Immunotherapy for children with malignant brain tumors
- Authors: Dolgopolov I.S.1,2, Rykov M.Y.3
-
Affiliations:
- Tver State Medical University
- Children’s Regional Clinical Hospital
- Russian State Social University
- Issue: Vol 27, No 1 (2024)
- Pages: 85-94
- Section: ORIGINAL ARTICLES
- Submitted: 13.12.2023
- Accepted: 13.03.2024
- Published: 06.08.2024
- URL: https://rusimmun.ru/jour/article/view/16566
- DOI: https://doi.org/10.46235/1028-7221-16566-IFC
- ID: 16566
Cite item
Full Text
Abstract
The incidence of high-grade malignant gliomas (MG) ranges from 35 to 46% of all central nervous system tumors. Despite combined therapy including surgery, radiation treatment and chemotherapy, overall five-year survival does not exceed 10%. The advent of novel immunotherapeutic strategies has promoted a renewed hopes for the treatment of MG. The aim of the present study was to improve the survival rates of glioma patients.
Our study included 5 pediatric patients at the median age of 7.6 years (2-16). Three pts had anaplastic astrocytoma (AA) (1st relapse, 1 pt; 2nd relapse, in 2 pts), One patient was diagnosed with glioblastoma multiforme (GBM) (3rd recurrence), and 1 child had diffuse brainstem glioma (BSG). The median time to the first relapse was 12 months (4 to 16), the second relapse occurred at a median of 5 months (1 to 8). The protocol of immunotherapy included combined administration of autologous dendritic cell-based vaccine (DV) and repeated intrathecal/intraventricular injections of donor allogeneic immunocompetent cells (alloIC) for at least 2 years.
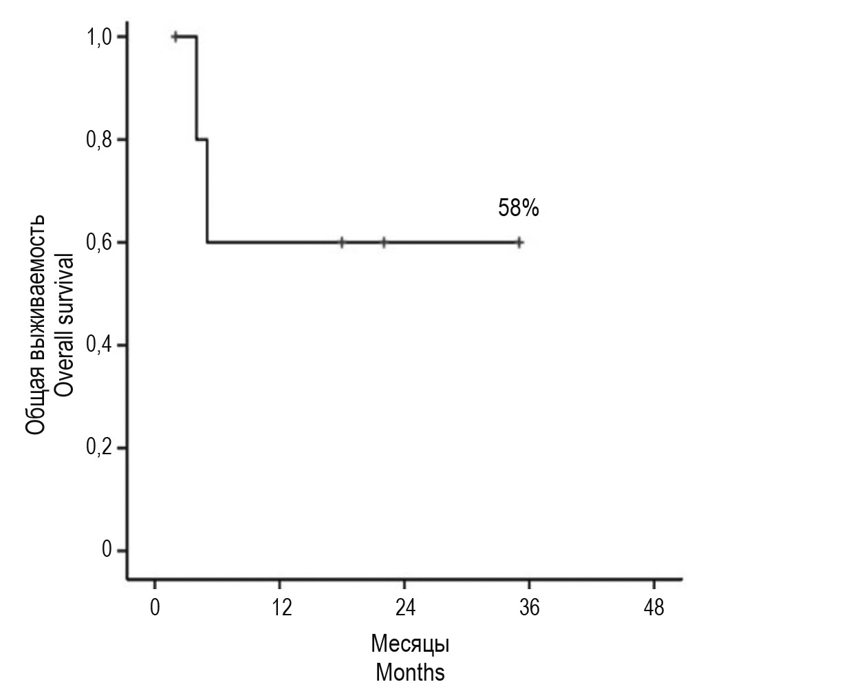
Two of 3 pts with AA experienced a progression-free interval of 67 and 71 months. One patient with 3rd GBM relapse is alive without any treatment for 13.3 years after starting the immunotherapy. The median time of follow-up was 67 months, with the 2-year overall survival rate of 58%. Two pts died from the disease progression within 6 and 7 months from the beginning of immunotherapy. Over the period of treatment, the patients received a median of 20 alloIC injections (8 to 60), and 18 DV administrations (8 to 44). No serious side-effects were observed.
Immunotherapy could be an promising option for treating patients with high-grade malignant gliomas refractory to conventional therapy and, therefore, deserves further investigations.
Full Text
Введение
Злокачественные глиомы (высокой степени злокачественности), такие как анапластические астроцитомы (степень III по классификации ВОЗ) и глиобластомы (степень IV по классификации ВОЗ), имеют неблагоприятный прогноз у детей и у взрослых. Глиобластома (ГБМ) является наиболее злокачественной из глиальных опухолей (степень IV) и составляет более половины всех первичных опухолей головного мозга в США с ежегодной распространенностью примерно 3,19 на 100 000 человек. В педиатрической практике частота возникновения анапластической астроцитомы / глиобластомы составляет 1,1- 1,2 новых случаев на 100 000 детей в возрасте до 15 лет [1, 2]. Глиомы головного мозга представляют собой уникальную проблему из-за их высокоинвазивной природы, что приводит к почти 100% частоте рецидивов даже в случаях полной тотальной резекции на основании рентгенологических критериев [3]. Более того, обычно наблюдается плохой ответ на существующее лечение из-за внутренней гетерогенности опухоли [4, 5]. Несмотря на комбинированное лечение, включающее хирургическое вмешательство, лучевую терапию и химиотерапию, средняя выживаемость этих пациентов остается неудовлетворительной. Средняя выживаемость пациентов с ГБМ составляет примерно 14 месяцев даже при агрессивных режимах лечения [2, 6]. Общая 2-летняя выживаемость (ОВ) у взрослых пациентов, получивших послеоперационную лучевую терапию с последующим назначением темозоламида в адьювантном режиме, составляет 38%, а 3-летняя выживаемость не превышает 10-12% [7, 8, 9]. Общая выживаемость детей с анапластической астроцитомой в течение 1-го года составляет 85,5% и неуклонно снижается в течение следующих 2-го и 3-го года, достигая 70,9% и 27,3% соответственно. Медиана выживаемости пациентов с ГБМ снижается еще более значимо в течение первых 3 лет до 68,1%, 23,7% и 4,3% соответственно [9].
