Primary screening of chemically modified immunosuppressive oligonucleotides using in vitro model with spleen lymphocytes
- Authors: Gavrilova E.D.1,2, Goiman E.V.1,2, Derzalova A.S.1, Stetsenko D.A.1,3, Burakova E.A.1,3
-
Affiliations:
- Institute of Cytology and Genetics, Siberian Branch, Russian Academy of Sciences
- Research Institute of Fundamental and Clinical Immunology
- Novosibirsk State University
- Issue: Vol 28, No 1 (2025)
- Pages: 25-32
- Section: SHORT COMMUNICATIONS
- Submitted: 16.05.2024
- Accepted: 31.07.2024
- Published: 23.12.2024
- URL: https://rusimmun.ru/jour/article/view/16962
- DOI: https://doi.org/10.46235/1028-7221-16962-PSO
- ID: 16962
Cite item
Full Text
Abstract
Control of immune response following transplantation of cells, tissues, or organs includes reduction negative effects caused by acute graft-versus-host disease (GVHD) developing during bone marrow transplantation, thus being an urgent task of modern clinical practice. In this view, the management of immunological tolerance is a promising approach, in particular, the ability of immune cells (especially, dendritic cells) to induce this response using experimental models of allogeneic transplant rejection, GVHD and autoimmune disorders. Therefore, the search for compounds that can effectively activate or suppress immune cells and regulate immunological tolerance is of importance. The purpose of this work was to study the effects of synthetic immunosuppressive oligodeoxynucleotides (INH-ODN) on in vitro splenocyte proliferation and IL-12 production, in order to select the most promising compounds for subsequent in vivo experiments. We have tested several immunosuppressive agents: thiophosphate oligodeoxynucleotides (A151, ODN2088 and ODN4084-F), which include G-rich regions, as well as their analogues, i.e., thiophosphate oligodeoxynucleotides with mesylphosphoramide (ì) modifications at GpG bonds (ì-A151, ì-ODN2088 and ì-ODN4084-F). The effects of chemically modified oligonucleotides were assessed in the in vitro model of CpG-stimulated splenocytes, using CpG-ODN SD-101 in its complete thiophosphate (PS) version. Primary in vitro screening of immunosuppressive oligonucleotides by their effect on splenocyte proliferation and IL-12 production enabled us to identify the most active compounds and determine the features of sequences with the most pronounced immunosuppressive properties, as well as establish optimal concentrations of the studied oligodeoxynucleotides selected for subsequent in vivo studies.
Full Text
Введение
Управление иммунологической толерантностью является актуальной задачей для решения проблем, связанных с контролем иммунных реакций при трансплантации клеток, тканей или органов, в том числе для контроля острой формы реакции «трансплантат против хозяина» (РТПХ), являющейся главной причиной смертности при пересадке костного мозга [6]. Так, широкое использование аллогенной трансплантации гемопоэтических стволовых кроветворных клеток ограничено в связи с развитием у 40-60% реципиентов осложнения в виде острой или хронической РТПХ, несмотря на улучшение режимов трансплантации и профилактику осложнений [14]. Современные подходы к профилактике РТПХ основаны на истощении донорских лимфоцитов/Т-клеток или общей иммуносупрессии, что неэффективно для предотвращения РТПХ. Ключевую роль в патофизиологии РТПХ играют дендритные клетки (ДК). В качестве мощных антиген-презентирующих клеток ДК составляют наиболее гетерогенную клеточную популяцию со значительной клеточной фенотипической и функциональной пластичностью, способностью инициировать развитие как иммунитета, так и толерантности, что позволяет рассматривать их в качестве подходящего объекта для иммунотерапевтического воздействия [4, 7, 8, 9, 12, 13]. Способность ДК индуцировать толерантность привела к терапевтическим исследованиям с использованием этих клеток с целью контроля иммунных реакций на моделях отторжения аллотрансплантата, РТПХ и аутоиммунных расстройств [4].
