Central effects of ex vivo caffeine-modulated immune cells in the mechanisms of editing depressive-like behavior
- Authors: Markova E.V.1, Knyazheva M.A.1
-
Affiliations:
- Research Institute of Fundamental and Clinical Immunology
- Issue: Vol 27, No 2 (2024)
- Pages: 335-342
- Section: SHORT COMMUNICATIONS
- Submitted: 22.03.2024
- Accepted: 24.03.2024
- Published: 12.08.2024
- URL: https://rusimmun.ru/jour/article/view/16621
- DOI: https://doi.org/10.46235/1028-7221-16621-CEO
- ID: 16621
Cite item
Full Text
Abstract
Depression is a serious medical and social problem due to its high prevalence, involvement of people of working age and lack of highly effective therapy. Social stressors contribute to the prevalence of depression. The COVID-19 pandemic and the associated rules of social distancing, military clashes, and a deteriorating economic situation can lead to a painful “breakdown” of socio-biological adaptation mechanisms and contribute to an increase in the prevalence of depressive disorders, which, according to WHO forecasts, may take second place in the world by 2030, which leads to interest in studying this problem and finding new effective approaches to therapy. Decreased cognitive function in depressive disorders is caused by neuroinflammatory and neurodegenerative changes. The latter are predominantly recorded in the hippocampus, numerous changes in the plasticity of which have been observed both in patients with clinical depression and in rodent models of depression. There is also a sufficient amount of data on the significant role of immune cells and their cytokines in depression, including in the development of behavioral phenotype. We have previously shown that spleen cells of depressive-like mice after ex vivo treatment with caffeine, a psychoactive drug with a wide range of immunomodulatory properties, change their functional activity and, after intravenous administration to syngeneic depressive-like recipients, have editing depressive-like behavior effect. The purpose of this work was to investigate the central effects of caffeine-modulated spleen cells in the mechanisms of editing depressive-like behavior. It was found that in depressive-like recipients after transplantation of syngeneic caffeine-modulated splenocytes, there is an increase in the density of neurons in the CA1 and CA3 zones of the hippocampus, accompanied by BDNF level increase in the hippocampus and prefrontal cortex against the background of a decrease of a number of pro-inflammatory (IL-1β, IL-6, IFNγ and TNFα) and increased of anti-inflammatory (IL-10 and IL-4) cytokines in brain structures pathogenetically significant for the state of depression. The mechanisms of the identified structural and functional changes in the recipient’s brain after the caffeine-modulated splenocytes transplantation are discussed, including their possible direct influence, confirmed by visualization of transplanted cells in the brain parenchyma of depressed-like recipients.
Full Text
Введение
Большая депрессия – это распространенное, а иногда и смертельное расстройство, обозначенное Всемирной организацией здравоохранения как ведущая причина инвалидности во всем мире (World Health Organization, 2021. Depression. Accessed on April, 4, 2022). Депрессия серьезно влияет на здоровье и качество жизни человека, что не ограничивается чрезмерными негативными эмоциями, ангедонией и когнитивными нарушениями. Современные антидепрессанты, несомненно, являются эффективным лечением примерно в 70% случаев, что является значительным, однако, часть пациентов остаются частично или полностью невосприимчивыми к лечению. И это, скорее всего, не просто объясняется резистентностью к лечению, существует вероятность того, что современные антидепрессанты неэффективно воздействуют на все патофизиологические процессы, ответственные за основные симптомы депрессии, что обуславливает интерес к исследованию данной проблемы и поиску новых эффективных подходов к терапии.
