Effect of proteins from the coelomic fluid of superficially wounded holothurians on the activity of phagocytes
- Authors: Dolmatova L.S.1, Karaulova E.P.2
-
Affiliations:
- V. Ilyichev Pacific Oceanological Institute
- Pacific Branch of Russian Federal Research Institute of Fisheries and Oceanography
- Issue: Vol 27, No 2 (2024)
- Pages: 167-174
- Section: SHORT COMMUNICATIONS
- Submitted: 03.04.2024
- Accepted: 05.04.2024
- Published: 12.08.2024
- URL: https://rusimmun.ru/jour/article/view/16917
- DOI: https://doi.org/10.46235/1028-7221-16917-EOP
- ID: 16917
Cite item
Full Text
Abstract
Holothurians are among the most capable of regenerating animals. Their phagocytes are analogues of macrophages, but the mechanisms of their participation in wound healing have not been studied. The aim of the work is to determine the effect of individual protein components isolated from the coelomic fluid of holothurians with superficial damage to the body wall on the functional activity of the two types of phagocytes (P1 and P2) in holothurian Eupentacta fraudatrix.
Protein components of the coelomic fluid of holothurians with superficial wounds of the body wall were analyzed and collected by gel permeation chromatography. We used proteins whose content changed significantly during the wound healing period in preliminary experiments. Two proteins and a peptide were added to phagocytes, isolated by gradient centrifugation, simultaneously with the thermostable toxin of Yersinia pseudotuberculosis and incubated for 24 h. The production of superoxide anion radical was determined by the reduction of nitroblue tetrazolium (NBT) using a colorimetric method. To assess the specificity of the proteins, bovine serum albumin (BSA) was used as an internal control. In one-day in vivo experiments, proteins were administered to wounded animals.
Two proteins, when compared with the effect of BSA, did not show a specific effect on the production of reactive oxygen species in phagocytes in vitro. However, a comparison of the effect of the peptide on the oxidative activity and viability of phagocytes with those of BSA revealed the specificity of its action. The peptide reduced the oxidative activity of P1 phagocytes and increased it in P2 phagocytes in a direct concentration-dependent manner. One of the two proteins being administered to wounded holothurians caused a multidirectional concentration-dependent effect on the oxidative activity of the two types of phagocytes, with a predominant suppression of the P1 phenotype activity. The ability of protein components to cause a shift in the ratio of oxidative activity of the two types of phagocytes towards the preferential activation of P2 phagocytes, which are considered as functional analogues of M2 macrophages, suggests that they act as anti-inflammatory agents.
Full Text
Введение
Восстановление тканей и регенерация органов являются одной из важнейших проблем медицины. Важное место в механизмах регенерации тканей имеют клетки иммунной системы. Ключевую роль играют макрофаги, основными типами которых являются М1-макрофаги, играющие роль на стадии воспаления, и М2-макрофаги, участвующие в восстановлении тканей [9]. Известно, что при воспалительных состояниях и ранениях состав белковых фракций крови существенно меняется [2], что связано с появлением в крови белков из поврежденных клеток и цитокинов, в частности таких, как S100 белки, белки теплового шока, интерлейкины (IL) IL-1 и IL-33, которые, по-видимому, могут влиять на рекрутирование и активацию неповрежденных иммунных клеток. Кроме того, активные формы кислорода (АФК) способны стимулировать воспаление [9]. Вместе с тем известно, что способность к регенерации у беспозвоночных, у которых адаптивный иммунитет практически отсутствует [3], значительно более выражена, чем у позвоночных. При этом голотурии являются одними из наиболее способных к регенерации животных [4].
Иммунные клетки голотурий, амебоциты, или фагоциты, являются аналогами макрофагов [3]. У голотурии Eupentacta fraudatrix Djakonov et Baranova, 1958 выявлено два типа фагоцитов, получивших название Ф1 и Ф2, с различными морфофункциональными характеристиками [5]. В частности, высокий уровень оксида азота (NO) является маркером Ф1, а высокая активность аргиназы – маркер Ф2-фагоцитов, подобно М1- и М2-макрофагам соответсвенно [6].