В последние годы накопилось достаточно разнообразных данных, которые позволяют прогнозировать положительный эффект от использования иммуносупрессорных олигонуклеотидов – антагонистов TLR9 при острой РТПХ. Хотя активные последовательности INH-ODN известны из литературы [5], ключ к возможному клиническому применению данных олигонуклеотидов лежит в их химической модификации с целью обеспечить продолжительный биологический эффект in vivo. Впервые полученные нами олигонуклеотиды с мезилфосфорамидными группами (μ-ODN), успешно проявившие себя в роли антисмысловых регуляторов экспрессии генов [10, 11], а также показавшие высокую иммуностимуляторную активность in vitro [2], в зависимости от нуклеотидного контекста могут также проявлять иммуносупрессорную активность. Однако выбор только одной из доступных групп – тиофосфатной (PS) или мезилфосфорамидной (ì), как представляется, не в полной мере отвечает задаче создания реально действующего лекарственного препарата. Широко известна токсичность PS-олигонуклеотидов. В то же время μ-ODN для наиболее полного проявления своих преимуществ нуждаются в средствах доставки, таких как катионные липосомы [11]. Выходом из такой ситуации представляется сочетание в одном олигонуклеотиде и тиофосфатных, и мезилфосфорамидных групп. Эта идея недавно нашла свое подтверждение, когда олигонуклеотиды со смешанным набором фосфатных модификаций оказались наиболее активными [3].
Таким образом, представляется обоснованным выбор олигонуклеотидов со смешанным набором фосфатных модификаций (тиофосфатных и мезилфосфорамидных групп) как перспективного объекта исследования в области создания иммуносупрессорных олигонуклеотидов. В данном исследовании ODN с µ-модификациями изучались как потенциальные иммуносупрессоры in vitro для применения при РТПХ в дальнейшем. Одним из наиболее значимых результатов может стать создание иммуносупрессорных олигонуклеотидов нового типа с более выраженным и пролонгированным эффектом и меньшей токсичностью, чем у традиционных тиофосфатных производных, для использования при развитии острой РТПХ после пересадки костного мозга.
Материалы и методы
Олигонуклеотиды были синтезированы на автоматическом синтезаторе ДНК ASM-800Е (ООО «Биоссет», г. Новосибирск, Россия) с использованием стандартных â-цианэтильных амидофосфитов дезоксинуклеозидов и соответствующих полимерных носителей с привитыми 3›-нуклеозидами на основе пористого стекла (CPG). Синтез олигонуклеотидов с модифицированными фосфатными группами проводили с изменением в протоколе амидофосфитного синтеза, включающего замену окисления иодом. Тиофосфаты (PS-ODN) получали реакцией тионирования с использованием Sulfurizing Reagent II (3-((диметиламинометилиден)амино)-3H-1,2,4-дитиазол-3-тион) (Glen Research, США). Олигодезоксинуклеотиды с мезилфосфорамидными модификациями (ì-ODN) получали реакцией Штаудингера с метансульфонилазидом (мезилазидом) в течение 30 мин, как описано в работе [10].
Очищенные олигонуклеотиды растворяли в 50%-ном ацетонитриле и определяли концентрацию по оптической плотности раствора с помощью УФ-спектрофотометра Implen NanoPhotometer N80 (Implen, Германия). Электрофорез для определения чистоты олигонуклеотидов проводили в 20% ПААГ толщиной 0,4 мм. Визуализация полос проводилась окрашиванием геля красителем Stains-All.
Работа in vitro проведена на лимфоцитах селезенки (спленоцитах) мышей линии C57Bl6, самки. Пролиферативную активность лимфоцитов селезенки оценивали с помощью WST-1 cell proliferation assay Kit (Takara Bio USA, США).
Оценка секреции IL-12p70 лимфоцитами селезенки на фоне добавления INH-ODN была проведена иммуноферментным методом (Mouse IL-12р70 ELISA kit, ABclonal, Китай). После совместного культивирования клеток в 96-луночный круглодонном планшете (0,7 × 106 клеток в лунке) с СpG-ODN в концентрации 2,5 мкг/ мл в стандартных условиях (Т = 37 °C, 5% CO2), через 2 ч добавляли INH-ODN в концентрациях 2,5 мкг/ мл и 5 мкг/мл. Через 24 ч отбирали супернатанты и измеряли уровень цитокинов на мультимодальном планшетном ридере LB 941 TriStar (Berthold Technologies, Германия), при длинах волн 450 нм и 620 нм согласно рекомендациям производителя.