Регуляторные двусторонние взаимодействия между иммунной системой и мозгом привлекают значительное внимание к роли иммунной системы при нервно-психических заболеваниях, особенно при депрессии. Установлено, что хронический стресс, вызывающий изменения в гипоталамо-гипофизарно-надпочечниковой системе и иммунной системе, тесно связан с развитием депрессивных расстройств, действуя как триггер тревоги и депрессии [4, 5, 6, 14]. Иммунная система играет важную роль в патологических изменениях, возникающих при депрессии. Изменения как клеточных, так и гуморальных иммунных реакций были показаны у пациентов с большой депрессией, начиная со снижения активности естественных киллеров, количества и пролиферативной активности лимфоцитов с последующими признаками повышенной воспалительной активности (повышение уровней циркулирующих маркеров воспаления). По современным представлениям большая депрессия позиционируется, в частности, как хронический низкоградиентный воспалительный процесс. При моделировании состояния депрессивности на грызунах также показан провоспалительный эффект хронического социального стресса, проявляющийся в повышении продукции ряда провоспалительных цитокинов иммунокомпетентными клетками; повышении резистентности миелоидных клеток к глюкокортикоидам; усилении миелоидной дифференцировки и мобилизации моноцитов из костного мозга в циркуляцию и их миграцию как на периферию, так и в головной мозг с последующей активацией микроглии и развитием нейровоспаления [3, 6, 9, 14], что раскрывает иммуно-опосредованные механизмы влияния периферических иммунных клеток на поведенческие реакции [4, 5]. Снижение когнитивных функций при депрессивных расстройствах вызвано как нейровоспалительными, так и нейродегенеративными изменениями в головном мозге. Провоспалительные цитокины и медиаторы воспаления, такие как оксид азота, активируют глутаматергическую систему мозга, окислительный стресс и индукцию апоптоза в нейронах, астроцитах и олигодендроцитах. Нейродегенеративные изменения наблюдаются в префронтальной коре и преимущественно в гиппокампе, структуре мозга, играющей решающую роль в генез симптомов депрессии [6, 8, 9], и проявляются в изменении его пластичности [5, 6, 8, 9, 14, 15], что в свою очередь влияет на целостность нейрональной сети гиппокампа, ослабляя его ограничивающее влияние на гипоталамо-гипофизарно-надпочечниковую систему и, следовательно, пролонгированному ответу на психологические стрессоры [5, 14, 15]. Имеется достаточное количество данных о существенной роли иммунных клеток и продуцируемых ими цитокинов при стрессе и депрессии, в том числе в развитии депрессивного поведенческого фенотипа [4, 5, 7, 9, 14]. Ранее нами была показано, что иммунокомпетентные клетки селезенки депрессивно-подобных мышей после обработки ex vivo кофеином, психоактивным препаратом с иммуномодулирующими свойствами изменяют свою функциональную активность и после внутривенного введения сингенным депрессивно-подобным реципиентам оказывают иммуномодулирующий эффект, сопровождающийся редактированием характерных для состояния депрессивности поведенческих паттернов (снижение ангедонии, стимуляция ориентировочно-исследовательского поведения, стимуляция двигательной активности в тесте «Принудительное плавание») [1, 2, 10, 11].
Целью настоящей работы было исследовать центральные механизмы редактирования депрессивно-подобного поведения модулированными кофеином иммунокомпетентными клетками селезенки.
Материалы и методы
В исследованиях использовались мыши-самцы (CBA × C57BL/6) F1 в возрасте 3-3,5 месяцев, массой 25-30 г, полученные из питомника НИЛЭМ (г. Томск). Животных содержали в лабораторном виварии в стандартных условиях на стандартном рационе, со свободным доступом к воде и естественным световым режимом. Исследования с животными проводились в соответствии с законодательными актами Российской Федерации, Европейского парламента и совета Европейского Союза, декларирующими правила обращения с животными, используемыми в научных целях, и были одобрены на заседании локально-этического комитета НИИФКИ (протокол заседания № 139 от 30.05.2022 г.).
Депрессивно-подобное состояние формировалось у пассивных самцов (n = 78) в результате длительного (20 дней) социального стресса (классическая модель депрессии). Затем депрессивно-подобных самцов изолировали в отдельные клетки, чтобы избежать агонистического взаимодействия, и им трансплантировали прекультивированные с кофеином клетки селезенки (15 × 106 клеток в объеме 0,3 мл физраствора на мышь), взятые от сингенных депрессивно-подобных доноров, как это было подробно описано ранее [1, 10, 11]. В контрольной группе депрессивно-подобных реципиентов подготовку и трансплантацию клеток реализовали в аналогичных условиях эксперимента, за исключением того, что спленоциты прекультивировались без кофеина.