Появление иммунотерапевтических подходов к лечению глиом породило новый оптимизм в отношении лечения злокачественных глиом [10, 11]. Большинство из этих стратегий сосредоточены на индукции специфических иммунных реакций против опухоль-ассоциированных антигенов, либо используют механизмы врожденного противоопухолевого иммунитета [12, 13]. Еще одним важным направлением иммунотерапии, привлекающим большое внимание, является использование дендритных вакцин [14, 15]. Большое количество публикаций и исследований I-II фаз, представленных за последнее десятилетие в специальной литературе, свидетельствуют о том, что применение дендритных вакцин и адоптивной клеточной терапии является привлекательной опцией для пациентов с глиомами головного мозга высокой степени злокачественности, прежде всего за счет низкой токсичности и минимума побочных эффектов самой терапии. Эффективность иммунотерапии также не вызывает сомнения. Основными проблеми остается поиск мишеней для активации антигенпрезентирующих и цитотоксических клеток и непрогнозируемый характер ответа на иммунотерапию у конкретного пациента.
Мы представляем серию из 5 педиатрических пациентов с глиомами II-IV степени злокачественности, получивших комбинированную иммунотерапию на основе аллогенных иммунокомпетентных клеток от родственного донора и дендритной специфической противоопухолевой вакцины.
Материалы и методы
Исследуемый контингент пациентов
В исследование включено 5 пациентов в возрасте от 2 до 16 лет (средний возраст 7,6 лет), из них у 2 больных диагностирована анапластическая астроцитома (АА) головного мозга, у 1 пациента – АА спинного мозга C7-Th10, у 1 больного – мультиформная глиобластома (МГБ) и у 1 больного – диффузная опухоль моста (табл. 1).
ТАБЛИЦА 1. ХАРАКТЕРИСТИКА ПАЦИЕНТОВ, ВКЛЮЧЕННЫХ В ИССЛЕДОВАНИЕ
TABLE 1. CHARACTERISTICS OF PATIENTS INCLUDED IN THE STUDY
№ No. | Пол Gender | Возраст Age | Диагноз Diagnosis | Событийность до включения в протокол Events before being included in the protocol | Проводимое ранее лечение Previous treatment |
1 | Ж F | 3,2 | Диффузная опухоль моста Diffuse bridge tumor | Первичный Primary | ЛТ 54 Гр. + ТМЗ Radiation therapy 54 G. + Temozolamide |
2 | М M | 11 | АА спинного мозга 2-й рецидив Anaplastic astrocytoma of the spinal cord 2nd relapse | 1) Рецидив 1 1) Relapse 1 2) Рецидив 2 2) Relapse 2 | Операция + ЛТ 45,8 Гр 1) операция + ТМЗ № 5 2) биопсия Surgery + radiation therapy 45.8 G 1) operation + Temozolamide No. 5 2) biopsy |
3 | Ж F | 5,6 | АА головного мозга 1-й рецидив Anaplastic astrocytoma of the brain 1st relapse | 1) Рецидив 1 1) Relapse 1 | Операция + ЛТ 56 Гр + ТМЗ 1) операция Surgery + radiation therapy 56g + Temozolamide 1) operation |
4 | М M | 2 | АА головного мозга 2-й рецидив Anaplastic astrocytoma of the brain 2nd relapse | 1) Рецидив 1 1) Relapse 1 2) Рецидив 2 2) Relapse 2 | Операция + ТМЗ 1) операция + ПХТ (кармустин + иринотекан) 2) биопсия Operation + Temozolomide 1) surgery + polychemotherapy (carmustine + irinotecan) 2) biopsy |
5 | М M | 16 | МГБ, 3-й рецидив Glioblastoma multiforme 3rd relapse | 1) Рецидив 1 1) Relapse 1 2) Рецидив 2 2) Relapse 2 3) Рецидив 3 3) Relapse 3 | Операция + ЛТ 58 Гр + ТМЗ 1) операция + гамма-нож 25 Гр 2) операция + кибер-нож 20 Гр + ХТ 3) биопсия Surgery + radiation therapy 58 G + Temozolomide 1) operation + gamma knife 25 Gr 2) surgery + cyber knife 20 G + chemotherapy 3) biopsy |
В исследование были включены пациенты с опухолями, прогрессирующими после первичного лечения, или пациенты с рецидивами глиом. В одном случае речь шла о первом рецидиве, в двух случаях о втором рецидиве и у одного пациента был диагностирован третий рецидив МГБ. Все пациенты получили максимально возможную химиолучевую терапию. В одном случае лучевая терапия не проводилась в связи с возрастом пациента. На момент включения в протокол во всех случаях обнаруживалась видимая на МРТ остаточная опухоль. Во всех случаях, кроме пациента с диффузной глиомой ствола, перед включением в исследование проводилась биопсия для получения опухолевого материала. В случае диффузной глиомы ствола опухолевый материал был получен из нескольких образцов опухолевой ткани, хранящейся в биобанке.