Модель СpG-стимулированной пролиферации спленоцитов in vitro проводили следующим способом: вносили клетки селезенки в 96-луночный плоскодонный планшет (0,1 × 106 клеток в лунке) одновременно с СpG-ODN в концентрации 2,5 мкг/мл, через 2 ч добавляли INH-ODN в концентрации от 2,5 мкг/мл до 20 мкг/мл в триплексах. Через 72 ч в каждую лунку культурального планшета вносили 10 мкл WST-1, тщательно перемешивали, инкубировали в CO2-инкубаторе в течение 4 ч в стандартных условиях (Т = 37 °C, 5% CO2, увлажненная атмосфера). После этого производилась детекция показателей оптического поглощения на мультимодальном планшетном ридере LB 941 TriStar (Berthold Technologies, Германия), при длинах волн 450 нм и 620 нм согласно рекомендациям производителя.
Полученные данные использовали для вычисления процента ингибиции:
Aотн = (1-(Aоо/Aок)) × 100%,
где Aоо – значение оптического поглощения для образца INH-ODN, Aок – значение оптического поглощения СpG-ODN.
Исследования повторяли в трех независимых экспериментах на спленоцитах мышей линии C57Bl6. Статистическую обработку проводили в пакете прикладных программ Statistica 6.0 для Windows. Данные представлены в виде средних значений. Для выявления значимых значений сравниваемых показателей использовали непараметрические критерии Манна–Уитни. Выявленные различий считались статистически значимыми при р < 0,05.
Результаты и обсуждение
В качестве иммуносупрессорных олигодезоксинуклеотидов (INH-ODNs) были выбраны известные из литературы тиофосфатные олигодезоксинуклеотиды А151 (2), ODN 2088 (5) и ODN4084-F (8). Кроме того, были синтезированы их контроли, описанные в литературе, С151 (3), ODN2088С (7), также содержащие тиофосфатные (PS) межнуклеотидные группы. Иммуносупрессорные ODN выбранные в данной работе (2, 5 и 8) содержат G-богатые участки, и механизм их действия может включать образование G-квадруплекса [5], а как ранее нами показано, G-богатые ì-ODN способны образовывать G-квадруплексы, слабо отличающиеся по устойчивости от нативных [15]. На основе ингибиторных последовательностей А151, ODN2088, ODN4084-F были синтезированы аналоги – тиофосфатные олигодезоксинуклеотиды с мезилфосфорамидными (ì) модификациями по GpG-связям, а именно: олигодезоксинуклеотиды ì-А151 (4), ì-ODN2088 (6) и ì-ODN4084-F (9). Для активации дендритных клеток был cинтезирован контрольный иммуностимулирующий CpG-олигодезоксинуклеотид (CpG-ODN) SD-101 (1) в полностью тиофосфатном (PS) варианте.
Таким образом, в исследовании всего были синтезированы и использованы девять олигодезоксинуклеотидов, в том числе восемь из них – иммуносупрессорных: SD-101 PS (1) – 5′tscsgs asascs gststs csgsas ascsgs tstscs gsasas csgsts tscsgs asast3′; A-151(2) – 5′tstsas gsgsgs tstsas gsgsgs tstsas gsgsgs tstsas gsgsg3′; C-151(3) – 5′tstscs asasas tstscs asasas tstscs asasas tstscs asasa3′; ì-А151(4) – 5′tstsas gìgìgs tstsas gìgìgs tstsas gìgìgs tstsas gìgìg3′; ODN2088 (5) – 5′tscscs tsgsgs csgsgs gsgsas asgst3′; ì-ODN2088 (6) – 5′tscscs tsgìgs csgìgì gìgsas asgst 3′; ODN2088С(7) – 5′tscscs tsgsas gscsts tsgsas asgst3′; ODN4084-F (8) – 5′cscsts gsgsas tsgsgs gsasa 3′; ì-ODN4084-F (9) – 5′cscsts gìgsas tsgìgì gsasa3′.
Скрининг иммуносупрессорных свойств ингибиторных олигонуклеотидов INH-ODNs на СpG-стимулированную пролиферацию спленоцитов in vitro был проведен при добавлении INH-ODNs в дозах от 2,5 до 20 мкг/мл, чтобы варианты соотношений СpG-ODN: INH-ODN составляли 1:1, 1:2, 1:4, 1:8.