Ранее нами из целомической жидкости E. fraudatrix, которым был произведен поверхностный надрез тела, были выделены несколько фракций белков, концентрация которых изменялась в наибольшей степени на различных этапах заживления раны. Целью настоящей работы явилось выяснение влияния отдельных белковых компонентов на уровень функциональной активности двух типов фагоцитов голотурии E. fraudatrix.
Материалы и методы
Голотурии с длиной тела 4,5-5,5 см собирали в б. Восток (зал. Петра Великого Японского моря) с использованием легководолазного снаряжения. До начала экспериментов животные находились в аэрируемом аквариуме с сезонной температурой воды не менее двух недель.
На 1-м этапе эксперимента животным (n = 14) наносили поверхностную рану (надрез стерильным скальпелем) и через сутки получали целомическую жидкость, добавляя ее к антикоагулирующему раствору [6]. Анализировали молекулярное распределение белков, отбирали белковые компоненты, содержание которых изменялось на отдельных этапах ранозаживления, как было установлено в предварительных экспериментах. Эти белковые компоненты замораживали и хранили при -20 °С до использования в дальнейших экспериментах.
На следующем этапе для экспериментов in vitro отбирали и объединяли целомическую жидкость 14 голотурий (n = 3). Выделяли фракции фагоцитов Ф1 и Ф2 в градиенте плотности фиколл-верографина, как описано ранее [6].
Для стимуляции продукции АФК использовали термостабильный токсин Yersinia pseudotuberculosis (ТsТYp), предоставленный д.м.н., профессором Н.Ф. Тимченко. Клетки (1 млн/мл) инкубировали в круглодонных планшетах 24 ч при температуре 22 °С с ТsТYp (0,15 мкг/мл) и одним из выделенных белков или БСА (Serva, Германия), который использовали как контроль на неспецифическое действие белка. В контрольные лунки добавляли фосфатно-солевой буфер с добавлением 36 г/л NaCl (ФСБН, pH 7,6).
Для экспериментов in vivo отобранные белковые фракции с молекулярной массой 39,1 (белок 39) и 10 кДа (белок 10), а также пептид с молекулярной массой 2,99 (пептид) инъецировали в целомическую полость через стенку тела, на другом конце тела голотурии делали поверхностный надрез. Контрольным животным инъецировали ФСБН. Еще одной группе раненых животных вводили БСА. В каждой группе использовали 4 животных в трех независимых экспериментах. Через 24 ч получали целомическую жидкость и выделяли фагоциты Ф1 и Ф2, ресуспендировали их в ФСБН. Молекулярную массу белков определяли методом гель-проникающей хроматографии на хроматографе Agilent Technologies 1260 Infinity (США). Использовали колонку TSK gel G 3000PWXL (7,8 мм × 30 см) (TOSOH Corporation, Токио, Япония). Детектирование проводили при 280 нм. Для определения молекулярной массы использовали калибровочный график, построенный с использованием стандартных образцов белков (Sigma-Aldrich Co., США). Объем пробы, вносимой для разделения, составлял 30-50 мкл. Сбор фракций осуществляли в непрерывном автоматическом режиме, в объеме 100 мкл/фракция. Все измерения проводили трижды. Фракции, содержащие индивидуальные белки, объединяли в соответствии с хроматографическим профилем. Концентрацию белков в отдельных пробах определяли методом Брэдфорда. О функциональной активности фагоцитов судили по уровню продукции супероксиданион-радикала, который определяли по восстановлению нитросинего тетразолия (НСТ) колориметрическим методом [2].
Жизнеспособность клеток определяли по исключению трипанового синего. Концентрацию клеток определяли в камере Горяева.
Статистический обработку результатов проводили с использованием программного обеспечения GraphPad InStat, v. 3.01 (GraphPad Software, Inc., США). Данные представлены как средние значения ± средняя ошибка измерений. Достоверность различий определяли с использованием t-критерия Стьюдента. Разницу между экспериментальными значениями считали достоверной при p < 0,05.