Все пациенты должны были подписать письменное информированное согласие, и исследование было одобрено Наблюдательным советом учреждения.
Программа терапии
При лечении пациентов применялась комбинированная схема иммунотерапии, включающая в себя интратекальные (интравентрикулярные) введения аллогенных лимфоцитов от родственного HLA частично-совместимого донора и дендритных вакцин, нагруженных опухолевым лизатом. Общая продолжительность лечения составляла 2 года или продолжалась до момента констатации явного прогрессирования опухоли. С периодичностью 1 раз в 3 месяца проводилась контрольная МРТ головного мозга. Наблюдение за пациентами продолжалось до момента гибели от прогрессирования опухолевого процесса или от других причин. Период наблюдения составил от 3 месяцев до 12 лет.
Получение аллогенных иммунокомпетентных клеток
Близкие родственники пациентов были выбраны в качестве доноров аллогенных иммунокомпетентных клеток (аллоИК) для интратекальных (интравентрикулярных) трансфузий аллогенных лимфоцитов. В 2 случаях донором служила мать пациента, в 2 случаях отец и в 1 случае иммунокомпетентные клетки были получены от бабушки пациента. Несовместимость в паре донор / пациент по HLA составила 3/6 антигенов в 5 случаях и в 1 случае пара была совместима только по 1 из 6 HLA антигенам. Донорские лимфоциты были собраны методом цитафереза на непрерывно-поточном клеточном сепараторе после 4 дней стимуляции донора Г-КСФ. В среднем обрабатывалось 0,8 (0,75-1,2) объема циркулирующей крови донора. Продукт цитафереза в условиях ламинара был распределен равномерно на 20 доз, замораживался согласно стандартной методике с добавлением диметилсульфоксида (ДМСО) и хранился в криобанке в парах жидкого азота. Субпопуляции аллогенных лимфоциитов оценивали с помощью проточного цитометрического анализа поверхностных маркеров, таких как CD34+, CD4+, CD8+, CD3-/CD56+, HLA-DR+.
Получение антиген-презентирующих клеток и приготовление дендритных вакцин
Аутологичные дендритные клетки (ДК) были получены из мононуклеарных клеток периферической крови пациентов, которые были собраны методом лейкафереза через 1-2 недели после операции (биопсии). Для сбора 2-3 × 109 мононуклеарных клеток было обработано в среднем 0,7 (0,5-1,3) объема циркулирующей крови пациента. Стандартная методика подготовки ДВ и криоконсервации описана ранее [16, 17]. Зрелые ДК экспрессировали CD80, CD83, CD86, CCR7.
Проведение клеточной терапии
Одна доза ДВ, содержащая в среднем 2,8 (2,5-5,0) × 106 зрелых ДК, вводилась внутрикожно в 4 участка тела вблизи крупных лимфатических коллекторов один раз в две недели в течение первых 3 месяцев, а затем каждые 4 недели в течение следующих 2 лет. АллоИК вводились интратекально путем спинномозговой пункции (интравентрикулярно при наличии резервуара Омайо) еженедельно в течение первых 3 месяцев (всего 12 инъекций), затем один раз в месяц в течение последующих 9 месяцев (всего 9 инъекций) после разморозки на водянной бане и отмывки от ДМСО. Среднее количество введенных CD3+, CD56+/CD16+/CD3- и CD34+ клеток составило 6,5 × 108 (3,3-16,3), 1,1 × 108 (0,8-1,7) и 5,2 × 106 (2,1-10,1) соответственно.
Результаты
Трое пациентов (1 с МГБ и 2 с АА головного мозга) прожили более 3 лет без признаков прогрессирования опухоли. Один пациент жив на настоящий момент с периодом наблюдения 13,3 года без признаков опухоли. Период безрецидивного течения у двух пациентов с АА головного мозга составил 67 и 71 месяц, из них 39 и 47 месяцев после окончания иммунотерапии (ИТ). Первый из двух пациентов с АА, взятый в исследование в возрасте 2 лет и не получивший лучевой терапии, скончался по месту жительства через 70 месяцев от начала ИТ. Смерть наступила скоропостижно от отека мозга на фоне инфекции по данным персональной коммуникации с родителями пациента. У второго пациента развилась вторая опухоль в необлученной анатомической области головного мозга. Биопсия не проводилась. Пациент получал лечение по месту жительства по протоколу HIT-91 без эффекта и погиб от прогрессирования через 4 месяца от развития рецидива. В обоих случаях патоморфологическое исследование не поводилось в связи с отказом родителей. Двое пациентов (с диффузной опухолью моста АА спинного мозга) не ответили на терапию и погибли от прогрессирования на фоне ИТ через 5 и 6 месяцев от начала терапии соответственно.
Медиана наблюдения за пациентами составила 67 месяцев. Двухлетняя ОВ составила 58% (рис. 1). Всего было проведено 121 введение аллоИК и 105 введений ДВ у 5 пациентов. Следует отметить низкую токсичность терапии. Из побочных эффектов отмечались кожная реакция в виде гиперемии в местах проведения вакцинации у 3 больных, у 2 также отмечалась локальная мышечная болезненность, лихорадка до 38 °С. Специального лечения указанные реакции не требовали и купировались самостоятельно. На 121 интратекальное (интравентрикулярное) введение наблюдалось 8 (7%) эпизодов постпункционного синдрома длительностью не более 24 часов, который был не требовал интенсивного лечения.
