Severity of traumatic brain injury governs alterations in type 17 T helper cell subset composition
- Authors: Norka A.O.1,2, Vorobyev S.V.3, Kuznetsova R.N.1,2, Serebriakova M.K.4, Kudryavtsev I.V.2,4, Kovalenko S.N.5, Monashenko D.N.6
-
Affiliations:
- Saint Petersburg Pasteur Institute
- First St. Petersburg State I. Pavlov Medical University
- Almazov National Medical Research Centre
- Institute of Experimental Medicine
- S. Kirov Military Medical Academy
- Russian Research Institute of Traumatology and Orthopedics
- Issue: Vol 27, No 3 (2024)
- Pages: 613-620
- Section: SHORT COMMUNICATIONS
- Submitted: 31.03.2024
- Accepted: 31.03.2024
- Published: 25.09.2024
- URL: https://rusimmun.ru/jour/article/view/16629
- DOI: https://doi.org/10.46235/1028-7221-16629-SOT
- ID: 16629
Cite item
Full Text
Abstract
Immune cell hyperactivation along with cytokines they overproduce plays an important role in traumatic brain injury (TBI). A central place in the immunopathogenesis of TBI is held by diverse cell-mediated reactions governed by T helper (Th) cell populations including Th17 subset. We studied peripheral blood plasma samples of the patients with sarcoidosis (n = 123): group 1 – patients with concussion; group 2 – mild TBI; group 3 – moderate TBI; and group 4 – severe TBI. The control group was samples from healthy volunteers (n = 48). T cell subset composition was assessed by flow cytometry. Within Th central memory cells (Th CM): the level of “double-negative” Th17 (DN Th17) was significantly increased in patients with mild TBI (p = 0.014) and moderate TBI (p = 0.003); the level of “classical” Th17 (p = 0.010) also was significantly increased, but only with severe TBI; the level of “non-classical” Th 17 (Th17.1) were shown to have significantly reduced level only patients with severe TBI (p = 0.008); the level of “double-positive” Th17 (DP Th17) was significantly increased in patients with mild TBI (p = 0.006) and moderate TBI (p = 0.012). Within Th effector memory cells, an increased level of DN Th17 turned out to be significantly increased in all groups (p < 0.05) and “classical” Th17 in patients with mild TBI and moderate TBI (р < 0,05); the level of Th17.1 was significantly reduced in patients with severe TBI (p = 0.015). The results indicate the active generation of a subpopulation of Th17 cells of both central (Th CM) and effector memory (ThEM), which indicates directed migration of cells in response to TBI. This probably occurs due to the high plasticity of Th17 (changes in phenotype) and functional properties that change depending on the microenvironment into which a particular cell finds itself, which causes the occurrence of reciprocal changes as a response to damage in nervous tissue of different severity.
Full Text
Введение
Черепно-мозговая травма (ЧМТ) является актуальной проблемой современного здравоохранения, представляя собой многофакторное заболевания, которое характеризуется развитием хронической неврологической патологии [14]. Нейровоспаление, в развитии которого принимают участие клетки иммунной системы, рассматривается как ключевой фактор в патогенезе повреждения нервной ткани при травме головного мозга [5, 8, 11]. Так, особое внимание в последние годы уделяется роли субпопуляций Т-хелперов (Th), в том числе Т-хелперов 17-го типа (Тh17-типа) и регулирующих их цитокинов, которые являются ключевым звеном нейровоспалительного процесса в ответ на травматическое и другое повреждение головного мозга [2, 7, 11].