Всех реципиентов через 48 часов после введения клеток усыпляли в камере с CO2; транскардиально перфузировали фосфатно-солевым буфером (PBS), а затем 4%-ным параформальдегидом в PBS. Быстро извлекали головной мозг, его обезвоживали 40%-ным раствором сахарозы в 1 × PBS с 4%-ным параформальдегидом, замораживали в среде О.С.Т и хранили при температуре -70 °C. Криосрезы гиппокампа толщиной 30 мкм были получены при помощи криотома HistoSafeMicroCut – SADV (Китай). Окрашивание по Нисслю проводили по стандартной процедуре (Paxinos and Franklin, 2019). Изображение было получено и проанализировано с помощью микроскопа Nikon Eclipse Ci (Nikon, Япония), соединенного с камерой Nikon DS-Fi2 (Nikon, Япония) и программным обеспечением Image Pro Plus 6.0 (Media Cybernetics, CA, США). Нейрональную площадь гиппокампа определяли полуколичественным методом.
В лизатах отдельных структур мозга реципиентов измеряли уровни BDNF и патогенетически значимых для депрессии цитокинов (IL-1β, IL-4, IL-6, IFNγ, TNFα, IL-10) методом ИФА с использованием соответствующих тест-систем (R&D Systems, Великобритания) согласно инструкциям производителя.
Перед внутривенным введением прекультивированных с кофеином спленоцитов была произведена их окраска витальным красителем CFSE (Invitrogen, США) для последующей визуализации клеток в паренхиме головного мозга депрессивно-подобных реципиентов, которая была проведена через 48 часов после клеточной трансплантации. Цитометрический анализ проводили с помощью проточного цитофлюориметра BD FACSVerse и программного обеспечения BD FACSuite.
Стратистическая обработка результатов проводилась с использованием парного теста Манна–Уитни (программное обеспечение Statistica для Windows 10.0). Результаты представлены как среднее значение ± стандартная ошибка среднего значения. Различия считали значимыми при p < 0,05.
Результаты и обсуждение
Как упоминалось выше, нейродегенеративные изменения в гиппокампе рассматриваются как один из патогенетических механизмов когнитивных нарушений при депрессии. Клинические исследования и результаты нейровизуализации показали, что объем гиппокампа пациентов при депрессии снижается; подобные результаты наблюдались и на экспериментальных моделях: хронический стресс уменьшает объем гиппокампа за счет апоптоза пирамидных нейронов преимущественно в СА1 и СА3 регионах и ингибирует нейрогенез у крыс [5, 12, 15].
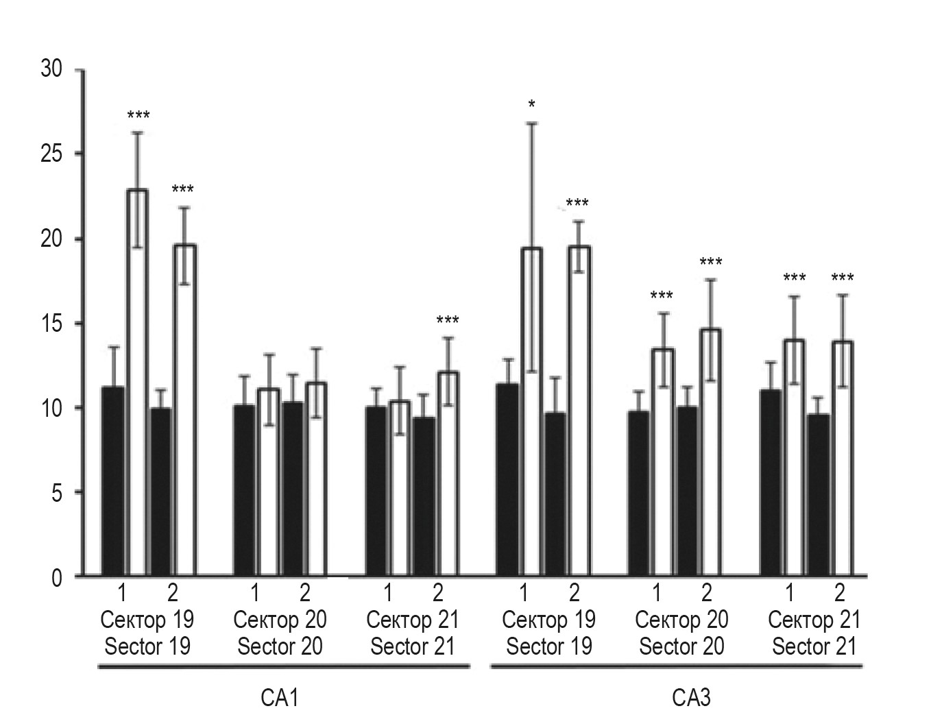
В результате проведенных исследований нами установлено, что плотность пирамидных нейронов в указанных регионах была существенно выше у депрессивно-подобных реципиентов после трансплантации модулированных ex vivo кофеином сингенных клеток селезенки (рис. 1).