Результаты и обсуждение
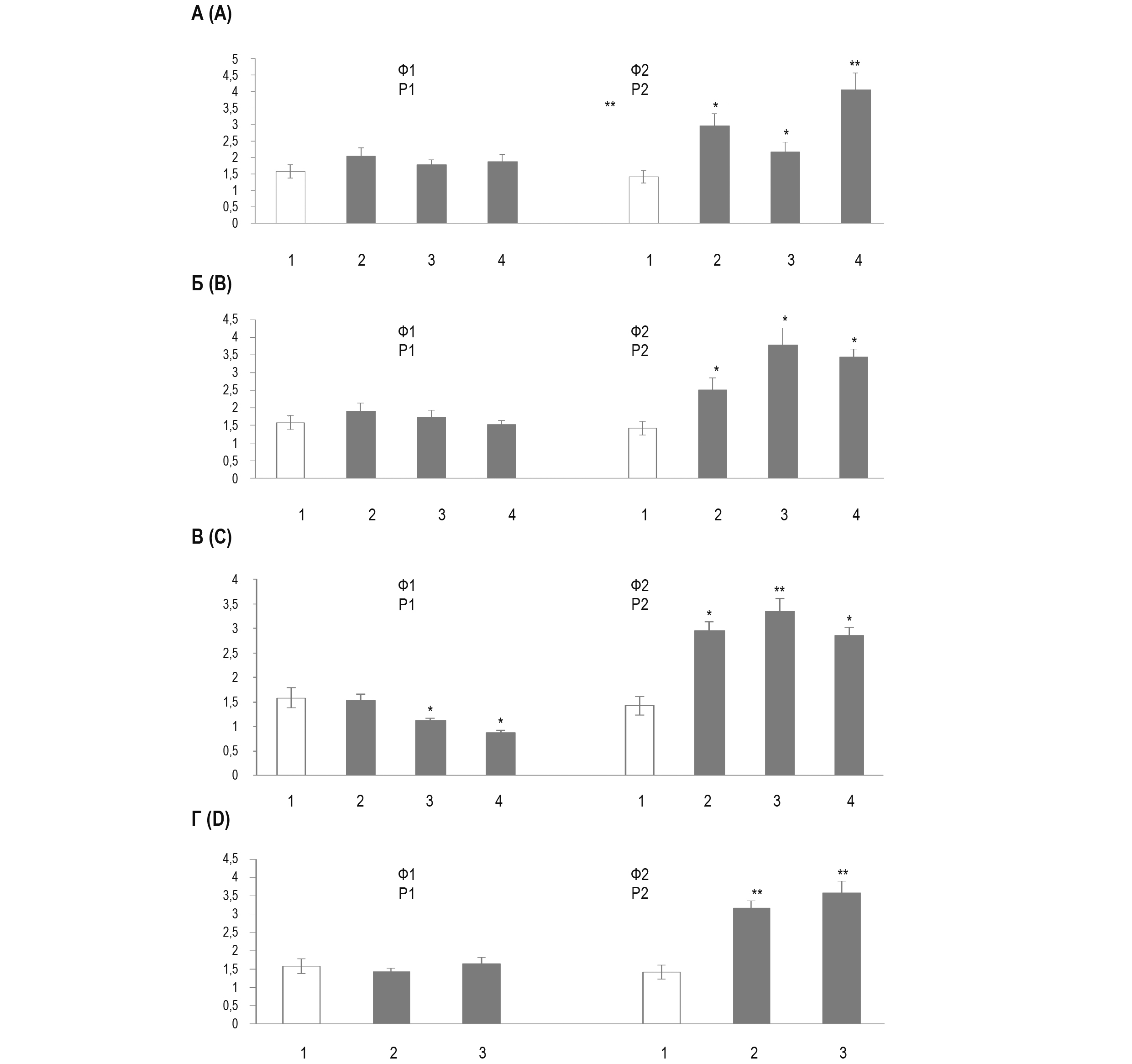
Как показано на рисунке 1, продукция НСТ была одинаковой в двух типах фагоцитов при инкубации клеток только с ТsТYp (контроль). Добавление в инкубационную среду белка 39 (рис. 1А) не приводило к достоверным изменениям уровня НСТ в Ф1-фагоцитах ни при одной из исследованных концентраций. Но в Ф2-фагоцитах продукция НСТ возрастала по сравнению с контролем в прямой концентрационной зависимости. Белок 10 (рис. 1Б) также не вызывал достоверных изменений в продукции НСТ в Ф1-фагоцитах и стимулировал ее в Ф2-фагоцитах в прямой концентрационной зависимости.