Рисунок 1. Общая двухлетняя выживаемость пациентов с глиомами
Figure 1. Overall two-year survival in patients with gliomas
В качестве примера приводим клинический случай:
Больной Т., 16 лет, МГБ левой теменной области, третий рецидив. Первично пациенту была выполнена частичная резекция опухоли левой теменной области с последующей лучевой терапией в дозе 58 Гр (2 Гр, 5 дней в неделю) в сочетании с ТМЗ 80 мг/м²/сут, 5 раз в неделю в течение 3 недель. Затем пациент получил 6 курсов ТМЗ в дозе 200 мг/м²/сут в течение 5 дней, с интервалом в 28 дней. Через 15 месяцев констатирован локальный рецидив. После биопсии опухоли была проведена ЛТ «гамма-ножом» (однократная доза 25 Гр на краю поражения, время облучения – 49 мин.). Через 8 месяцев был диагностирован 2-й рецидив ГБМ, сопровождающийся генерализованными и парциальными эпилептическими приступами. Индекс Карновского 40. Была выполнена частичная резекция опухоли и проведена ЛТ по программе «кибер-нож» в дозе 20 Гр. Прогрессирование процесса наблюдалось через 3 месяца после операции на фоне химиотерапии, включающей циклофосфамид 2000 мг/ м²/ курс, этопозид 500 мг/м²/курс и карбоплатин 500 мг/ м²/ курс. Наблюдалось ухудшение неврологических симптомов, судорожного синдрома и увеличение объема опухоли на МРТ. Пациент был включен в протокол иммунотерапии. Донором для аллоИК была мать пациента, совместимая по 3 из 6 HLA антигенам. После 5 инъекций аллоИК и 3 внутрикожных введений ДВ на МРТ отмечена стабилизация заболевания. У пациента течение первых 24 часов после введения ДВ отмечалась реакция гиперчувствительности замедленного типа в местах инъекций, сопровождавшаяся регионарным лимфаденитом. Лимфатические узлы увеличивались до 3-4 см и оставались болезненными в течение последующих 72 часов. Клинически было отмечено уменьшение тяжести и частоты эпилептических приступов, неврологических нарушений и улучшение общего самочувствия. После 4 месяцев иммунотерапии (10 инъекций вакцины аллоИК и 7 инъекций ДВ) по данным МРТ выявлено уменьшение опухоли примерно на 30% при более низком поглощении контраста. Генерализованные приступы полностью купированы, и противоэпилептическая терапия была прекращена. Рецидивов эпилептических припадков у пациента не наблюдалось. После 14 месяцев иммунотерапии (20 инъекций вакцины аллоИК и 12 инъекций ДВ) по данным МРТ отмечается дальнейшая положительная динамика. Индекс Карновского достиг 70. Однако сохраняется очаг повышенного накопления радиофармпрепарата по результатам проведения ПЭТ с метионином¹¹С. Серия МРТ с интервалом в 3 месяца показала стабилизацию опухоли. Иммунотерапия была закончена через 32 месяца от момента включения в протокол. Пациент получил в общей сложности 40 инъекций вакцины аллоИК и 32 инъекции ДВ. В январе 2009 года (через 30 мес. после начала ИТ) ПЭТ с метионином¹¹С выявил активную ткань в остаточной опухоли, но без признаков прогрессирования. Во время терапии и периода наблюдения пациент был социально адаптирован и поступил в колледж. У пациента сохранялись остаточные неврологические нарушения в виде правостороннего гемипареза (3/5 балла). Период без прогрессирования достиг 47 месяцев по сравнению с 15, 8 и 3 месяцами между предыдущими рецидивами.
В мае 2009 (через 15 месяцев) у пациента развилась диплопия, головная боль, отмечено прогрессирование правостороннего гемипареза до плегии (1/5 балл). На МРТ отмечено увеличение размера опухоли и накопление контраста в левой теменной области. Индекс Карновского снизился до 60. Была проведена биопсия опухоли. Гистологический анализ показал наличие МГБ идентичной по строению с первичной опухолью. В ходе биопсии был проведен забор ткани опухоли для повторного приготовления ДВ и поставлен резервуар Омайо. Было решено произвести смену донора аллоИК. В качестве донора выбран отец пациента, совместимый по 3/6 HLA антигенам. Инъекции аллоИК проводились через резервуар Омайо, расположенный в ложе опухоли. ДВ вводились по прежней схеме внутрикожно, в 4 участка тела. После 12 месяцев иммунотерапии (20 инъекций аллоИК и 14 инъекций ДВ) МРТ показала полную регрессию опухоли. Индекс Карновского 80. У пациента сохранялся правосторонний гемипарез (3/5 балла), эпилептических приступов не наблюдалось. Иммунотерапия была прекращена в сентябре 2011 года (через 16 месяцев после возобновления в связи с 4-м рецидивом), поскольку МРТ и ПЭТ с метионином¹¹С не выявили активной опухолевой ткани. Таким образом, период наблюдения за пациентом на фоне иммунотерапии составил в общей сложности 160 месяцев, включая период полной ремиссии, составивший 82 месяца. У пациента сохраняются явления правостороннего гемипареза 3/5 балла, имеются ортопедические нарушения. Интеллектуально пациент полностью сохранен. За кончил экономический факультет и факультет управления одного из московских университетов, успешно занимается бизнесом. Женат.
