Генетическая модификация первичных В-клеток человека для моделирования процессов в зародышевых центрах
- Авторы: Бязрова М.Г.1,2, Сухова М.М.1,3, Михайлов А.А.1,3, Прилипов А.Г.1, Филатов А.В.1,3
-
Учреждения:
- ФГБУН «Государственный научный центр “Институт иммунологии”» ФМБА
- ФГАОУ ВО «Российский университет дружбы народов имени Патриса Лумумбы»
- ФГБОУ ВО «Московский государственный университет имени М.В. Ломоносова»
- Выпуск: Том 27, № 2 (2024)
- Страницы: 133-138
- Раздел: КРАТКИЕ СООБЩЕНИЯ
- Дата подачи: 22.03.2024
- Дата принятия к публикации: 24.03.2024
- Дата публикации: 12.08.2024
- URL: https://rusimmun.ru/jour/article/view/16622
- DOI: https://doi.org/10.46235/1028-7221-16622-GMO
- ID: 16622
Цитировать
Полный текст
Аннотация
Основные этапы созревания антиген-специфических В-клеток протекают в герминативных центрах лимфоузлов. Здесь наивные В-клетки проходят процесс соматического гипермутагенеза, а также переключение классов синтезируемых антител. В процессе дифференцировки принимается решение, по какому пути В-клетки будут развиваться далее. Они либо превратятся в короткоживущие плазмабласты, либо в В-клетки памяти или плазматические клетки. Взаимоотношение этих процессов очень важно для развития продуктивного гуморального иммунного ответа. Имеется насущная необходимость в более детальном изучении отмеченных процессов. Целью работы являлось создание системы, которая ex vivo способна моделировать процессы, протекающие в герминативных центрах. В качестве исходного материала мы использовали первичные В-клетки из периферической крови человека. После иммуномагнитной сепарации В-лимфоциты стимулировали in vitro с помощью фидерных клеток, несущих молекулы CD40L. Другим стимулирующим фактором являлся рекомбинантный растворимый IL-21. При IL-21/CD40L стимуляции В-лимфоциты изменяли свою морфологию, поверхностный фенотип, а также функциональную активность. После активной экспансии в течении 10 дней дальнейший рост клеток останавливался, и через некоторое время они погибали. Для получения стабильно пролиферирующих В-клеток мы использовали лентивирусную трансдукцию IL-21/CD40L стимулированных IgM+ В-лимфоцитов. Для этого были получены препараты лентивируса, которые несли кассету, состоявшую из генов BCL6 и BCL2L1, разделенных последовательностью кодирующей саморазрезаемый пептид P2A, а также репортерный ген GFP, отделенный от целевых генов элементом IRES. Использованная кассета обеспечивала в клетках-мишенях синтез транскрипционного фактора Bcl-6 и белка Bcl-XL. Репрессор Bcl-6 не позволял В-клеткам уходить в терминальную дифференцировку и превращаться в плазматические клетки, а белок Bcl-XL оказывал анти-апоптотическое действие. Трансдуцированные В-клетки пролиферировали более месяца и сохраняли фенотип плазмабластов. При этом через 42 дня после начала стимуляции трансдуцированные В-клетки оставались GFP-позитивными, коэкспрессировали антигены CD27 и CD38, несли поверхностный CD20 и IgM, внутриклеточный Bcl-6, Bcl-XL и IgM, сохраняли секрецию IgM, но оставались негативными по поверхностному и внутриклеточному IgG. Таким образом, длительное культивирование В-клеток не приводило к переключение класса синтезируемого Ig. Отработанная система стимуляции позволит имитировать ключевые аспекты развития В-клеток в зародышевых центрах для изучения формирования В-клеточной памяти, что в конечном счете будет способствовать разработке эффективных вакцин.
Ключевые слова
Полный текст
Введение
При первичном В-клеточном ответе происходит активация наивных антиген-специфических В-клеток и их дифференцировка в одну из следующих популяций: плазмабласты, клетки памяти и плазматические клетки [6]. Этот важный этап в развитии В-лимфоцитов проходит в герминативных центрах лимфоузлов. Дифференцировка В-клеток сопровождается переключением синтеза Ig и созреванием аффинности антител [5]. Для изучения процессов дифференцировки в зародышевых центрах применяют несколько модельных систем, в частности используются генетически модифицированные мыши. Очевидно, что этот подход имеет серьезные ограничения; связанные, главным образом, с тем, что мыши не всегда точно отражают иммунологические процессы, проходящие у человека. Привлекательным решением является создание системы, которая позволит ex vivo моделировать процессы, происходящие в зародышевых центрах. В светлой зоне зародышевых центров присутствуют клетки, которые одновременно экспрессируют BCR и секретируют антитела [7]. Для создания модельной системы эти клетки наиболее интересны, поскольку они представляют популяцию пре-плазмабластов, готовых к переходу как в В-клетки памяти, так и в плазматические клетки.