Рисунок 1. Нейрональная площадь (%) СА1 и СА3 регионов гиппокампа депрессивно-подобных реципиентов после трансплантации сингенных спленоцитов, модулированных ех vivo кофеином
Примечание. Цифровое обозначение секторов полей СА1, СА3 гиппокампа соответствует уровням срезов относительно брегмы, согласно гистологическому атласу мозга мыши (по Paxinos G., Franklin K.B.J. Paxinos and Franklin’s the mouse brain in stereotaxic coordinates, 2013). По оси ординат – нейрональная плотность (%). Темные столбики – контрольная группа депрессивно-подобных реципиентов, которым была произведена трансплантация спленоцитов, прекультивированных без кофеина. Светлые столбики – опытная группа депрессивно-подобных реципиентов, которым была произведена трансплантация спленоцитов, прекультивированных с кофеином. 1 – левое полушарие мозга; 2 – правое полушарие мозга; n = 10-18 в каждой группе; * – p < 0,05, *** – p < 0,001 между показателями в контрольном и опытном образцах.
Figure 1. Neuronal area (%) of hippocampus CA1 and CA3 regions in depressed-like recipients after transplantation of syngeneic splenocytes modulated ex vivo by caffeine
Note. The digital designation of sectors of fields CA1, CA3 of the hippocampus corresponds to the levels of sections relative to bregma, according to the histological atlas of the mouse brain (according to Paxinos G., Franklin K.B.J. Paxinos and Franklin’s the mouse brain in stereotaxic coordinates, 2013). The y-axis is neuronal density (%). Dark bars represent a control group of depressive-like recipients who underwent transplantation of splenocytes precultured without caffeine. Light bars, an experimental group of depressive-like recipients who underwent transplantation of splenocytes precultured with caffeine. 1, left hemisphere of the brain. 2, right hemisphere of the brain; n = 10-18 in each group; *, p < 0.05; ***, p < 0.001 between the indicators in the control and experimental samples.
Полный цикл нейрогенеза занимает не менее 35-45 дней для функциональной интеграции новобразованных нейронов в сети гиппокампа. Поскольку увеличение плотности нейронов в СА1 и СА3 регионах гиппокампа наблюдалось нами значительно раньше, то, скорее всего, оно обусловлено влиянием введенных иммунокомпетентных клеток на нейроны, находящиеся на поздних стадиях нейрогенеза и/или выживание нейронов.