Для оценки пролиферативной активности спленоцитов мы выбрали метод с использованием соли тетразолия (WST-1). В отличие от метода с использованием радиактивной метки (Н3-тимидин) этот способ оценки является абсолютно безопасным, а в сравнении с другими красителями WST используется без дополнительных стадий при добавлении в культуру клеток и показываeт лучшую воспроизводимость и более высокую чувствительность [1]. Данные по сумме трех независимых экспериментов представлены в таблице 1. По измеренной оптической плотности подсчитан уровень ингибиции для каждого из ODNs по формуле, приведенной в материалах и методах, и представлен в процентах.
Как видно из таблицы 1, из всех исследуемых ODN олигонуклеотиды A151 (2) и ODN4084 (8), описанные в литературе, проявляют наиболее сильную ингибицию в интервале от 59% до 66,4%. Во всех дозах подавление достоверное (р = 0,009, р = 0,009, р = 0,009, р = 0,014), в случае ODN2 и (р = 0,009, р = 0,047, р = 0,009, р = 0,014) в случае ODN8. Мы не наблюдали выраженной зависимости ингибиции от дозы, что видно из того, что дозы в 4 и 8 раз выше дозы для CpG-стимуляции не дают должного эффекта. Таким образом, для дальнейших исследований можно брать дозы INH-ODN в равной концентрации c CpG-ODN (2,5 мкг/мл), или в концентрации, не превышающей двукратное увеличение, т. е. 5 мкг/мл. В случае модифицированного аналога ì-ODN4084-F (9) уровень ингибиции для него сопоставим с уровнем оригинального ODN4084-F (8) и составляет от 58,5% до 64,3%. (табл. 1). Для ì-А151 (4) ингибиция почти в два раза ниже, чем у оригинального A151 (2) (рис. 1). Результаты исследования влияния ODN2088 (5) в сравнении с его контролем ODN2088С (7) и модифицированным аналогом ì-ODN2088 (6) на пролиферативную активность CpG-стимулированных спленоцитов представлены в таблице 1. Индекс ингибиции оригинального ODN2088 (5) варьировал от 54,2% до 57,7%, что несколько ниже, чем ингибиция описанных выше ODN. При этом его модифицированный аналог ì-ODN2088 (6) не показывает такой значимой ингибиции (практически в два раза снижена до 31% в случае соотношения 1:1, 1:4, при двукратной дозе ODN – ингибиция пролифератиной активности составила 42%, достигает 55,4% только для максимальной восьмикратной дозы (табл. 1). Возможно, эту модификацию целесообразнее использовать в более высоких дозах, чем оригинальный ODN, что требует дополнительных исследований. Оценка пролиферативной активности при совместном культивировании с ODN2088С (7) не дает достоверной ингибиции ни в одной из дозировок. ODN7 во всех экспериментах ингибирует только до 20-30%.
Таблица 1. Уровень ингибирования пролиферативной активности в модели CpG-cтимулированных спленоцитов при добавлении INH-ODN (%)
Table 1. Level inhibition of proliferative activity in the model of CpG-stimulated splenocytes with the addition of INH-ODN (%)
Олигонуклеотиды Oligonucleotide | Соотношение дозы CpG к INH-ODN Dose ratio of CpG to INH-ODN | |||
1:1 | 1:2 | 1:4 | 1:8 | |
A 151 | 64 | 65 | 59 | 66,4 |
C 151 | 40,8 | 36,5 | 42,7 | 58,5 |
ì-А151 | 39,2 | 34,6 | 47 | 48,1 |
ODN 2088 | 54,2 | 55,8 | 55,8 | 57,7 |
ì-ODN 2088 | 31 | 42 | 31,2 | 55,4 |
ODN 2088 С | 22 | 25 | 4,2 | 30,4 |
ODN 4084 | 65,8 | 60 | 62,4 | 64,3 |
ì-ODN 4084-F | 58,5 | 62,3 | 66,2 | 64,3 |
Примечание. INH-ODN в дозах 2,5 мкг/мл (1:1), 5 мкг/мл (1:2), 10 мкг/мл (1:4) и 20 мкг/мл (1:8). Полужирным шрифтом выделены ODN c наиболее высоким процентом ингибирования, курсивом – с наиболее низким.