Важную роль в созревании В-лимфоцитов играют фолликулярные Т-хелперы (Tfh), которые несут на своей поверхности молекулу CD40L, взаимодействие которой с рецептором CD40 на В-лимфоците приводит к запуску NF-êB пути активации. В дополнении к этому Tfh стимулируют созревание B-клеток с помощью секретируемых цитокинов, среди которых наиболее мощным драйвером дифференцировки В-клеток является IL-21, который инициирует STAT3 путь активации [4]. Совместное действие IL-21 и CD40L является минимальной комбинацией сигналов, которая обеспечивает надежную активацию В-лимфоцитов. Однако эта система имеет существенный недостаток: активированные клетки быстро достигают терминальной дифференцировки, которая сопровождается остановкой клеточного цикла. Решить эту проблему возможно с помощью трансгенеза. В настоящей работе получены генетически модифицированные В-клетки крови человека, которые в течении двух месяцев поддерживались в состоянии преплазмабластов.
Материалы и методы
Плазмиды MSCV-Bcl6 (#31391) и pMIG-Bcl-xL (#3541), кодирующие белки Bcl-6 и Bcl-XL, были получены из Addgene (США). Используя эти плазмиды, была получена кассета, которая состояла из генов BCL6 и BCLXL, разделенных последовательностью саморазрезаемого пептида P2A. В качестве репортерного гена использовали GFP, который был отделен от целевых генов последовательностью IRES. Кассету клонировали в лентивирусный вектор pUCHR (#110661, Addgene, США).
Для получения лентивирусных частиц клетки НЕК293 временно трансфицировали тремя плазмидами: трансферной pUCHR-Bcl6-Bcl-XL-IRES-GFP, упаковочной Δ8.2R и плазмидой, кодирующей поверхностный гликопротеин вируса везикулярного стоматита VSV-G (#14888, AddGene, США). Через 4 дня после трансфекции лентивирусные частицы собирали из культуральных супернатантов и концентрировали методом ультрацентрифугирования.
Образцы цельной крови собирали в гепаринизированные вакутейнерные пробирки (Sarstedt, Германия). Мононуклеарные клетки крови выделяли центрифугированием в градиенте плотности фиколла-верографина (ñ = 1,077 г/см3). B-лимфоциты обогащали методом отрицательной иммуномагнитной сепарации с использованием набора Dynabeads Untouched human B cell kit (Thermo Fisher Scientific, США).
В качестве источника CD40L использовали фидерные клетки A549, которые были стабильно трансфицированы геном, кодирующим CD40L [1]. Фидерные клетки, обработанные 10 мкг/мл митомицином-С (Киова Хакко Когио, Япония), а также выделенные В-лимфоциты высевали по 10 000 клеток на лунку в 96-луночный планшет. В-лимфоциты культивировали в среде DMEM с добавлением 10%-ной фетальной бычьей сыворотки, 24 мкг/мл гентамицина, 1 мМ пирувата натрия, 10 мМ HEPES (НПП «ПанЭко», Россия) и 25 нг/мл IL-21 (ООО «СайСторЛаб», Россия) при 37 °C в 5% CO2.
Для окрашивания лимфоцитов использовали моноклональные антитела: CD19-PE (клон LT19), CD27-PECy5.5 (клон LT27), CD38-PECy7 (клон LT38), против IgG (клон CH1) и IgM (клон CH2) человека, которые ранее были получены в нашей лаборатории [1]. Использовали также моноклональные антитела против Bcl-6 (клон 7D1, BioLegend, США) и Bcl-XL (поликлон sc-634, Santa Cruz, США). Флуоресценцию клеток регистрировали с помощью проточного цитометра CytoFLEX S (Beckman Coulter, США).
Результаты и обсуждение
B-лимфоциты, выделенные из крови, стимулировали с помощью рекомбинантного IL-21 в присутствии фидерных клеток, несущих поверхностный CD40L. При IL-21/CD40L стимуляции изменялась морфология В-лимфоцитов и их функциональная активность. В-клетки, которые исходно имели сферический вид, в процессе стимуляции принимали нерегулярную форму с образованием псевдоподий, группировались вокруг фидерных клеток. Между В-лимфоцитами наблюдалась гомотипическая адгезия, одиночные клетки начали активно двигаться, клетки пролиферировали и их количество возрастало.