Обсуждение
В случаях множественных рецидивов глиальных опухолей традиционная терапия, как правило, неэффективна. Последние исследования иммунотерапевтических подходов продемонстрировали значительный потенциал иммунотерапии для борьбы с ранее устойчивым раком, включая лечение рецидивирующих опухолей ЦНС. В большинстве работ, включая клинические исследования 3 фазы, показали длительную стабилизацию заболевания у ряда пациентов и даже возможность достижения ремиссии глиальных опухолей, устойчивых к лучевой и химиотерапии [13, 18, 19, 20, 21, 22]. Проблемой, ограничивающей эффективность применения дендритных вакцин, является то, что МГБ является одной из самых иммунологически «холодных» опухолей, в которой инфильтрация цитотоксическими Т-клетками минимальна, а инфильтрация макрофагами и клетками микроглии преобладает [23, 24]. Глиомы используют несколько механизмов, чтобы уклониться от контроля со стороны иммунной системы. Клетки МГБ и ее микроокружения способны секретировать ряд цитокинов, например, CCL-2 лиганд, который способствует миграции моноцитов и Т-регуляторных (Treg) клеток в опухоль, снижая таким образом цитотоксическое воздействие CD8+ лимфоцитов [25]. Клетки глиом способны экспрессировать лиганд программируемой клеточной гибели 1 (PD-L1) и также опосредовано подавлять функцию Т-клеток. Кроме того, факторы, секретируемые опухолевыми клетками, подавляют регуляцию молекул HLA-класса I и активируют синтез молекул HLA-класса II, что приводит к недостаточному цитотоксическому Т-клеточному ответу и смещению равновесия в сторону CД4+Т-клеточного ответа [26]. Клетки МГБ и АА характеризуются низкой мутационной нагрузкой и низким уровнем дефицита репарации спаренных нуклеотидов [27]. Вместе эти характеристики глиальных опухолей ЦНС объясняют часто неудовлетворительные результаты, полученные при проведении того или иного вида иммунотерапии. В связи со сложностью патофизиологических механизмов и с необходимостью разработки стандартизированных и надежно воспроизводимых подходов к клеточно-опосредованным методам иммунотерапии, основное внимание в этой области уделяется комбинированным методикам, базирующимся на одновременном или последовательном использовании адоптивной Т- и NK-клеточной терапии, различных типов противоопухолевых дендритных вакцин, ингибиторов контрольных точек иммунитета, цитокинов [13, 14, 15].
Наша стратегия иммунотерапии основана на двух концепциях. Во-первых, на индуцировании собственного специфического иммунного ответа пациента путем инъекции аутологичной противоопухолевой цельноклеточной вакцины, нагруженной лизатом опухолевых клеток самого пациента. Данный подход позволяет дендритным клеткам представлять те антигены опухоли, которые наиболее актуальны для конкретной ситуации и специфически активировать иммунокомпетентные эффекторные клетки. Ярким примером эффективности такой стратегии служит представленный в статье клинический случай, когда дендритная вакцина, приготовленная на базе опухолевого материала после очередного рецидива МГБ, позволила достичь выраженного клинического эффекта.
Wheeler и соавт. провели исследование, в котором 32 пациентам с МГБ (11 – первично диагностированных и 21 – рецидивных) вводили вакцину на основе ДК, нагруженных аутологичным опухолевым лизатом. У 53% пациентов продукция антиген-направленного IFNã прогрессивно увеличивалась после вакцинации, достигая статистической значимости после двух вакцинаций и максимальных уровней после трех вакцинаций. При этом безрецидивный интервал у пациентов, ответивших на вакцинацию, составлял 642±61 день по сравнению с 430±50 дней у лиц, не ответивших на лечение повышением уровня IFNã [28]. Обращает на себя внимание тот факт, что в нашем исследовании у пациентов, ответивших на иммунотерапию, наблюдалась выраженная реакция периферических для зон введения вакцины лимфатических узлов и формирование реакции клеточного иммунитета. Клиническое исследование I/II фазы, проведенное группой японских ученых, показало достоверное увеличение медианы общей выживаемости у 18 пациентов с рецидивирующей МГБ, получивших ДВ, нагруженную опухолевым лизатом, по сравнению с контролем (480 дней против 400 дней). Это исследование также включало подгруппу пациентов, которые получали внутриопухолевое введение ДВ через резервуар Ommaya в дополнение к стандартным внутрикожным инъекциям и продемонстрировало безопасность данного метода [29]. В 2013 году Vik-Mo и соавт. исследовали использование аутологичной противоопухолевой вакцины у пациентов с МГБ и обнаружили как наличие иммунного ответа у всех 7 пациентов, так и увеличение интервала до прогрессирования, который в 2,9 раза превышал аналогичный показатель в контрольной группе [30].
Во-вторых, параллельно с ДВ мы применили метод адоптивной клеточной иммунотерапии. Иммунокомпетентные клетки получали от близкородственных доноров и многократно вводили непосредственно через гематоэнцефалический барьер. Нами была выдвинута концепция, что неманипулированный пул иммунокомпетентных клеток, как различных субпопуляций T-лимфоцитов, так и NK-клеток от донора, несовместимого по HLA антигенам, способен воздействовать на клетки глиомы как через MHC I и II классов, так и через KIR-активирующие рецепторы. Подобная стратегия с успехом используется при проведении частично-совместимых аллогенных трансплантаций у пациентов с лейкозами, лимфомами и солидными опухолями [31, 32].