Note. INH-ODN at doses of 2,5 ìg/mL (1:1), 5 ìg/mL (1:2), 10 ìg/mL (1:4) and 20 ìg/mL (1:8). ODNs with the highest percentage of inhibition are in bold, and the lowest in italics.
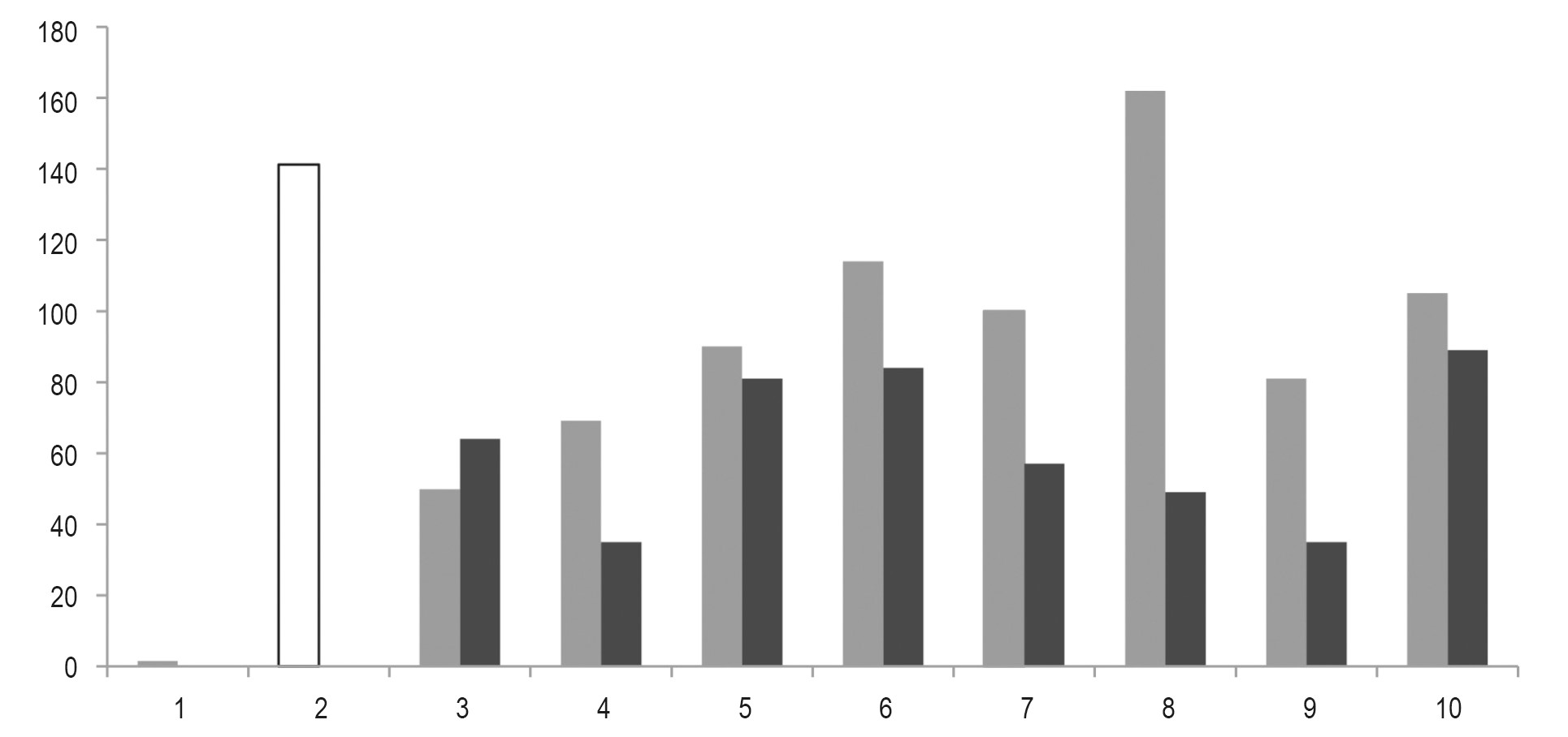
В отдельной серии экспериментов был осуществлен скрининг иммуносупрессорных ингибиторных олигонуклеотидов (INH-ODNs) и контролей на секрецию IL-12 СpG-стимулированными спленоцитов in vitro. Для оценки секреции IL-12 решено было взять только две дозы ODN 2,5 мкг/ мл и 5 мкг/мл (в соотношении 1:1 и 1:2 к CpG-ODN, соответственно), учитывая описанные выше результаты скрининга ODN. Данные измерений (в пкг/ мл) представлены на рисунке 1.