При стимуляции наблюдались также изменения фенотипа клеток. На 4-й день стимуляции около 20% клеток начинали коэкспрессировать антигены CD27 и CD38, к 10-му дню доля двойных позитивных CD27+CD38+ клеток увеличивалась до 40%. Одновременно с этим снижалась поверхностная экспрессия CD20 антигена. Наблюдалось также снижение доли клеток, несущих поверхностный IgG или IgM, при этом увеличивался процент лимфоцитов с внутриклеточным окрашиванием IgG. Уровень секреции IgG в культуральный супернатант возрастал более чем в 5 раз. В покоящихся В-лимфоцитах детектировался невысокий уровень Bcl-6, который при IL-21/CD40L стимуляции снижался ниже порога детекции. К 10-му дню экспансия В-клеток останавливалась, и они вступали в апоптоз.
Суммируя все наблюдаемые изменения, можно утверждать, что IL-21/CD40L стимулированные В-клетки по своим свойствам приближались к плазмабластам и плазматическим клеткам. Это согласуется с тем, что IL-21 инициирует STAT3 путь активации, который приводит к положительной регуляции транскрипционного фактора Blimp-1. Воздействие CD40L запускает альтернативный NF-κB сигнальный путь, который через ряд медиаторов, включая транскрипционный репрессор Bcl-6, снимает блокаду с Blimp-1. Таким образом, IL-21 и CD40L, действуя синергически, обеспечивают повышение активности Blimp-1, который в свою очередь определяет переход В-клеток в терминальную стадию дифференцировки, на которой происходит остановка клеточного деления и В-лимфоцит окончательно превращается в плазматическую клетку [3].
Для моделирования В-клеточной дифференцировки более привлекательным является удержание В-лимфоцита в состоянии пролиферирующих преплазмабластов, в котором выбор дальнейшей дифференцировки в пользу В-клеток памяти или плазматических клеток еще не сделан. Стабильно пролиферирующие В-клетки можно получить трансдукцией генов BCL6 и BCL2L1, которые кодируют транскрипционный фактор Bcl- 6 и анти-апоптотический белок Bcl-XL соответственно [8]. В экспериментах по трансдукции мы использовали более многочисленную популяцию IgM+ клеток, которые предварительно выделяли с помощью проточного сортировщика.
На разные сроки после начала IL-21/CD40L стимуляции к В-клеткам мы добавляли лентивирусные частицы, несущие гены BCL6 и BCL2L1, а также репортерный ген GFP. В зависимости от дозы и времени добавления лентивирусов было получено 9 различных вариантов трансдуцированных В-лимфоцитов. Каждые три дня с помощью проточной цитометрии мы подсчитывали количество лимфоцитов, после чего клетки пересаживали в новые лунки со свежими фидерными клетками и с добавлением IL-21.
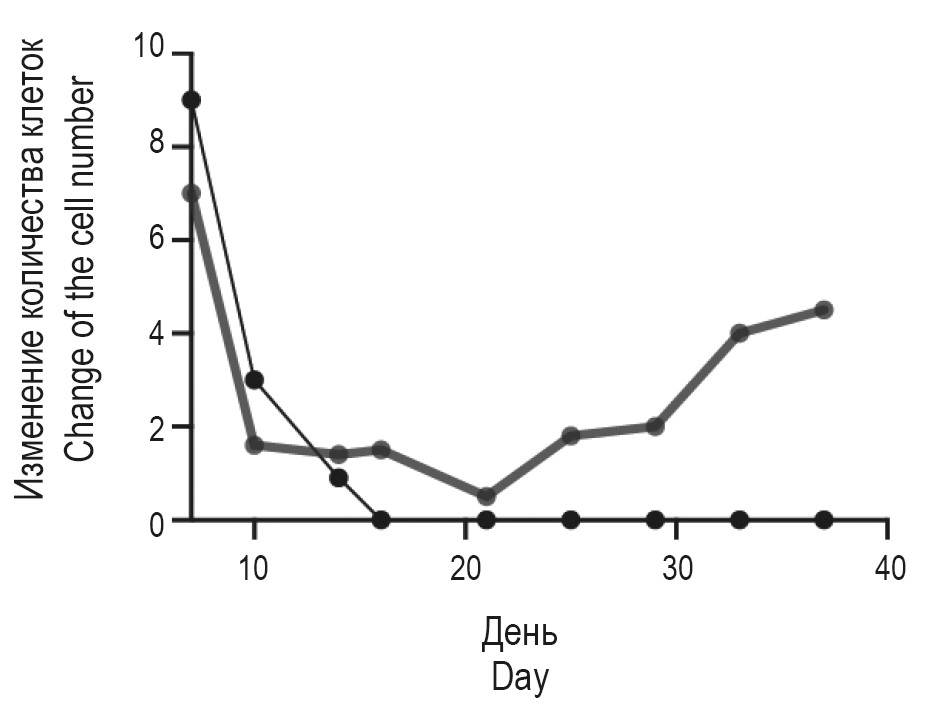
После трансдукции некоторая доля В-лимфоцитов сохраняла свою жизнеспособность вплоть до 20-го дня культивирования, после чего наблюдалось устойчивое увеличение количества лимфоцитов (рис. 1). Лимфоциты трансдуцированные на 4-й день стимуляции демонстрировали более высокий уровень пролиферации, чем лимфоциты, трансдуцированные на 7-й день стимуляции. Оптимальная доза лентивируса обеспечивала пролиферацию в течении двух месяцев с начала стимуляции. Через 42 дня после