блокады опиатных рецепторов // Российский физиологический журнал им. Сеченова, 2016. Т. 102, № 2. С. 188-194. [Gein S.V., and Sharav’eva I.L. Effects of cold stress on the functional activity of mouse peritoneal macrophages in conditions of opiate receptor. Rossiiskii fiziologicheskii zhurnal imeni I.M. Sechenova = I. Sechenov Russian Physiological Journal, 2016, Vol. 102, no. 2, pp. 188-194. (In Russ.)]
- Макарова О.В., Трунова Г.В., Диатроптов М.Е., Серебряков С.Н., Кондашевская М.В., Малайцев В.В. Сравнительная характеристика продукции цитокинов активированными конканавалином А спленоцитами мышей BALB/C и С57В1/6 при холодовом воздействии // Бюллетень экспериментальной биологии и медицины, 2005. Т. 139, № 2. С. 188- 190. [Makarova. O.V., Trunova G.V., Diatroptov M.E., Serebryakov S.N., Kondashevskaya M.V., Malaitsev V.V. Comparative characterization of cytokine production by concanavalin A-activated splenocytes from BALB/c and C57BL/6 mice after cold exposure. Byulleten eksperimentalnoy biologii i meditsiny = Bulletin of Experimental Biology and Medicine, 2005, Vol. 139, no. 2, pp. 188-190. (In Russ.)]
- Aviles H., Johnson M.T., Monroy F.P. Effects of cold stress on spleen cell proliferation and cytokine production during chronic Toxoplasma gondii infection. Neuroimmunomodulation, 2004, Vol. 11, pp. 93-102.
- Bali A., Randhawa P. K., Jaggi A. S. Stress and opioids: Role of opioids in modulating stress-related behavior and effect of stress on morphine conditioned place preference. Neurosci. Biobehav. Rev., 2015, Vol. 51, pp. 138-150.
- Banerjee S.K., Aviles H., Fox M.T., Monroy F.P. Cold stress-induced modulation of cell immunity during acute Toxoplasma gondii infection in mice. J. Parasitol., 1999, Vol. 85, no. 3, pp. 442-447.
- Hangalapura B.N., Kaiser M.G., Poel J.J., Parmentier H.K., Lamont S. Cold stress equally enhances in vivo pro-inflammatory cytokine gene expression in chicken lines divergently selected for antibody responses. Dev. Comp. Immunol., 2006, Vol. 30, pp. 503-511.
- Manglik A., Kruse A.C., Kobilka T.S., Thian F.S., Mathiesen J.M., Sunahara R.K., Pardo L., Weis W.I., Kobilka B.K., Granier S. Crystal structure of the µ-opioid receptor bound to a morphinan antagonist. Nature, 2012, Vol. 485, pp. 321-326.
- McEwen B.S., Biron C.A., Brunson K.W., Bulloch K., Chambers W.H., Dhabhar F.S., Goldfarb R.H., Kitson R.P., Miller A.H., Spencer R.L., Weiss. J.M. The role of adrenocorticoids as modulators of immune function in health and disease: neural, endocrine and immune interactions. Brain Res. Brain Res. Rev., 1997, Vol. 23, pp. 79-133.
- Palermo-Neto J., de Oliveira Massoco C., Robespierre de Souza W. Effects of physical and psychological stressors on behavior, macrophage activity, and Ehrlich tumor growth. Brain Behav. Immun., 2003, Vol. 17 no. 1, pp. 43-54.
- Shevchuk N.A., Radoja S. Possible stimulation of anti-tumor immunity using repeated cold stress: a hypothesis. Infect. Agent Cancer, 2007, Vol. 2, no. 20, pp. 1-9.
- Smith E.M. Neuropeptides as signal molecules in common with leukocytes and the hypothalamic-pituitary-adrenal axis. Brain Behav. Immun., 2008, Vol. 22, no. 1, pp. 3-14.
- Vaswani K.K., Richard C.W., Tejwani G.A. Cold swim stress-induced changes in the levels of opioid peptides in the rat CNS and peripheral tissues. Pharmacol. Biochem. Behav., 1988, Vol. 29, no. 1, pp. 163-168.
- Vialard F., Olivier M. Thermoneutrality and immunity: how does cold stress affect disease? Front. Immunol., 2020, Vol. 11, 588387. doi: 10.3389/fimmu.2020.588387.
- Willemsen G., Carroll D., Ring C., Drayson M. Cellular and mucosal immune reactions to mental and cold stress: associations with gender and cardiovascular reactivity. Psychophysiology, 2002, Vol. 39, no. 3, pp. 222-228.
- Zhang Z., Chen B., Yuan L., Niu C. Acute cold stress improved the transcription of pro-inflammatory cytokines of Chinese soft-shelled turtle against Aeromonas hydrophila. Dev. Comp. Immunol., 2015, Vol. 49, no. 1, pp. 127-137.
- Zhao F.Q., Zhang Z.W., Qu J.P., Yao H.D., Li M., Li S., Xu S.W. Cold stress induces antioxidants and Hsps in chicken immune organs. Cell Stress Chaperones, 2014, Vol. 19, pp. 635-648.
Supplementary files
 
				
			 
					 
						 
									
 
  
  
  
  
  Email this article
			Email this article 







 СМИ зарегистрировано Федеральной службой по надзору в сфере связи, информационных технологий и массовых коммуникаций (Роскомнадзор).
 СМИ зарегистрировано Федеральной службой по надзору в сфере связи, информационных технологий и массовых коммуникаций (Роскомнадзор).