Гиперактивация иммунных клеток наряду с цитокинами и хемокинами, которые они продуцируют, играет важную роль в развитии нейровоспаления [1, 8, 13]. Согласно современным представлениям, центральное место в иммунопатогенезе ЧМТ занимают разнообразные клеточно-опосредованные реакции, включая субпопуляции Th-клеток (в особенности Th1 и Th17), а также сравнительно недавно описанные «неклассические» или «пластические» популяции клеток – Тh1/Тh17 или Тh17.1, которые обладают характеристиками Тh1 и Th17 и рассматриваются в качестве «патогенной» популяции за счет продукции CCL2, CCL4, CCL5, IL-22, тем самым способствуя поддержанию нейровоспаления [6, 7]. Также описана субпопуляция дважды-негативных Т-хелперов 17-го типа (DN Th17), которые обладают повышенной экспрессией TNFá, IFNã, IL-17A, IL17F, MIP-3á/CCL20, и дважды-позитивных Т-хелперов 17-го типа (DP Th17) [4]. Эти субпопуляции различаются по спектру экспрессирующих рецепторов и продукции цитокинов, поэтому требуется детальное изучение их вклада в развитие и поддержание нейровоспаления после ЧМТ. Поэтому целью исследования было оценить субпопуляционный состав Т-хелперов 17-го типа в соответствии со степенью ЧМТ
Материалы и методы
В исследование были включены 110 больных (51 мужчина и 59 женщин) с диагнозом «черепно-мозговая травма», поступивших по экстренным показаниям в нейрохирургическое отделение № 1 Санкт-Петербургского государственного бюджетного учреждения здравоохранения «Городская больница № 26». В контрольную группу вошли 48 практически здоровых лиц (26 женщин, 22 мужчины), которые были донорами отделения переливания крови Первого Санкт-Петербургского государственного медицинского университета имени акад. И.П. Павлова. Согласно международной классификации, все пациенты были разделены на 4 группы [10]: 1-я группа – больные с сотрясением головного мозга (СТГ); 2-я группа – с ушибом головного мозга легкой степени тяжести (УЛС); 3-я группа – с ушибом головного мозга средней степени тяжести (УСС); 4-я группа – с ушибом тяжелой степени тяжести (УТС). Всем пациентам в 1-е сутки от момента поступления проводился неврологический осмотр пo стандартной методике с последующей оценкой степени поражения функциональных систем: зрительной, пирамидной, мозжечковой, чувствительной, функций тазовых органов, ствола мозга. В контрольную группу вошли 48 практически здоровых лиц (женщины – 26 человек, мужчины – 22 человека) в возрасте от 18 до 55 лет (средний возраст 42,3±11,3 лет).
Объектом исследования служила венозная кровь больных ЧМТ различной степени тяжести и условно здоровых доноров, полученная путем пункции периферической вены и собранная в вакуумные пробирки с содержанием K3ЭДТА. Подготовку образцов периферической крови и настройку проточного цитофлуориметра проводили в соответствии с рекомендациями, изложенными Хайдуковым С.В. и соавт. [1]. Для выявления основных популяций Т-хелперов периферической крови с фенотипом применялся набор моноклональных антител производства Beckman Coulter и был детально описан ранее [1, 3].
После разрушения эритроцитов образцы однократно отмывали избытком физиологического раствора при 330 g в течение 7 минут, после чего надосадок удаляли, а клеточный осадок ресуспен- дировали в физиологическом растворе с рН 7,2-7,4, содержащем 2%-ного параформальдегида (Sigma-Aldrich, США). Анализ образцов проводили на проточном цитофлуориметре NaviosTM (Beckman Coulter, США), оснащенном тремя диодными лазерами 405, 488 и 638 нм. Обработку цитофлуориметрических данных проводили при помощи программ Navios Software v. 1.2 и KaluzaTM v. 1.5a (Beckman Coulter, США). Анализ коэкпрессии хемокиновых рецепторов CCR4, CCR6, CXCR3 и CXCR5 проводили с применением тактики «гейтирования», основанной на иерархических дендрограммах для общего пула CD45RA-негативных Th памяти, а также СМ и ЕМ Th, описанной ранее [2, 6]. Статистическую обработку проводили при помощи программного обеспечения Statistica 8.0 (StatSoft Inc., США) и GraphPad Prism 4.00 for Windows (GraphPad Prism Software Inc., США). Результаты выражали в виде % позитивных клеток от искомой популяции и приводили в виде медианы и интерквартильного размаха (Q0,25-Q0,75). Сравнение уровней основных субпопуляций Th у больных, перенесших ЧМТ, и группы контроля проводили при помощи U-критерия Манна–Уитни.