Хорошо известно, что нейротрофические факторы, в частности наиболее широко представленный в головном мозге BDNF (brain-derived neurotrophic factor), играют значительную роль в развитии, дифференцировке, синаптогенезе и выживании нейронов, равно как и в процессах их адаптации к внешним воздействиям [12, 14, 15]. Нарушения метаболизма, транспорта или передачи сигналов BDNF занимают существенное место в патогенезе депрессивных расстройств [12, 14]. Имеются данные о том, что нейродегенеративные процессы при депрессивных расстройствах частично обратимы на фоне успешной терапии препаратами, обладающими нейротрофическими свойствами; при этом восстановление ткани и функций мозга связывают с образования новых нейронов из стволовых клеток [5, 8, 15]. В связи с этим у депрессивно-подобных реципиентов было исследовано количественное содержание BDNF в отдельных структурах головного мозга, наиболее подверженных, как указывалось выше, дегенеративным изменениям при депрессии. Анализ полученных результатов показал, что повышение плотности пирамидных нейронов в СА1 и СА3 регионах гиппокампа у сингенных депрессивно-подобных реципиентов после трансплантации модулированных ex vivo кофеином спленоцитов сопровождалось также и повышением уровня BDNF, как в этой структуре мозга, так и в префронтальной коре (табл. 1). Полученные результаты, демонстрирующие стимуляцию нейрогенеза и повышение уровня BDNF в патогенетически значимых для состояния депрессивности структурах мозга, свидетельствуют о стимуляции процессов нейропластичности у депрессивно-подобных реципиентов после трансплантации модулированных ex vivo кофеином сингенных клеток селезенки.
Таблица 1. Содержание BDNF (пг/мг ткани) в структурах головного мозга депрессивно-подобных реципиентов (CBA × C57Bl/6) F1 после трансплантации сингенных спленоцитов, модулированных ех vivo кофеином
Table 1. BDNF content (pg/mg tissue) in the brain structures of depressive-like recipients (CBA × C57Bl/6) F1 after transplantation of syngeneic splenocytes modulated ex vivo by caffeine
Структура мозга Brain structure | Контроль Control | Опыт Experience |
Гиппокамп Hippocampus | 347,5±97,8 | 587,9±96,7* |
Префронтальная кора Prefrontal cortex | 121,2±72,3 | 267,5±65,8* |
Примечание. Контроль – образцы лизатов соответствующей структуры головного мозга депрессивно-подобных реципиентов после трансплантации прекультивированных без кофеина спленоцитов. Опыт – образцы лизатов соответствующей структуры головного мозга депрессивно-подобных реципиентов после трансплантации прекультивированных с кофеином спленоцитов; n = 10 в каждой группе; * – p < 0,05 между соответствующими показателями в контрольном и опытном образцах.
Note. Control, lysates samples of the corresponding brain structure of depressed-like recipients after transplantation of splenocytes precultured without caffeine. Experience, lysates samples of the corresponding brain structure of depressed-like recipients after transplantation of splenocytes precultured with caffeine; n = 10 in each group; *, p < 0.05 between the corresponding indicators in the control and experimental samples.
Важное место в патогенезе депрессии, в том числе в развитии депрессивно-подобного поведения, также принадлежит, как уже указывалось выше, провоспалительным цитокинам [5, 6, 7, 9, 14]. Более того, изменения объема гиппокампа при депрессии связаны с нейровоспалительными изменениями. Провоспалительные цитокины изменяют нейрохимический баланс в мозге; они снижают уровень BDNF и могут отрицательно влиять на нейрогенез и нейропластичность за счет взаимодействия с BDNF-связывающими рецепторами (рецепторами TrkB); а также, посредством влияния на систему глутамата, снижают нейротрансмиссию и повышают эксайтотоксичность [4, 5, 6, 9, 14, 15], вовлекаясь тем самым в патофизиологические механизмы депрессии. Нами было показано, что у депрессивно-подобных реципиентов изменялось количественное содержание ряда цитокинов, являющихся маркерами состояния депрессивности, в отдельных структурах головного мозга, связанных с депрессией, при этом наибольшие изменения регистрировались в гиппокампе, где выявлено снижение провоспалительных цитокинов IFNγ, IL-6, TNFα и IL-1β, при повышении противовоспалительных цитокинов IL-4 и IL-10; в гипоталамусе наблюдалось снижение IFNγ, IL-6, IL-1β; в префронтальной коре регистрировалось снижение IFNγ; а в стриатуме – повышение IL-10 [1, 2, 11], что свидетельствует о снижении нейровоспаления.