Рисунок 1. Продукция цитокина IL-12p70 СpG-стимулированными лимфоцитами селезенки
Примечание. По оси ординат – концентрация (пкг/мл), по оси абсцисс – группы ODN и cоотношение доз CpG: INH-ODN. Светлый столбик – СpG-стимулированные спленоциты без INH-ODN; серый столбик – доза 1:1 (2,5 мкг/мл); черный столбик – доза 1:2 (5 мкг/мл). 1 – необработанный контроль; 2 – СpG; 3 – ODN2; 4 – ODN3; 5 – ODN4; 6 – ODN5; 7 – ODN6; 8 – ODN7; 9 – ODN8; 10 – ODN9.
Figure 1. Production of IL-12p70 cytokine by CpG-stimulated splenic lymphocytes
Note. Y-axis concentration (pg/mL). The abscissa shows ODN groups and the CpG doses ratio: IND-ODN. Light column, CpG-stimulated splenocytes without ODN; gray column, dose 1: 1 (2,5 ìg/mL); black column, dose 1: 2 (5 ìg/mL). 1, NTC; 2, CpG; 3, ODN2; 4, ODN3; 5, ODN4; 6, ODN5; 7, ODN6; 8, ODN7; 9, ODN8; 10, ODN9.
Относительно CpG-стимулированных спленоцитов, при пролиферации которых секреция IL-12 достигает 141 пкг/мл, добавление любых (INH-ODN) снижает секрецию IL-12 в той или иной степени. ODNА151 (2) снижает наиболее активно – синтез данного цитокина в этом случае опускается до 50 пкг/мл и 64 пкг/мл при дозах ODN 2,5 мкг/мл и 5 мкг/мл соответственно. При этом нужно отметить, что A-151 (2) дает прирост секреции цитокина на 28% в большей, двойной дозе. В противоположность двойная доза ODN4084-F (8) существенно снижает синтез IL- 12 относительно уровня цитокина, синтезируемого при более низких дозах соответствующего ODN, а именно до 35 пкг/мл в дозе 5 мкг/ мл и только до 81 пкг/мл в дозе 2,5 мкг/мл. Для его аналога ì-ODN4084-F (9) тенденция к снижению наблюдается незначительная, с 105 пкг/ мл до 89 пкг/мл (в дозе 2,5 и 5 мкг/мл соответственно). Модифицированный аналог ì-А151 (4) снижает секрецию IL-12 до 90 пкг/мл и 81 пкг/мл в дозе 2,5 и 5 мкг/мл внесения в культуру соответственно). Таким образом, мезильные аналоги ì-А151 (4) и ì-ODN4084-F (9) в данном эксперименте проявляют несколько более высокую способность к стимуляции синтеза IL-12 по сравнению с исходным соответствующим ODN. В случае ODN2088 (5), его модифицированное производное ì-ODN2088 (6) немного активнее снижает синтез IL-12. Для ì-ODN2088 (6) синтез цитокина опускается до 100 пкг/мл и 57 пкг/мл – при дозах ODN 2,5 мкг/мл и 5 мкг/мл, соответственно, против 114 пкг/мл и 84 пкг/мл при добавлении ODN2088 (5).
Наше исследование направлено на разработку новой стратегии индукции иммунологической толерантности путем воздействия на сигнальные пути дендритных клеток с помощью иммуносупрессорных олигонуклеотидов, выступающих как антагонисты TLR9 и обеспечивающих снижение уровня экспрессии ко-стимуляторных молекул CD40, CD80 и CD86, молекул MHC класса II, а также снижение секреции провоспалительных цитокинов IL-1, IL-6 IL-12 и TNFá. В данном исследовании из синтезированных восьми ODN нам необходимо было определить наиболее перспективные in vitro для использования их на модели in vivo в дальнейшем.