Результаты и обсуждение
Анализ CCR6-экспрессирующих Th17 в образцах периферической крови среди Т-хелперов центральной (CM) и эффекторной памяти (EM) показал достоверно повышенный уровень относительных и абсолютных значений у всех больных с ЧМТ в сравнении с контрольной группой (р < 0,05). Результаты представлены в таблице 1.
Таблица 1. Содержание абсолютного и относительного содержания Тh17-типа в рамках общего пула Т-хелперов центральной (СM) и эффекторной памяти (EM) у пациентов с черепно-мозговой травмой, Me (Q0,25-Q0,75)
Table 1. Percentage and absolute number of peripheral blood central memory (CM) and effector memory (EM) Th17 cell subset level in acute and chronic sarcoidosis compared to control subjects, Me (Q0.25-Q0.75)
Популяция Т-хелперов Population T-helpers | Фенотип Phenotype | Группа 1 (СТГ) Group 1 concussion; | Группа 2 (УЛС) Group 2 mild TBI | Группа 3 (УСС) Group 3 moderate TBI | Группа 4 (УТС) Group 4 severe bruise | Группа 5 (КГ) Group 5 control group | Значимые различия Significant differences (р) | |
Th17 CM* | CXCR5-CCR6+ | % | 45,0 (34,8-48,4) | 47,0 (39,3-52,7) | 43,1 (35,3-51,1) | 43,3 (39,5-50,5) | 34,3 (31,1-42,3) | р1-5 = 0,001 р2-5 < 0,001 р3-5 = 0,004 р4-5 < 0,001 |
кл/мкл kl/mkl | 169,4 (125,1-289,0) | 149,0 (90,3-218,0) | 138,0 (60,0-270,6) | 123,4 (94,2-198,0) | 113,3 (74,3-143,5) | р1-5 = 0,003 р2-5 = 0,052 р3-5 = 0,043 р4-5 = 0,050 | ||
Th17 EM** | CXCR5-CCR6+ | % | 61,5 (54,2-68,0) | 65,4 (53,9-73,0) | 59,6 (47,3-66,7) | 60,3 (46,0-62,71) | 34,3 (31,1-42,3) | р1-5 < 0,001 р2-5 < 0,001 р3-5 = 0,013 р4-5 = 0,021 |
кл/мкл kl/mkl | 97,4 (59,8-156,2) | 91,3 (56,7-120,2) | 84,5 (51,8-127,3) | 88,2 (54,3-126,6) | 77,8 (56,6-112,3) | р1-5 = 0,050 р3-4 = 0,002 р3-5 < 0,001 р4-5 = 0,031 | ||
Примечание. % – процент содержания от общего пула Т-хелперов центральной (CM)* и эффекторной памяти (EM)**; СТГ– сотрясение головного мозга; УЛС – ушиб легкой степени тяжести; УСС – ушиб средней степени тяжести; УТС – ушиб тяжелой степени тяжести; КГ – контрольная группа; p1-2, p1-3, p1-4, p1-5, p2-3, p2-4, p2-5, p3-4, p3-5, p4-5 – различия между соответствующими группами.
Note. Significant differences according to the Mann–Whitney U test. *, level within total CM Th cell population. **, level within total EM Th cell population. Group 1, concussion; Group 2, mild TBI; Group 3, moderate TBI; Group 4, severe bruise; Group 5, control group.