Одной из задач было оценить возможность и безопасность инъекций аллогенных клеток непосредственно в спинномозговую жидкость за ГЭБ. В литературе имеется несколько сообщений о безопасных интратуморальных или внутричерепных введениях аутологичных клеток LAK, сгенерированных in vitro, цитотоксических лимфоцитов или взвеси аутологичных мононуклеарных клеток [19, 33, 34, 35, 36]. Опыт внедрения аллогенных иммунокомпетентных клеток весьма ограничен. В литературе имеются единичные сообщения об инъекциях аллогенных донорских лимфоцитов непосредственно в спинномозговую жидкость интратекально или через резервуар Омайо [37, 38]. В общей сложности у четырех пациентов, упоминаемых в этих работах, процедура была безопасной, сопровождалась лишь незначительными побочными эффектами, вероятно, вызванными процедурой люмбальной пункции, а не самим введением клеток. Во всех случаях менингеального рецидива острого и хронического лейкозов была достигнута длительная ремиссия заболевания. В нашем исследовании никаких серьезных побочных эффектов, таких как иммуноопосредованная энцефалопатия или отек головного мозга, не наблюдалось после 121 интратекальной (интравентрикулярной) инъекции размороженных HLA-частичносовместимых, неманипулированных иммунокомпетентных клеток крови от родственного донора. В 7% случаев наблюдались транзиторные побочные эффекты, связанные с проведением спинномозговых пункций. Более того, наш протокол терапии обеспечивал высокое качество жизни пациентов, не имел системной токсичности, не требовал госпитализации в стационар и показал очевидную эффективность в ряде случаев.
К сожалению, механизм действия противоопухолевого эффекта этого терапевтического подхода в ЦНС, и особенно в случае внутримозговых опухолей, остается неясным. Мы можем только предложить некоторые возможные объяснения. Во-первых, донорские аллогенные Т-лимфоциты и NK-клетки могут оказывать прямое цитотоксическое действие на опухолевые клетки в результате распознавания специфических антигенов, а также их функции, опосредованной KIR-рецепторами, связанными с основным комплексом гистосовместимости класса I. Некоторые данные в литературе о роли NK-клеток в противоопухолевом эффекте при внутричерепных новообразованиях подтверждают эту гипотезу [12, 13, 39]. Во-вторых, когда донорские лимфоциты взаимодействуют с опухолевыми макрофагами и другими опухолевыми стромальными клетками, они повышают проницаемость гематоэнцефалического барьера и обнажают клетки глиомы, делая их доступными для стимуляции реакции собственной иммунной системы пациента, которая была избирательно предварительно активирована аутологичной ДВ.
Заключение
Результаты данного исследования указывают, что проведение специфической противоопухолевой иммунотерапии может являться альтернативным методом лечения у пациентов со злокачественными глиальными опухолями головного мозга. На фоне проводимого лечения увеличилась общая и бессобытийная выживаемость у пациентов с неоднократными рецидивами опухоли. У 3 из 5 пациентов интервал без прогрессирования составил более 3 лет, а один пациент жив без признаков опухоли более 13 лет. В процессе проведения терапии не наблюдалось каких-либо серьезных осложнений у больных, получающих иммунотерапию. Полученные нами данные показывают, что специфическая иммунотерапия имеет высокий лечебный потенциал и позволяет планировать дальнейшие широкомасштабные исследования в этом направлении с привлечением открытий в области молекулярной биологии и генетики последнего десятилетия.
Вклад авторов
Долгополов И.С. – разработка концепции научной работы, статистическая обработка, составление черновика рукописи, окончательное утверждение публикуемой версии рукописи
Рыков М.Ю. – написание текста, анализ научной работы, критический пересмотр с внесением ценного интеллектуального содержания, окончательное утверждение публикуемой версии рукописи.
About the authors
I. S. Dolgopolov
Tver State Medical University; Children’s Regional Clinical Hospital
Email: wordex2006@rambler.ru
ORCID iD: 0000-0001-9777-1220
PhD, MD (Medicine), Head, Department of Pediatrics, Pediatric Faculty, Deputy Chief Physician for Medical Work
Russian Federation, Tver; TverM. Yu. Rykov
Russian State Social University
Author for correspondence.
Email: wordex2006@rambler.ru
ORCID iD: 0000-0002-8398-7001
PhD, MD (Medicine), Associate Professor, Head, Department of Pediatrics
Russian Federation, 4 Wilhelm Pieck St, Bldg 1 Moscow 129226References
- Чкадуа Г.З., Заботина Т.Н., Буркова A.A., Тамаева З.Э., Огородникова Е.В., Жорданиа К.И., Кадагидзе З.Г., Барышников А.Ю. Адаптирование методики культивирования дендритных клеток человека из моноцитов периферической крови для клинического применения // Российский биотерапевтический журнал, 2002. Т. 1, № 3. С. 56-59. [Chkadua G.Z., Zabotina T.N., Burkova A.A., Tamaeva Z.E., Ogorodnikova E.V., Jordania I., Kadagidze Z.G., Baryshnikov A.Yu. The adaptation of method of generating monocyte derived human dendritic cells for clinical practice. Rossiyskiy bioterapevticheskiy zhurnal = Russian Journal of Biotherapy, 2002, Vol. 1, no. 3, pp. 56-59. (In Russ.)]
- Чкадуа Г.З., Борунова А.А., Шоуа И.Б., Долгополов И.С., Пименов Р.И., Михайлова И.Н., Заботина Т.Н., Барышникова М.А. Криоконсервация дендритных клеток человека для клинического применения // Российский биотерапевтический журнал, 2019. Т. 18, № 4. С. 65-75. [Chkadua G.Z., Borunova A.A., Shoua I.B., Dolgopolov I.S., Pimenov R.I., Mikhailova I.N., Zabotina T.N., Baryshnikova M.A. Cryo preservation of human dendritic cells for clinical USE. Rossiyskiy bioterapevticheskiy zhurnal = Russian Journal of Biotherapy, 2019, Vol. 18, no. 4, pp. 65-75. (In Russ.)]