Известно также, что не только цитокины, но и продуцирующие их клетки способны проникать в головной мозг и изменять его функции, включая поведенческие реакции, путем непосредственного контакта с клетками мозга [13]. Визуализация в паренхиме головного мозга депрессивно-подобных реципиентов функционально активных лимфоцитов в составе введенных клеток селезенки, прекультивированных с кофеином и меченных витальным красителем CFSE (рис. 2), позволяет рассматривать также и этот механизм редактирования поведенческого фенотипа реципиентов трансплантированными иммунокомпетеными клетками, чему способствует повышенная вследствие нейровоспаления при состоянии депрессивности проницаемость гематоэнцефалического барьера.
Рисунок 2. Лимфоцитарная фракция клеток мозга депрессивно-подобных реципиентов после трансплантации модулированных ex vivo кофеином и меченных CFSE сингенных спленоцитов
Примечание. А – диаграмма фронтального-бокового рассеяния, [cell] – область лимфоцитарного облака; Б – диаграмма бокового рассеяния против CFSE, гейтирована по области [cell] цитограммы А, предназначена для выявления относительного содержания меченных CFSE лимфоцитов от общего числа лимфоцитов. Фракция лимфоцитов была обогащена на трехступенчатом градиенте перколла.
Figure 2. Lymphocyte fraction of brain cells from depressed-like recipients after transplantation of ex vivo caffeine-modulated and CFSE-labeled syngeneic splenocytes
Note. A, frontal-side scattering diagram, [cell], area of the lymphocyte cloud; B, side scatter plot against CFSE, gated by the [cell] area of cytogram A, intended to identify the relative content of CFSE-labeled lymphocytes from the total number of lymphocytes. The lymphocyte fraction was enriched on a three-step Percoll gradient.
Продемонстрированные в настоящем исследовании морфологические и функциональные изменения в патогенетически значимых структурах мозга депрессивно-подобных реципиентов после трансплантации модулированных ex vivo кофеином спленоцитов могут представлять собой один механизмов коррекции депрессивно-подобного поведения, показанного ранее у этих животных [1, 2, 11].
Заключение
Таким образом, в настоящем исследовании показано, что модулированные ex vivo кофеином иммунокомпетентные клетки селезенки после внутривенного введения вызывают у сингенных депрессивно-подобных реципиентов стимуляцию процессов нейропластичности на фоне снижения нейровоспаления. Поскольку нейрорегенерация гиппокампа, уровни BDNF и провоспалительных цитокинов рассматриваются как мишени для лечения депрессивных расстройств, выявленные в настоящем исследовании центральные эффекты модулированных ex vivo кофеином иммунокомпетентных клеток у депрессивно-подобных реципиентов могут также являться механизмами редактирования их поведенческого фенотипа.
About the authors
E. V. Markova
Research Institute of Fundamental and Clinical Immunology
Author for correspondence.
Email: evgeniya_markova@mail.ru
PhD, MD (Medicine), Chief Research Associate, Head, Neuroimmunology Laboratory
Russian Federation, NovosibirskM. A. Knyazheva
Research Institute of Fundamental and Clinical Immunology
Email: evgeniya_markova@mail.ru
PhD (Biology), Junior Research Associate, Neuroimmunology Laboratory
Russian Federation, NovosibirskReferences
- Маркова Е.В. Иммунокомпетентные клетки и регуляция поведенческих реакций в норме и патологии. Красноярск: Научно-инновационный центр, 2021. 184 с. [Markova E.V. Immune cells and regulation of behavioral reactions in health and disease]. Krasnoyarsk: Scientific and Innovation Center, 2021. 184 p.
- Маркова Е.В., Княжева М.А. Психонейроиммуномодулирующий эффект иммунокомпетентных клеток при депрессивно-подобном состоянии // Патогенез, 2022. № 3. С. 107-108. [Markova E.V., Knyazheva M.A. Psychoneuroimmunomodulatory effect of immunocompetent cells in a depressive-like state. Patogenez = Pathogenesis, 2022, no. 3, pp. 107-108. (In Russ.)]