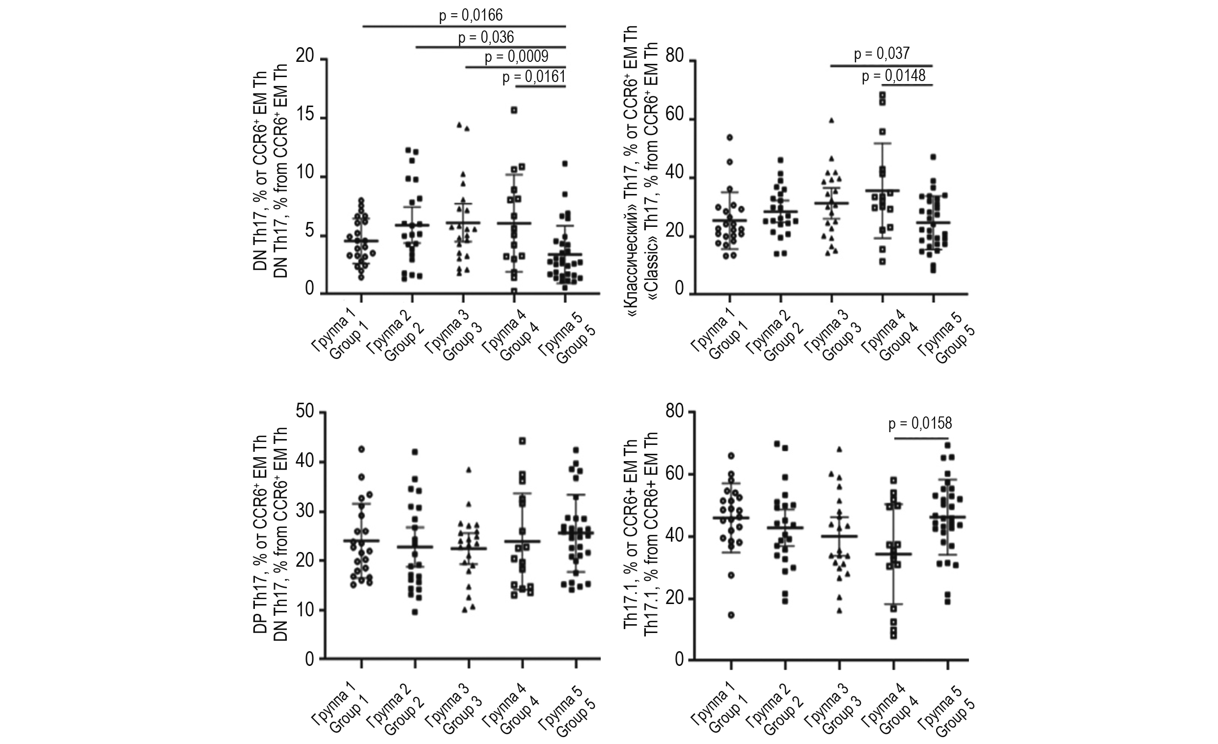
В рамках общего пула CCR6+ Th СМ и EM были выделены четыре основные субпопуляции Th17, которые различались как по паттернам экспрессии хемокиновых рецепторов CXCR3 и CCR4, так и по спектру функциональных активностей. В настоящее время выделяют «классические» Th17 с фенотипом CCR4+CXCR3-, CCR4+CXCR3+Th17, обозначаемые как «дважды-позитивные» или DP Th17, «не классические» CCR4-CXCR3+ или Th17.1 и «дважды-негативные» CCR4-CXCR3- или DN Th17 лимфоциты. Нами был проведен детальный анализ циркулирующих Th17 в рамках Т-хелперов центральной и эффекторной памяти и отдельных субпопуляций, циркулирующих Th17, различающихся по уровню экспрессии CCR4 и CXCR3 в зависимости от степени тяжести
Проведенный анализ позволил установить динамические изменения в субпопуляции Th17, среди всех CCR6+Th CM и EM у пациентов с ЧМТ различной степени тяжести.
В рамках пула CCR6+Th CM был выявлен повышенный уровень относительного содержания DN Th17 у пациентов во 2-й (УЛС) (р = 0,014) и 3-й группах (УСС) (р = 0,003). Достоверно повышенное содержание «классических» Th17 (р = 0,010) было выявлено только в группе, имеющей обширные повреждения (УТС), а в популяции «не классических» Th17 (популяции клеток, ответственных за продукцию интерферона гамма (IFNã) и интерлейкина-17А (IL-17А)) выявлены обратные изменения в виде их пониженного уровня (р = 0,008). Содержание DP Th17 (популяция клеток, обладающая высокой миграционной способностью в периферические ткани и органы, обусловленной высокой экспрессией хемокиновых рецепторов и адгезионных молекул) установлен достоверно повышенный их уровень у пациентов во 2-й (УЛС) (р = 0,006) и в 3-й группах (УСС) (р = 0,012).