начала стимуляции более 72% клеток сохраняли GFP-флуоресценцию (рис. 2А), коэкспрессировали антигены CD27 и CD38 (рис. 2Б), несли поверхностный CD20 и IgM, но оставались негативными по поверхностному IgG (рис. 2Д, Г). Трансдуцированные В-клетки сохраняли секрецию IgM, экспрессировали внутриклеточный Bcl-6 и Bcl-XL (рис. 3А), а также внутриклеточный IgM, но не IgG (рис. 3Б). Таким образом, культивирование В-клеток в течение 42 дней не приводило к переключение класса синтезируемого Ig.
Рисунок 1. Динамика роста В-клеток трансдуцированных генами BCL6 и BCL2L1
Примечание. Тонкой линий показан отрицательный контроль с В-клетками без трансдукции.
Figure 1. Dynamics of B cell growth after transduction with the BCL6 and BCL2L1 genes
Note. The thin line shows the negative control with B cells without transduction.
Рисунок 2. Фенотипирование трансдуцированных В-клеток на 42-й день после начала стимуляции по поверхностным маркерам
Примечание. А – распределение по флуоресценции GFP+ клеток. Линией показан отрицательный контроль. Б – коэкспрессия антигенов CD27 и CD38. В – экспрессия антигенов CD20 (слева), IgM (в центре), IgG (справа). Цифрами указаны % позитивных клеток.
Figure 2. Phenotyping of transduced B cells on day 42 after the start of stimulation using surface markers
Note. A,distribution of GFP+ cell fluorescence. The line shows the negative control. B, coexpression of CD27 and CD38 antigens. C, expression of antigens CD20 (left), IgM (center), and IgG (right). The numbers indicate the % of positive cells.
Рисунок 3. Фенотипирование трансдуцированных В-клеток на 42-й день после начала стимуляции по внутриклеточным маркерам
Примечание. А – пермеабилизованные клетки окрашивали антителами против Bcl-6 (слева) или Bcl-XL (справа) и вторичными антителами против IgG мыши, мечеными фикоэритрином. Для отрицательного контроля приведены гистограммы флуоресценции клеток, окрашенных только вторичными антителами. Б – экспрессия внутриклеточного IgM (слева) и IgG (справа) на GFP+ клетках. Цифрами указаны % позитивных клеток.
Figure 3. Phenotyping of transduced B cells on day 42 after the start of stimulation using intracellular markers
Note. A, Permeabilized cells were stained with antibodies against Bcl-6 (left) or Bcl-XL (right) and secondary antibodies against mouse IgG labeled with phycoerythrin. For the negative control, fluorescence histograms of cells stained with secondary antibodies only are shown. B, expression of intracellular IgM (left) and IgG (right) on GFP+ cells. The numbers indicate the % of positive cells.
Заключение
Таким образом, в настоящей работе показано, что первичные В-клетки крови, стимулированные в системе IL-21/CD40L и трансдуцированные генами BCL6 и BCL2L1, дифференцируются в плазмабласты, которые могут пролиферировать в течении нескольких недель. Такие клетки имитируют ключевые аспекты развития В-клеток в зародышевых центрах.
Разработанная система стимуляции может служить удобным инструментом для последующих исследований по дифференцировке наивных B-клеток в предшественники В-клеток памяти и плазматические клетки.