- Орловская И.А., Топоркова Л.Б., Савкин И.В., Княжева М.А., Серенко Е.В., Гойман Л.В., Шевченко Ю., Маркова Е.В. Влияние растворимых факторов макрофагов М2 фенотипа на гемопоэз при депрессивно-подобном состоянии // Медицинская иммунология, 2022. Т. 24, № 5. С. 1057-1064. [Orlovskaya I.A., Toporkova L.B., Knyazheva M.A., Savkin I.V., Serenko E.V., Goiman E.V., Shevchenko Yu.A., Markova E.V. Influence of soluble factors from the M2 phenotype macrophages on hematopoiesis in depressionlike state. Meditsinskaya Immunologiya = Medical Immunology (Russia), 2022, Vol. 24, no. 5, pp. 1057-1064. (In Russ.)] doi: 10.15789/1563-0625-IOS-2516.
- Ambrée O., Ruland C., Scheu S., Arolt V., Alferink J. Alterations of the innate immune system in susceptibility and resilience after social defeat stress. Front. Behav. Neurosci., 2018, Vol. 12, 141. doi: 10.3389/fnbeh.2018.00141.
- Bhattacharya A., Drevets W.C. Role of Neuro-immunological factors in the pathophysiology of mood disorders: implications for novel therapeutics for treatment resistant depression. Curr. Top. Behav. Neurosci., 2017, Vol. 31, pp. 339-356.
- Dean J., Keshavan M. The neurobiology of depression: An integrated view. Asian J. Psychiatr., 2017, Vol. 27, pp. 101-111.
- Idova G.V., Markova E.V., Gevorgyan M.M., Al’perina E.L., Zhanaeva S.Y. Cytokine production by splenic cells in C57BL/6J mice with depression-like behavior depends on the duration of social stress. Bull. Exp. Biol. Med., 2018, Vol. 164, pp. 645-649.
- Jun H., Mohammed S., Hussaini Q., Rigby M.J., Jang M.H. Functional role of adult hippocampal neurogenesis as a therapeutic strategy for mental disorders, Neural Plast., 2012, Vol. 2012, 854285. doi: 10.1155/2012/854285.
- Kim Y.K., Na K.S., Myint A.M., Leonard B.E. The role of pro-inflammatory cytokines in neuroinflammation, neurogenesis and the neuroendocrine system in major depression. Prog. Neuropsychopharmacol. Biol. Psychiatry, 2016, Vol. 64, pp. 277-284.
- Markova E.V., Knyazheva M.A. Immunomodulatory properties of caffeine and caffeine-treated immune cells in depression-like state. Meditsinskaya Immunologiya = Medical Immunology (Russia), 2023, Vol. 25, no. 3, pp. 533-538. doi: 10.15789/1563-0625-IPO-2666.
- Markova E.V., Knyazheva M.A. Immune cells as a potential therapeutic agent in the treatment of depression. Meditsinskaya Immunologiya = Medical Immunology (Russia), 2021, Vol. 23, no. 4, pp. 699-704. doi: 10.15789/1563-0625-ICA-2277.
- Qiao H., An S.C., Xu C., Ma X.M. Role of proBDNF and BDNF in dendritic spine plasticity and depressive-like behaviors induced by an animal model of depression. Brain Res., 2017, Vol. 1663, pp. 29-37.
- Rattazzi L., Piras G., Ono M., Deacon R., Pariante C.M., D’Acquisto F., CD4(+) but not CD8(+) T cells revert the impaired emotional behavior of immunocompromised RAG-1-deficient mice. Transl. Psychiatry, 2013, Vol. 3, e280. doi: 10.1038/tp.2013.54.
- Remes O., Mendes J.F., Templeton P. Biological, psychological, and social determinants of depression: a review of recent literature. Brain Sci., 2021, Vol. 11, no. 12, 163. doi: 10.3390/brainsci11121633.
- Xu W., Yao X., Zhao F., Zhao H., Cheng Z., Yang W., Cui R., Xu S., Li B. Changes in Hippocampal Plasticity in Depression and Therapeutic Approaches Influencing These Changes. Neural Plast., 2020, Vol. 2020, 8861903. doi: 10.1155/2020/8861903.
Supplementary files