- Almuhaisen G., Alhalaseh Y., Mansour R., Abu-Shanab A., Al-Ghnimat S., Al-Hussaini M. Frequency of mismatch repair protein deficiency and PD-L1 in high-grade gliomas in adolescents and young adults (AYA). Brain Tumor Pathol., 2021, Vol. 38, no. 1, pp. 14-22.
- Ardon H., van Gool S.W., Verschuere T. Integration of autologous dendritic cell-based immunotherapy in the standard of care treatment for patients with newly diagnosed glioblastoma: results of the HGG-2006 phase I/II trial. Cancer Immunol. Immunother., 2012, Vol. 61, no. 11, pp. 2033-2044.
- Auffinger B., Thaci B., Nigam P., Rincon E., Cheng Y., Lesniak M. New therapeutic approaches for malignant glioma: in search of the Rosetta stone. F1000 Med. Rep., 2012, Vol. 4, 18. doi: 10.3410/M4-18.
- Chung D, Shin H, Hong Y. A New Hope in immunotherapy for malignant gliomas: adoptive T cell transfer therapy. J. Immunol. Res., 2014, Vol. 2014, 326545. doi: 10.1155/2014/326545.
- Cui Y., Tha K.K., Terasaka S., Yamaguchi S., Wang J., Kudo K. Prognostic Imaging Biomarkers in Glioblastoma: Development and Independent Validation on the Basis of Multiregion and Quantitative Analysis of MR Images. Radiology, 2016, Vol. 278, no. 2, pp. 546-553.
- Eagles M., Nassiri F., Badhiwala J., Suppiah S., Almenawer S., Zadeh G., Aldape K. Dendritic cell vaccines for high-grade gliomas. Ther. Clin. Risk Manag., 2018,Vol. 14, pp. 1299-1313.
- Ellingson B.M. Radiogenomics and imaging phenotypes in glioblastoma: novel observations and correlation with molecular characteristics. Curr. Neurol. Neurosci. Rep., 2015, Vol. 15, no. 1, 506. doi: 10.1007/s11910-014-0506-0.
- Frederico S.C., Hancock J.C., Brettschneider E.E.S., Ratnam N.M., Gilbert M.R., Terabe M. Making a cold tumor hot: the role of vaccines in the treatment of glioblastoma. Front. Oncol., 2021, Vol. 11, 672508. doi: 10.3389/fonc.2021.672508.
- Han S.J., Zygourakis C., Lim M., Parsa A.T. Immunotherapy for glioma: promises and challenges. Neurosurg. Clin. N. Am., 2012, Vol. 23, no. 3, pp. 357-370.
- Hanif F., Muzaffar K., Perveen K., Malhi S.M., Simjee Sh.U. Glioblastoma Multiforme: A Review of its Epidemiology and Pathogenesis through Clinical Presentation and Treatment. Asian Pac. J. Cancer Prev., 2017, Vol. 18, no. 1, pp. 3-9.
- Hayes R.L., Koslow M., Hiesiger E.M. Improved long-term survival after intracavitary interleukin-2 and lymphokine-activated killer cells for adults with recurrent malignant glioma. J. Cancer, 1995, Vol. 76, no. 5, pp. 840-852.
- Jacobs S.K., Wilson D.J., Kornblith P.L., Grimm E.A. Interleukin-2 or autologous lymphokine-activated killer cell treatment of malignant glioma: phase I trial. Cancer Res., 1986, Vol. 46, pp. 2101-2104.
- Jordan J.T., Sun W., Hussain S.F., DeAngulo G., Prabhu S.S., Heimberger A.B. Preferential migration of regulatory T cells mediated by glioma-secreted chemokines can be blocked with chemotherapy. Cancer Immunol. Immunother., 2008, Vol. 57, no. 1, pp. 123-131.
- Kang X., Zheng Y., Hong W., Chen X., Li H., Huang B., Huang Z., Tang H., Geng W. Recent advances in immune cell therapy for glioblastoma. Front. Immunol., 2020, Vol. 11, 544563. doi: 10.3389/fimmu.2020.544563.
- Kitahara T., Watanabe O., Yamaura A., Makino H., Watanabe T., Suzuki G., Okumura K. Establishment of interleukin 2 dependent cytotoxic T lymphocyte cell line specific for autologous brain tumor and its intracranial administration for therapy of the tumor. J. Neurooncol., 1987, Vol. 4, no. 4, pp. 329-336.
- Kmiecik J., Zimmer J., Chekenya M. Natural killer cells in intracranial neoplasms: presence and therapeutic efficacy against brain tumours. J. Neurooncol., 2014, Vol. 116, pp. 1-9.
- Liau L.M., Ashkan K., Tran D.D., Campian J.L., Trusheim J.E., Cobbs C.S. First results on survival from a large Phase 3 clinical trial of an autologous dendritic cell vaccine in newly diagnosed glioblastoma. J. Transl. Med., 2018, Vol. 16, no. 1, 142. doi: 10.1186/s12967-018-1507-6.
- Lillehei K.O., Mitchell D.H., Johnson S.D., McCleary E.L., Kruse C.A. Long-term follow-up of patients with recurrent malignant gliomas treated with adjuvant adoptive immunotherapy. Neurosurgery, 1991, Vol. 28, no. 1, pp. 16-23.