Рисунок 1. Содержание НСТ в фагоцитах Ф1 и Ф2 при воздействии белков целомической жидкости и БСА в присутствии ТsТYp
Примечание. Время инкубации 24 ч. А – белок 39. Б – белок 10. В – пептид. Г – БСА. Концентрации белков (мкг/мл) для А: 1 – 0, 2 – 1,7, 3 – 8,3, 4 – 16,5; для Б: 1 – 0, 2 – 0,1, 3 – 0,2, 4 – 1,7; для В: 1 – 0, 2 – 2,0, 3 – 10,0, 4 – 20; для Г: 1 – 0, 2 – 0,1, 3 – 1,0. По оси ординат – содержание НСТ, мг/мг белка. Здесь и далее достоверность различий между опытом и контролем: * – p < 0,05, ** – p < 0,01.
Figure 1. NBT content in P1 and P2 phagocytes exposed to coelomic fluid proteins and BSA in the presence of TsTYp
Note. Incubation time 24 hours. A, protein 39. B, protein 10. C, peptide. D, BSA. Protein concentrations (μg/mL) for A: 1 – 0, 2 – 1.7, 3 – 8.3, 4 – 16.5; for B: 1 – 0, 2 – 0.1, 3 – 0.2, 4 – 1.7; for C: 1 – 0, 2 – 2.0, 3 – 10.0, 4 – 20; for D: 1 – 0, 2 – 0.1, 3 – 1.0. The y-axis is NBT content, mg/mg protein. Hereinafter, the significance of differences between the experiment and the control: *, p < 0.05; **, p < 0.01.
В отличие от белков, пептид подавлял продукцию НСТ в Ф1, а также повышал ее в Ф2-фагоцитах в прямой концентрационной зависимости (рис. 1В). БСА, как и белки целомической жидкости, не влиял на продукцию НСТ в Ф1-фагоцитах и повышал ее в Ф2-фагоцитах (рис. 1Г), но в исследованном диапазоне концентраций, близком к таковому для белка 10, концентрационная зависимость эффекта не отмечена. Концентрационно-зависимый эффект пептида позволяет предположить, что этот пептид играет роль в регуляции активности фагоцитов. Пептид не только стимулировал активность Ф2-фагоцитов, но и подавлял активность Ф1-фагоцитов, сдвигая соотношение активностей в пользу первых. Такой эффект сходен с наблюдаемым при поляризации макрофагов, со снижением количества клеток с М1-фенотипом и повышением такового с М2-фенотипом, наблюдаемым при заживлении ран [9].
При этом пептид значительно повышал жизнеспособность Ф1-фагоцитов по сравнению с действием ТsТYp (рис. 2А). В Ф2-фагоцитах также возрастала жизнеспособность в прямой концентрационной зависимости.
Рисунок 2. Жизнеспособность фагоцитов Ф1 и Ф2 при воздействии пептида целомической жидкости (А) или БСА (Б) при коинкубации с ТsТYp в течение 24 ч
Примечание. Концентрация (мкг/мл) для А: 1 – 0, 2 – 2,0, 3 – 10,0, 4 – 20; для Б: 1 – 0, 2 – 0,1, 3 – 1,0. По оси ординат – жизнеспособность клеток, %.