Об авторах
М. Г. Бязрова
ФГБУН «Государственный научный центр “Институт иммунологии”» ФМБА; ФГАОУ ВО «Российский университет дружбы народов имени Патриса Лумумбы»
Email: avfilat@yandex.ru
научный сотрудник лаборатории иммунохимии; ассистент кафедры иммунологии медицинского института
Россия, Москва; МоскваМ. М. Сухова
ФГБУН «Государственный научный центр “Институт иммунологии”» ФМБА; ФГБОУ ВО «Московский государственный университет имени М.В. Ломоносова»
Email: avfilat@yandex.ru
младший научный сотрудник лаборатории иммунохимии; аспирант кафедры иммунологии биологического факультета
Россия, Москва; МоскваА. А. Михайлов
ФГБУН «Государственный научный центр “Институт иммунологии”» ФМБА; ФГБОУ ВО «Московский государственный университет имени М.В. Ломоносова»
Email: avfilat@yandex.ru
лаборант лаборатории иммунохимии; студент кафедры иммунологии биологического факультета
Россия, Москва; МоскваА. Г. Прилипов
ФГБУН «Государственный научный центр “Институт иммунологии”» ФМБА
Email: avfilat@yandex.ru
д.б.н., старший научный сотрудник лаборатории иммунохимии
Россия, МоскваА. В. Филатов
ФГБУН «Государственный научный центр “Институт иммунологии”» ФМБА; ФГБОУ ВО «Московский государственный университет имени М.В. Ломоносова»
Автор, ответственный за переписку.
Email: avfilat@yandex.ru
д.б.н., профессор, заведующий лабораторией иммунохимии; профессор кафедры иммунологии биологического факультета
Россия, Москва; МоскваСписок литературы
- Бязрова М.Г., Астахова Е.А., Спиридонова А.Б., Васильева Ю.В., Прилипов А.Г., Филатов А.В. Стимуляция В-лимфоцитов человека in vitro с помощью ИЛ-21/CD40L и их характеристика. Иммунология, 2020. Т. 41, №. 1. С. 18-27. [Byazrova M.G., Astakhova E.A., Spiridonova A.B., Vasileva Yu.V., Prilipov A.G., Filatov A.V. IL-21/CD40L stimulation of human B-lymphocytes in vitro and their characteristics. Immunologiya = Immunologiya, 2020, Vol. 41, no. 6, pp. 18-27. (In Russ.)]
- Boswell K.L., Watkins T.A., Cale E.M., Samsel J., Andrews S.F., Ambrozak D.R., Driscoll J.I., Messina M.A., Narpala S., Hopp C.S., Cagigi A., Casazza J.P., Yamamoto T., Zhou T., Schief W.R., Crompton P.D., Ledgerwood J.E., Connors M., Gama L., Kwong P.D., McDermott A., Mascola J.R., Koup R.A. Application of B cell immortalization for the isolation of antibodies and B cell clones from vaccine and infection settings. Front. Immunol., 2022, Vol. 13, 1087018. doi: 10.3389/fimmu.2022.1087018.
- Diehl S.A., Schmidlin H., Nagasawa M., van Haren S.D., Kwakkenbos M.J., Yasuda E., Beaumont T., Scheeren F.A., Spits H. STAT3-mediated up-regulation of BLIMP1 is coordinated with BCL6 down-regulation to control human plasma cell differentiation. J. Immunol., 2008, Vol. 180, no. 7, pp. 4805-4815.
- Ding B.B., Bi E., Chen H., Yu J.J., Ye B.H. IL-21 and CD40L synergistically promote plasma cell differentiation through upregulation of Blimp-1 in human B cells. J. Immunol., 2013, Vol. 190, no. 4, pp. 1827-1836.
- Inoue T., Kurosaki T. Memory B cells. Nat. Rev. Immunol., 2024, Vol. 24, no. 1, pp. 5-17.
- Inoue T., Shinnakasu R., Kurosaki T. Generation of high-quality memory B cells. Front Immunol., 2022, 12, 825813. doi: 10.3389/fimmu.2021.825813.
- Kwakkenbos M.J., Diehl S.A., Yasuda E., Bakker A.Q., van Geelen C.M., Lukens M.V., van Bleek G.M., Widjojoatmodjo M.N., Bogers W.M., Mei H., Radbruch A., Scheeren F.A., Spits H., Beaumont T. Generation of stable monoclonal antibody-producing B cell receptor-positive human memory B cells by genetic programming. Nat. Med., 2010, Vol. 16, no. 1, pp. 123-128.
- Kwakkenbos M.J., van Helden P.M., Beaumont T., Spits H. Stable long-term cultures of self-renewing B cells and their applications. Immunol. Rev., 2016, Vol. 270, no. 1, pp. 65-77.
Дополнительные файлы