При оценке изменений в субпопуляциях Th17 в рамках CCR6+Th EM выявлено повышенное количество DN Th17 у пациентов всех групп (р < 0,05). Установлено значимое повышение количества «классических» Th17 у пациентов во 2-й группе (УЛС) и 3-й группе (УТС) в сравнении с контрольной группой (р < 0,05). Содержание «неклассических» Th17 (Th17.1) было достоверно снижено только у пациентов в 4-й группе (УТС) (р = 0,015). Анализ DP Th17 не выявил достоверно значимых изменений.
Результаты сравнения содержания указанных популяций в рамках пулов CCR6+СМ и EМ представлены на рисунках 1 и 2.
Рисунок 1. Распределение Th17 по субпопуляциям клеток в пределах общего пула CCR6+Th центральной памяти (Th CM) с фенотипом CD45RA-CD62L+ y пациентов с ЧМТ различной степени тяжести
Примечание. Результаты представлены в виде медианы и интерквартильного диапазона (Me (Q0,25-Q0,75)); группа 1 – сотрясение головного мозга; группа 2 – ушиб легкой степени тяжести; группа 3 – ушиб средней степени тяжести; группа 4 – ушиб тяжелой степени тяжести; группа 5 – контрольная группа.
Figure 1. Distribution of Th17 across cell subpopulations within the total pool of CCR6+Th central memory (Th CM) with phenotype CD45RA-CD62L+ patients with TBI of varying severity
Note. Results are presented as median and interquartile range (Me (Q0.25-Q0.75)); Group 1, concussion; Group 2, mild TBI; Group 3, moderate TBI; Group 4, severe bruise; Group 5, control group.
Рисунок 2. Распределение Th17 по основным субпопуляциям клеток в пределах общего пула CCR6+Th эффекторной памяти (Th EM) с фенотипом CD45RA-CD62L+ у пациентов с ЧМТ различной степени тяжести
Примечание. См. примечание к рисунку 1.
Figure 2. Distribution of Th17 by main subpopulations of cells within the general pool of CCR6+ Th effector memorv (Th EM) with the CD45RA-CD62L+ phenotype in patients with TBI of varying severity
Note. As for Figure 1.
Заключение
Результаты нашей работы указывают, что при ЧМТ различной степени тяжести происходило активное формирование пула «пластичных» Th17, как в рамках центральной, так и эффекторной памяти. Среди всех субпопуляций Th17 было выявлено понижение DP Th17 и «неклассических» Th17 у всех пациентов с ушибом головного мозга, однако по мере увелечения степени тяжести (4-я группа (УТС)) наблюдались изменения в виде повышения DN Th17 и «классических» Th17. Выявленные изменения свидетельствуют о том, что степень тяжести обусловаливает формирование пула «пластичных» Th17, обладающих повышенной способностью к миграции во вторичные лимфоидные ткани и нервной ткани и синтезом IFNã, IL-12, IL-1β, IL-6, IL-23 как закономерного процесса в ответ на повреждение нервной ткани.
Полученные результаты указывают на активное формирование пула клеток Th17 как центральной (Th CM), так и эффекторной памяти (Th EM), что свидетельствует о направленной миграции клеток в ответ на ЧМТ. Это происходит, вероятно, за счет высокой пластичности Th17 (изменения фенотипа) и функциональных свойств, меняющихся в зависимости от микроокружения, в которое попадает та или иная клетка, что обуславливает возникновение реципрокных изменений как закономерного процесса в ответ на повреждение нервной ткани различной степени тяжести. Выявленные в исследовании закономерности согласуются с результатами ряда других имеющихся работ о роли Th17 в патогенезе заболевания головного мозга [7, 12, 13]. Возможные механизмы действия Th17 обусловлены продукцией IL-17, усиливающей миграцию нейтрофилов в очаг повреждения, прямым цитотоксическим действием по отношению к нейронам, а также участием в нарушениях ГЭБ путем изменения экспрессии молекул клеточной адгезии на эндотелиальных клетках, усилением продукции матриксных металлопротеиназ, а также за счет блокировки выработки эндотелиального NO, приводящей к развитию эндотелиальной дисфункции и последующего снижения мозгового кровотока [2, 6, 12]. Результаты исследования демонстрируют роль изменения «поляризации» Th, обусловленной активацией M1/M2 клеток микроглии и дальнейшей активацией пролиферации «наивных» Т-клеток в Th1/Th2/Th17 типа в зависимости от степени тяжести, что определяет направленность ответа со стороны T-хелперов, играющих решающую роль в развитии посттравматической нейродегенерации.