Figure 2. Viability of P1 and P2 phagocytes when exposed to coelomic fluid peptide (A) or BSA (B) when coincubated with TsTYp for 24 hours
Note. Concentration (μg/mL) for A: 1 – 0, 2 – 2.0, 3 – 10.0, 4 – 20; for B: 1 – 0, 2 – 0.1, 3 – 1.0. The y-axis is cell viability, %.
БСА, в отличие от пептида, не влиял на жизнеспособность фагоцитов (рис. 2Б), что также свидетельствует в пользу специфического действия пептида.
В то же время белки 39 и 10 оказывали сходное действие на оксидантную активность фагоцитов и не проявили значимых отличий от действия БСА. Таким образом, при воздействии in vitro они не оказывают специфическое действие. Можно предполагать, что если эти белки и играют роль в регуляции активности фагоцитов, то их действие опосредовано.
В серии экспериментов in vivo было исследовано влияние белка 10 на фагоциты раненых животных (рис. 3А). Белок 10 и БСА снижали оксидантную активность Ф1- и Ф2-фагоцитов по сравнению с таковой, наблюдаемой при ранении в отсутствие белков. Однако в близких концентрациях (1,1 и 1 мкг/г соответственно) белок 10 вызывал более выраженное подавление накопления НСТ в Ф1-фагоцитах и менее подавлял его в Ф2-фагоцитах по сравнению с БСА. Так, в Ф2-фагоцитах белок снижал уровень НСТ по сравнению с одним ранением почти на 50%, а БСА – на 90%. БСА способен связывать кислородные радикалы без взаимодействия с поверхностными рецепторами клеток [8] и, по-видимому, действие белка 10 и БСА осуществляется по разным механизмам.
Рисунок 3. Влияние белков на оксидантную активность фагоцитов Ф1 и Ф2 (А) и концентрацию целомоцитов (Б) голотурий через 24 ч после ранения
Примечание. Для А – белок 10 в концентрациях (мкг/г): 1 – 0, 2 – 0,1, 3 – 0,6, 4 – 1,1; БСА (мкг/г): 5-1,0. По оси ординат – содержание НСТ, мг/мг белка. Для Б: 1 – инъекция ФСБН, 2 – ранение, 3-5 – ранение + белок 39, 6-8 – ранение + белок 10. Концентрации белка 39 (мкг/г): 3 – 0,02, 4 – 0,11, 5-0,65. Концентрации белка 10 (мкг/г): 6 – 0,1, 7 – 0,6, 8 – 1,1. По оси ординат – концентрация целомоцитов, 106 клеток в 1 мл.
Figure 3. Effect of proteins on the oxidative activity of P1 and P2 phagocytes (A) and the concentration of coelomocytes (B) of sea cucumbers 24 h after wounding
Note. For A: protein 10 in concentrations (µg/g): 1 – 0, 2 – 0.1, 3 – 0.6, 4 – 1.1; BSA (µg/g): 5 – 1.0. The ordinate is the NBT content, mg/mg protein. For B: 1, PSBN injection; 2, wound; 3-5, wound+protein 39; 6-8, wound+protein 10. Protein 39 concentrations (µg/g): 3 – 0.02, 4 – 0.11, 5 – 0.65. Protein 10 concentrations (µg/g): 6 – 0.1, 7 – 0.6, 8 – 1.1. The ordinate is the concentration of coelomocytes, 106 cells per 1 mL.
Нами также была изучена возможность влияния белков 39 и 10 на концентрацию целомоцитов, до 50% которых составляют фагоциты [7], у раненых животных (рис. 3Б). Оба белка снижали концентрацию целомоцитов по сравнению с влиянием самого ранения, что свидетельствует о том, что они могут влиять на рекрутирование целомоцитов/фагоцитов к месту повреждения. Однако концентрационные зависимости белков были разные: белок 39 снижал концентрацию целомоцитов в прямой концентрационной зависимости, а белок 10 – в обратной. Это дает основание полагать, что действие белков было специфичным и может быть связано с их разной ролью в процессе заживления раны.