Заключение
В данной работе нами изучены 8 химически модифицированных ингибиторных олигонуклеотидов. Наибольшей супрессорной активностью in vitro во всех исследуемых дозах обладают описанные в литературе олигонуклеотиды с PS-межнуклеотидными группами A151 (2), ODN4084-F (8), а также модифицированный мезильной группой олигонуклеотид ì-ODN4084-F (9). Были выбраны оптимальные концентрация INH-ODN 2,5 или 5 мкг/мл в зависимости от последовательности олигодезоксинуклеотида. Была отработана схема оптимального соотношения иммуностимуляторных CpG-ODN и иммуносупрессорных INH-ODN (1:1, 1:2) при внесении в культуру спленоцитов. Первичный скрининг иммуносупрессорных олигонуклеотидов в культуре in vitro по их влиянию на пролиферацию спленоцитов и продукцию IL-12 позволил выделить несколько наиболее активных соединений и определить характер последовательности с наиболее выраженными иммунодепрессивными свойствами, а также установить оптимальные концентрации изучаемых олигодезоксинуклеотидов для дальнейших исследований in vitro.
Необходимы дальнейшие исследования в мышиных экспериментальных моделях, в частности на модели острой РТПХ, чтобы проанализировать эффективность ì-модифицированных тиофосфатных иммуносупресорных ODN на изменения баланса Th1/Th2, что позволит снизить негативные последствия трансплантации и увеличить продолжительность жизни животных.
About the authors
E. D. Gavrilova
Institute of Cytology and Genetics, Siberian Branch, Russian Academy of Sciences; Research Institute of Fundamental and Clinical Immunology
Author for correspondence.
Email: edav.gavr@mail.ru
PhD (Biology), Head оf Laboratory of Experimental Immunotherapy; Senior Researcher of the Laboratory of Immunology of nucleic acids.
Russian Federation, Novosibirsk; NovosibirskE. V. Goiman
Institute of Cytology and Genetics, Siberian Branch, Russian Academy of Sciences; Research Institute of Fundamental and Clinical Immunology
Email: edav.gavr@mail.ru
PhD (Medicine), Research Associate, Laboratory of Experimental Immunotherapy, Engineer, Laboratory of Immunology of Nucleic Acids
Russian Federation, Novosibirsk; NovosibirskA. S. Derzalova
Institute of Cytology and Genetics, Siberian Branch, Russian Academy of Sciences
Email: edav.gavr@mail.ru
Junior Research Associate, Laboratory of Immunology of Nucleic Acids
Russian Federation, NovosibirskD. A. Stetsenko
Institute of Cytology and Genetics, Siberian Branch, Russian Academy of Sciences; Novosibirsk State University
Email: edav.gavr@mail.ru
PhD (Chemistry), Head, Laboratory of Chemistry of Nucleic Acids, Head, Russo-Franco-Japanese Laboratory of Bionanotechnology, Faculty of Physics
Russian Federation, Novosibirsk; NovosibirskE. A. Burakova
Institute of Cytology and Genetics, Siberian Branch, Russian Academy of Sciences; Novosibirsk State University
Email: edav.gavr@mail.ru
PhD (Chemistry), Head, Laboratory of Immunology of Nucleic Acids, Research Associate, Russo-Franco-Japanese Laboratory of Bionanotechnology, Faculty of Physics
Russian Federation, Novosibirsk; NovosibirskReferences
- Головинская О.В., Байкова М.Л., Алпатова Н.А., Зубков Д.А., Фоменко В.В., Гайдерова Л.А. Сравнительный анализ красителей, используемых при оценке специфической активности лекарственных средств на основе филграстима биологическим методом in vitro // БИОпрепараты. Профилактика, диагностика, лечение, 2020. Т. 20, № 3. С. 193-201. [Golovinskaya O.V., Baykova M.L., Alpatova N.A., Zubkov D.A., Fomenko V.V., Gaiderova L.A. Comparative analysis of dyes used in assessing the specific activity of filgrastim-based drugs using a biological method in vitro. BIOpreparaty. Profilaktika, diagnostika, lechenie = Biopreparations. Prevention, Diagnosis, Treatment, 2020, Vol. 20, no. 3, pp. 193-201. (In Russ.)]