- Louis D.N., Perry A., Reifenberger G., von Deimling A., Figarella-Branger D., Cavenee W.K. The 2016 World Health Organization Classification of Tumors of the Central Nervous System: a summary. Acta Neuropathol., 2016, Vol. 131, no. 6, pp. 803-820.
- Meuleman N., Ahmad I., Duvillier H. Intrathecal donor lymphocyte infusion for the treatment of suspected refractory lymphomatous meningitis: a case report. Eur. J. Haematol., 2006, Vol. 77, pp. 523-526.
- Neumann M., Blaw I.W., Burmeister T. Intrathecal application of donor lymphocytes in leukemic meningeosis after allogeneic stem cell transplantation. Ann. Hematol., 2011, Vol. 90, no. 8, pp. 911-916.
- Ostrom Q.T., Cioffi G., Gittleman H., Patil N., Waite K., Kruchko C., Barnholtz-Sloan J.S. CBTRUS statistical report: primary brain and other central nervous system tumors diagnosed in the United States in 2012-2016. Neuro Oncol., 2019, Vol. 21, Suppl, 5, pp. v1-v100.
- Pellegatta S., Eoli M., Cuccarini V., Anghileri E., Pollo B., Pessina S. Survival gain in glioblastoma patients treated with dendritic cell immunotherapy is associated with increased NK but not CD8+ T cell activation in the presence of adjuvant temozolomide. Oncoimmunology. 2018, Vol. 7, no. 4, e1412901. doi: 10.1080/2162402X.2017.1412901.
- Poon С., Sarkar S., Yong V., Kelly J. Glioblastoma-associated microglia and macrophages: targets for therapies to improve prognosis. Brain, 2017, Vol. 140, no. 6, pp. 1548-1560.
- Quattrocchi K.B., Miller C.H., Cush S. Pilot study of local autologous tumor infiltrating lymphocytes for the treatment of recurrent malignant gliomas. J. Neurooncol., 1999, Vol. 45, no. 2, pp. 141-157.
- Rolle C., Sengupta S., Lesniak M. Challenges in clinical design of immunotherapy trials for malignant glioma. Neurosurg. Clin. N. Am., 2010, Vol. 21, no. 1, pp. 201-214.
- Ruggeri L., Capanni M., Urbani F. Effectiveness of donor natural killer cell alloreactivity in mismatched hematopoietic transplants. Science, 2002, Vol. 295, pp. 2097-2100.
- Stummer W., Reulen H.J., Meinel T., Pichlmeier U., Schumacher W., Tonn J.C. ALA-Glioma Study Group. Extent of resection and survival in glioblastoma multiforme: identification of and adjustment for bias. Neurosurgery, 2008, Vol. 62, no. 3, pp. 564-576; discussion 564-576.
- Stupp R., Mason W.P., van den Bent M.J. Radiotherapy plus concomitant and adjuvant temozolomide for glioblastoma. N. Engl. J. Med., 2005, Vol. 352, pp. 987-996.
- Thakkar J.P., Dolecek T.A., Horbinski C., Ostrom Q.T., Lightner D.D., Barnholtz-Sloan J.S., Villano J.L. Epidemiologic and molecular prognostic review of glioblastoma. Cancer Epidemiol. Biomarkers Prev., 2014, Vol. 23, no. 10, pp. 1985-1996.
- Vik-Mo E.O., Nyakas M., Mikkelsen B.V., Moe M.C., Due-Tønnesen P., Suso E.M. Therapeutic vaccination against autologous cancer stem cells with mRNA-transfected dendritic cells in patients with glioblastoma. Cancer Immunol. Immunother., 2013, Vol. 62, no. 9, pp. 1499-1509.
- Wheeler C.J., Black K.L., Liu G., Mazer M., Zhang X.X., Pepkowitz S. Vaccination elicits correlated immune and clinical responses in glioblastoma multiforme patients. Cancer Res., 2008, Vol. 68, no. 14, pp. 5955-5964.
- Willem C., Makanga D.R., Guillaume T., Maniangou B., Legrand N., Gagne K. Impact of KIR/HLA incompatibilities on NK cell reconstitution and clinical outcome after T cell-replete haploidentical hematopoietic stem cell transplantation with posttransplant cyclophosphamide. J. Immunol., 2019, Vol. 202, no. 7, pp. 2141-2152.
- Witthayanuwat S., Pesee M., Supaadirek C., Supakalin N., Thamronganantasakul K., Krusun S. Survival analysis of glioblastoma multiforme. Asian Pac. J. Cancer Prev., 2018, Vol. 19, no. 9, pp. 2613-2617.
- Yamanaka R., Homma J., Yajima N., Tsuchiya N., Sano M., Kobayashi T. Clinical evaluation of dendritic cell vaccination for patients with recurrent glioma: Results of a clinical phase I/II trial. Clin. Cancer Res., 2005, Vol. 11, pp. 4160-4167.
- Zagzag D., Salnikow K., Chiriboga L., Yee H., Lan L., Ali M.A. Downregulation of major histocompatibility complex antigens in invading glioma cells: stealth invasion of the brain. Lab. Invest., 2005, Vol. 85, no. 3, pp. 328-341.
- Zakerinia M., Kamgarpour A., Nemati H., Zare H., Ghasemfar M., Rezvani A., Karimi M. Intrathecal autologous bone marrow-derived hematopoietic stem cell therapy in neurological diseases. Int. J. Organ Transplant. Med., 2018, Vol. 9, no. 4, pp. 157-167.
Supplementary files