About the authors
A. O. Norka
Saint Petersburg Pasteur Institute; First St. Petersburg State I. Pavlov Medical University
Author for correspondence.
Email: norka-anna@mail.ru
PhD (Medicine), Senior Laboratory Assistant, Department of Immunology, Neurologist, Medical Centre
Russian Federation, St. Petersburg; St. PetersburgS. V. Vorobyev
Almazov National Medical Research Centre
Email: norka-anna@mail.ru
PhD, MD (Medicine), Chief Research Associate, Research Laboratory of Neurology and Neurorehabilitation
Russian Federation, St. PetersburgR. N. Kuznetsova
Saint Petersburg Pasteur Institute; First St. Petersburg State I. Pavlov Medical University
Email: norka-anna@mail.ru
PhD (Medicine), Associate Professor, Department of Immunology, Allergist-Immunologist, Medical Centre
Russian Federation, St. Petersburg; St. PetersburgM. K. Serebriakova
Institute of Experimental Medicine
Email: norka-anna@mail.ru
Postraduate Student, Research Associate, Department of Immunology
Russian Federation, St. PetersburgI. V. Kudryavtsev
First St. Petersburg State I. Pavlov Medical University; Institute of Experimental Medicine
Email: norka-anna@mail.ru
PhD (Biology), Senior Research Associate, Department of Immunology, Associate Professor, Department of Immunology
Russian Federation, St. Petersburg; St. PetersburgS. N. Kovalenko
S. Kirov Military Medical Academy
Email: norka-anna@mail.ru
Lecturer, Department of Neurosurgery
Russian Federation, St. PetersburgD. N. Monashenko
Russian Research Institute of Traumatology and Orthopedics
Email: norka-anna@mail.ru
PhD (Medicine), Neurosurgeon
Russian Federation, St. PetersburgReferences
- Байдун Л.А., Зурочка А.В., Хайдуков С.В., Тотолян Арег А. Стандартизованная технология «Исследование субпопуляционного состава лимфоцитов периферической крови с применением проточных цитофлюориметров-анализаторов» (проект) // Медицинская иммунология, 2012. Т. 14, № 3. С. 255-268. [Baydun L.A., Zurochka A.V., Khaydukov S.V., Totolian Areg A., Standardized technology «Peripheral blood Lymphocyte subpopulations by using of flow cytometry-analizators» (proect). Meditsinskaya immunologiya = Medical Immunology (Russia), 2012., Vol. 14, no. 3, pp. 255-268. (In Russ.)] doi: 10.15789/1563-0625-2012-3-255-268.
- Колударова Е.М., Тучик Е.С., Жежель И.А. Особенности нейровоспалительной реакции в остром посттравматическом периоде диффузной черепно-мозговой травмы // Вестник судебной медицины, 2021. Т. 10, № 1. С. 18-21. [Koludarova E.M., Tuchik E.S., Zhezhel I.A. Features of the neuroinflammatory reaction in the acute post-traumatic period of diffuse traumatic brain injury. Vestnik sudebnoy meditsiny = Bulletin of Forensic Medicine, 2021 , Vol. 10, no. 1, pp. 18-21. (In Russ.)]
- Кудрявцев И.В., Субботовская А.И. Опыт измерения параметров иммунного статуса с использованием шестицветного цитофлуоримерического анализа // Медицинская иммунология, 2015. T. 17, № 1. С. 19-26. [Kudryavtsev I.V., Subbotovskaya A.I. Application of six-color flow cytometric analysis for immune profile monitoring. Meditsinskaya immunologiya = Medical Immunology (Russia), 2015, Vol. 17, no. 1, pp. 19-26. (In Russ.)] doi: 10.15789/1563-0625-2015-1-19-26.