- Останин А.А., Леплина О.Ю., Буракова Е.А., Тыринова Т.В., Фокина А.А., Проскурина А.С., Богачев С.С., Стеценко Д.А., Черных Е.Р. CpG олигонуклеотиды с модифицированными фосфатными группами индуцируют созревание миелоидных дендритных клеток человека in vitro // Вавиловский журнал генетики и селекции, 2020. Т.24, № 6. С. 653-660. [Ostanin A.A., Leplina O.Y., Burakova E.A., Tyrinova T.V., Fokina A.A., Proskurina A.S., Bogachev S.S., Stetsenko D.A., Chernykh E.R. Phosphate-modified CpG oligonucleotides induce in vitro maturation of human myeloid dendritic cells. Vavilovskiy zhurnal genetiki i selektsii = Vavilov Journal of Genetics and Breeding. 2020, Vol. 24, no 6, pp. 653-660. (In Russ.)]
- Anderson B.A., Freestone G.C., Low A., De-Hoyos C.L., III W.J.D., Østergaard M.E., Migawa M.T., Fazio, M., Wan, W.B., Berdeja, A., Scandalis E., Burel S.A., Vickers T.A., Crooke S.T., Swayze E.E., Liang X., Seth P.P. Towards next generation antisense oligonucleotides: mesylphosphoramidate modification improves therapeutic index and duration of effect of gapmer antisense oligonucleotides. Nucleic Acids Res., 2021, Vol. 49, no. 16, pp. 9026–9041.
- Audiger C., Rahman M.J., Yun T.J., Tarbell K.V., Lesage S. The importance of dendritic cells in maintaining immune tolerance. J. Immunol., 2017, Vol. 198, pp. 2223-2231.
- Bayik D., Gursel I., Klinman D.M. Structure, mechanism and therapeutic utility of immunosuppressive oligonucleotides. Pharmacol. Res., 2016, Vol. 105, pp. 216-225.
- Gratwohl A., Baldomero H. Trends of hematopoietic stem cell transplantation in the third millennium. Curr. Opin. Hematol., 2009, Vol. 16, no. 6, pp. 420-426.
- Haniffa M., Collin M., Ginhoux F. Ontogeny and functional specialization of dendritic cells in human and mouse. Adv. Immunol., 2013, Vol. 120, pp. 1-49.
- Lutz M.B. Induction of CD4(+) regulatory and polarized effector/helper T cells by dendritic cells. Immune Netw., 2016, no. 16, pp. 13-25.
- Maldonado R.A., von Andrian U.H. How tolerogenic dendritic cells induce regulatory T cells. Adv. Immunol., 2010, Vol. 108, pp. 111-165.
- Miroshnichenko S.K., Patutina O.A., Burakova E.A., Chelobanov B.P., Fokina A.A., Vlassov V.V., Altman S., Zenkova M.A., Stetsenko D.A. Mesyl phosphoramidate antisense oligonucleotides as an alternative to phosphorothioates with improved biochemical and biological properties. Proc. Natl. Acad. Sci. USA, 2019, Vol. 116, no. 4, рр. 1229-1234.
- Patutina O.A., Gaponova (Miroshnichenko) S.K., Senkova A.V., Savin I.A., Gladkikh D.V., Burakova E.A., Fokina A.A., Maslov M.A., Shmendel E.V., Wood M.J.A., Vlassov V.V., Altman S., Stetsenko D.A., Zenkova M.A. Mesyl phosphoramidate backbone modified antisense oligonucleotides targeting miR-21 with enhanced in vivo therapeutic potency. Proc. Natl. Acad. Sci. USA. 2020, Vol. 117, no. 51, рр. 32370-32379.
- Qian C., Cao X. Dendritic cells in the regulation of immunity and inflammation. Semin. Immunol., 2018, Vol. 35, no. 2, pp. 3-11.
- Raker V.K., Domogalla M.P., Steinbrink K. Tolerogenic dendritic cells for regulatory T cell induction in man. Front. Immunol., 2015, Vol. 6, 569. doi: 10.3389/fimmu.2015.00569.
- Socié G., Blazar B.R. Acute graft-versus-host disease: from the bench to the bedside. Blood, 2009, Vol. 114, no. 20, pp. 4327-4336.
- Su Y., Fujii H., Burakova E.A., Chelobanov B.P., Fujii M., Stetsenko D.A., Filichev V.V. Neutral and negatively charged phosphate modifications altering thermal stability, kinetics of formation and monovalent ion dependence of DNA G-Quadruplexes. Chem. Asian J., 2019, Vol. 14, no. 8, pp. 1212-1220.
Supplementary files