Заключение
В целом полученные результаты свидетельствуют о том, что изученные в настоящей работе белковые компоненты, полученные из целомической жидкости голотурий, которым было нанесено поверхностное повреждение тела, могут участвовать в регуляции активности фагоцитов при заживлении раны. Механизмы этого влияния нуждаются в дальнейших исследованиях, необходима и идентификация самих белков. Особого внимания заслуживает пептид с молекулярной массой 2,99, который способен оказывать непосредственное влияние на фагоциты, подавляя оксидантную активность Ф1-фагоцитов и вызывая активацию Ф2-фагоцитов. Последние по своим морфофункциональным свойствам аналогичны М2-макрофагам, играющим основную роль при восстановлении тканей. Полученные результаты могут быть использованы в дальнейшем для получения новых ранозаживляющих прпаратов из голотурий.
About the authors
L. S. Dolmatova
V. Ilyichev Pacific Oceanological Institute
Author for correspondence.
Email: dolmatova@poi.dvo.ru
PhD (Biology), Leading Research Associate
Russian Federation, VladivostokE. P. Karaulova
Pacific Branch of Russian Federal Research Institute of Fisheries and Oceanography
Email: dolmatova@poi.dvo.ru
PhD (Engineering), Leading Research Associate
Russian Federation, VladivostokReferences
- Ермолаев В.А., Никулина Е.Н. Динамика белковых фракций крови при заживлении гнойных ран // Вестник Ульяновской государственной сельскохозяйственной академии, 2010. T. 2, № 12. С. 40-43. [Ermolaev V.A., Nikulina E.N. Dynamics of protein fractions of blood during the healing of purulent wounds. Vestnik Ulyanovskoy gosudarstvennoy selskokhozyaystvennoy akademii = Bulletin of the Ulyanovsk State Agricultural Academy, 2010, Vol. 2, no. 12, pp. 40-43. (In Russ.)]
- Мельников В.П. Тест восстановления нитросинего тетразолия мононуклеарными фагоцитами // Лабораторное дело, 1991. № 8. С. 51-53. [Melnikov V.P. Test for the reduction of nitroblue tetrazolium by mononuclear phagocytes. Laboratornoe delo = Laboratory Diagnostic, 1991, no. 8, pp. 51-53. (In Russ.)]
- Chia Fu-Sh., Xing J. Echinoderm coelomocytes. Zoological Studies, 1996, Vol. 35, no. 4, pp. 231-254.
- Dolmatov I.Y. Variability of regeneration mechanisms in echinoderms. Rus. J. Mar. Biol., 2020, Vol. 46, no. 6, pp. 391-404.
- Dolmatova L.S., Smolina T.P. Morphofunctional features of two types of phagocytes in the holothurian Еupentacta fraudatrix (Djakonov et Baranova, 1958). J. Evol. Biochem. Physiol., 2022, Vol. 58, no. 4, pp. 955-970.
- Dolmatova L.S., Ulanova O.A., Timchenko N.F. Yersinia pseudotuberculosis thermostable toxin dysregulates the functional activity of two types of phagocytes in the holothurian Eupentacta fraudatrix. Biol. Bull. Russ. Acad. Sci., 2019, Vol. 46, pp. 117-127.
- Eliseikina M.G., Magarlamov T.Yu. Coelomocyte morphology in the holothurians Apostichopus japonicus (Aspidochirota: Stichopodidae) and Cucumaria japonica (Dendrochirota: Cucumariidae). Rus. J. Mar. Biol., 2002, Vol. 28, no. 3, pp. 197-202.
- Iglesias J., Abernethy V.E., Wang Z., Lieberthal W., Koh J.S., Levine J.S. Albumin is a major serum survival factor for renal tubular cells and macrophages through scavenging of ROS. Am. J. Physiol., 1999, Vol. 277, pp. F711-F722.
- Raziyeva K., Kim Y., Zharkinbekov Z., Kassymbek K., Jimi S., Saparov A. Immunology of acute and chronic wound healing. Biomolecules, 2021, Vol. 11, 700.
Supplementary files