- Кудрявцев И.В., Борисов А.Г., Кробинец И.И., Савченко А.А., Серебрякова М.К., Тотолян Арег А. Хемокиновые рецепторы на Т-хелперах различного уровня дифференцировки: основные субпопуляции // Медицинская иммунология, 2016. Т. 18, № 3. С. 239-250. [Kudryavtsev I.V., Borisov A.G., Krobinets I.I., Savchenko A.A., Serebriakova M.K., Totolian A.A. Chemokine receptors at distinct differentiation stages of T-helpers from peripheral blood. Meditsinskaya immunologiya = Medical Immunology (Russia), 2016, Vol. 18, no. 3, pp. 239-250. (In Russ.)] doi: 10.15789/1563-0625-2016-3-239-250.
- Лихтерман Л.Б. Черепно-мозговая травма. Диагностика и лечение. Москва: ГЭОТАР-Медиа. 2014. 488 с. [Likhterman L.V. Traumatic brain injury. Diagnosis and treatment]. Moscow. GEOTAR-Media. 2014. 488 p.
- Норка А.О., Воробьев С.В., Кудрявцев И.В., Кузнецова Р.Н., Серебрякова М.К., Монашенко Д.Н., Шубина К.М., Tотолян А.А. Сотрясение и ушиб головного мозга легкой степени тяжести: нейропсихологические и иммунопатогенетические аспекты // Российский нейрохирургический журнал им. профессора А.Л. Поленова, 2023. Т. XV, № 1. С. 37-44. [Norka A.O., Vorobyov S.V., Kudryavtsev I.V., Kuznetsova R.N., Serebryakova M.K., Monashenko D.N., Shubina K.M., Totolyan A.A. Concussion and contusion of the brain of mild severity: neuropsychological and immunopathogenetic aspects. Rossiyskiy neyrokhirurgicheskiy zhurnal im. professora A.L. Polenova = Russian Neurosurgical Journal named after Professor Polenov, 2023, Vol. XV, no. 1, pp. 37-44. (In Russ.)]
- Поповская Е.В., Филиппова О.Е., Шашкова Е.Ю., Щеголева Л.С. Клеточные иммунные реакции при черепно-мозговой травме // Экология человека, 2020. № 11. С. 32-37. [Popovskaya E.V., Filippova O.E., Shashkova E.Yu., Shchegoleva L.S. Cellular immune reactions in traumatic brain injury. Ekologiya cheloveka = Human Ecology, 2020, no. 11, pp. 32-37. (In Russ.)]
- Сабиров Д.М., Росстальная А.Л., Махмудов М.А. Эпидемиологические особенности черепно-мозгового травматизма // Вестник экстренной медицины, 2019. № 2. С. 61-65. [Sabirov D.M., Rosstalnaya A.L., Makhmudov M.A. Epidemiological features of craniocerebral traumatism. Vestnik ekstrennoy meditsiny = Bulletin of Emergency Medicine, 2019, no. 2, pp. 61–65. (In Russ.)]
- Dantzer R., O’Connor J.C., Freund G.G., Johnson R.W., Kelley K.W. From inflammation to sickness and depression: when the immune system subjugates the brain. Nat. Rev. Neurosci, 2008, Vol. 9, no. 1, pp. 46-56.
- Erickson M.A., Wilson M.L. In vitro modeling of blood-brain barrier and interface functions in neuroimmune communication. Fluids Barriers CNS, 2020, Vol. 1, no. 17, 26. doi: 10.1186/s12987-020-00187-3.
- Ladak A.A., Enam S.A., Ibrahim M.T. A review of the molecular mechanisms of traumatic brain injury. World Neurosurg., 2019, Vol. 131, pp. 126-132.
- Lassarén P., Lindblad C., Frostell A. Systemic inflammation alters the neuroinflammatory response: a prospective clinical trial in traumatic brain injury. J. Neuroinflamm., 2021., Vol. 18, no. 1, 221. doi: 10.1186/s12974-021-02264-2.
- Nizamutdinov D., Shapiro L. A. Overview of traumatic brain injury: an immunological context overview of traumatic brain injury: an immunological context. Brain Sci., 2017, Vol. 7, 11. doi: 10.3390/brainsci7010011.
- Peeters W.R., van den Brande R., Polinder S. Epidemiology of traumatic brain injury in Europe. Acta Neurochir, 2015, Vol. 10, no. 157, pp. 1683-1696.
Supplementary files





