Proinflammatory cytokines, chemokine CXCL17 and heat shock proteins in osteoarthritis of the knee joint
- Authors: Plekhova N.G.1, Kabalyk M.A.1, Prosekova E.V.1, Shumatov V.B.1
-
Affiliations:
- Pacific State Medical University
- Issue: Vol 28, No 1 (2025)
- Pages: 129-134
- Section: SHORT COMMUNICATIONS
- Submitted: 13.05.2024
- Accepted: 31.07.2024
- Published: 23.12.2024
- URL: https://rusimmun.ru/jour/article/view/16975
- DOI: https://doi.org/10.46235/1028-7221-16975-PCC
- ID: 16975
Cite item
Full Text
Abstract
Osteoarthritis (OA), a common multifactorial disease of musculoskeletal system, is one of the leading causes of disability in the population. One of the most important pathogenetic factors of OA is a shift of cytokine profile towards pro-inflammatory state. Their increased levels lead to dysfunction of cartilage tissue cells with its damage. Purpose of the present study was to evaluate diagnostic significance of the most important cytokine and chemokine levels involved in pathogenesis of OA.
The study involved 50 patients undergoing inpatient treatment at the “Hospital for War Veterans” (Vladivostok) with an established OA of the knee joints. The following mediators involved in the development of inflammation have been determined: interleukins IL-1â, IL-6, chemokine CXCL17, tumor necrosis factor TNFá and heat shock proteins HSP27, HSP70 in blood serum of patients being analyzed by ELISA test systems. It has been shown that the levels of interleukins IL-1â and IL-6, TNFá and CXCL17 in patients with OA exceeded those for healthy individuals. The levels of cytokines IL- 1â, IL-6, chemokine CXCL17 and TNFá in blood serum of OA patients were 7.4 (6.4-8.9), 33.7 (26.5-68.4); 33.8 (29.8- 61.0) and 6.5 (4.94-8.59) pg/ml, respectively, thus significantly exceeding the values for healthy person s (1.3 (1.2-1.4), 5.8 (4.2-6.3), 24.9 (19, 1-29.9) and 2.7 (2.1-3.1) pg/ml, p < 0.05). In OA patients, the concentration of TNFá had a direct relationship with the chemokine CXCL17 (r = 0.83, p < 0.05). The concentrations of heat shock proteins HSP27, HSP70 and their ratio were significantly lower in patients with OA compared to the control group (respectively: z = -3.06, p = 0.002; z = -4.41, p = 0.00001; z = -2.05, p = 0.04), thus allowing us to suggest the tolerance of chondrocytes to the influence of cytokines. At the same time, the concentration of HSP70 decreased as the disease progressed, while the level of HSP27 did not change significantly. Thus, determining the level of systemic intercellular mediators enables usage of these indexes as potential biochemical markers for predicting severity of the disease and assessing their fundamental role in pathogenesis of knee OA.
Full Text
Введение
Распространенное заболевание опорно-двигательного аппарата остеоартрит (ОА) относится к ведущей причине инвалидности населения. Это многофакторное заболевание со сложным патогенезом поражает преимущественно коленный сустав (около 16%), чаще женщин, и его распространенность связана с высокими показателями ожирения и средней продолжительности жизни [6]. Одним из наиболее важных факторов патогенеза ОА является нарушение баланса цитокинов в сторону провоспалительных, повышение уровня которых приводит к дисфункции клеток хрящевой ткани с ее повреждением, а также других внутрисуставных структур за счет активации катаболических ферментов (матриксные металлопротеиназы и дезинтегрин-подобная металлопротеиназа с тромбоспондиновым мотивом, ММП и ADAMTS) [8]. Показано, что наиболее важными медиаторами воспаления в патогенезе ОА являются интерлейкины IL-1β и IL-6, фактор некроза опухоли (TNFá) и хемокины. Последние индуцируют появление в синовиальной жидкости сустава иммунных клеток с преобладанием тканевых макрофагов синовиальной оболочки и субхондральной кости и T-лимфоцитов, что в дальнейшем способствует секреции воспалительных факторов и прогрессированию заболевания [10]. Так, хемокин CXCL17 индуцирует активность макрофагов и ферментов ММП при ингибирующем воздействии на синтез коллагена, что позволяет предположить его участие в иммунных механизмах остеоартрита и сосудистого ремоделирования [10].
Активация клеток при воздействии IL-1β опосредуется через специфический рецептор первого типа (IL-1RI), экспрессия которого повышается на хондроцитах и синовиальных фибробластах при ОА [1, 12]. TNFá связывается с двумя специфическими рецепторами на клеточной мембране TNFRI (или p55) и TNFRII (или p75) на этих клетках, и их экспрессия также повышается при ОА [2]. Указывается, что доминантным рецептором на клетках суставной ткани, ответственным за опосредованное действие цитокинов, является TNFRI, но и рецептор TNFRII также принимает участие в сигнальной трансдукции, что связано с различными внутриклеточными каскадами белков [8]. Природная толерантность хондроцитов к действию провоспалительных цитокинов опосредуется системой шаперонов (белки теплового шока, HSP). Так, низкомолекулярный шаперон с молекулярной массой 27 кДа (HSP27) действует как антиоксидант и играет роль в ингибировании апоптоза, тогда как высокомолекулярный HSP70 активируется под влиянием цитокинов и, напротив, запускает апоптоз клеток [7]. Несмотря на приведенные литературные данные, вопрос об участии межмолекулярных посредников в развертывании иммунного ответа при ОА остается открытым. Цель нашего исследования состояла в изучении диагностической значимости показателей содержания наиболее важных цитокинов и хемокинов, участвующих в патогенезе ОА.
Материалы и методы
Исследовали 50 пациентов, находящихся на стационарном лечении в КГБУЗ «Госпиталь для ветеранов войн» (г. Владивосток). Диагноз «ОА коленных суставов» устанавливали на основании классификационных критериев ACR (American College of Rheumatology) в соответствии с «Клиническими рекомендациями по диагностике и лечению остеоартрита» ассоциации ревматологов России Российского научного медицинского общества терапевтов. Группу сравнения составили лица без ОА, сопоставимые по полу и возрасту основной группы. Критерии включения в исследование: диагноз «ОА», соответствующий критериям ACR, мужчины и женщины в возрасте от 45 до 80 лет. Критерии исключения из исследования: отсутствие информированного согласия пациента, травмы суставов и/или длительная иммобилизация в период 24 месяца до включения в исследование, переломы мыщелков бедренных и проксимального отдела большеберцовых костей любой давности, системные заболевания соединительной ткани, сахарный диабет 1-го типа, микрокристаллические артропатии, онкологические заболевания, соматические заболевания в стадии декомпенсации, наличие противопоказаний к диагностическим процедурам, предусмотренным протоколом данного исследования. Все участники, включенные в исследование, проведенном в соответствии с этическими принципами Хельсинкской декларации и одобренном Междисциплинарным комитетом по этике ФГБОУ ВО ТГМУ Минздрава (протокол № 2 от 12.11.2023 г.), подписали форму информированного согласия. Рентгенологическую стадию оценивали согласно классификации Kellgren: у 14 (27,3%) больных была I, у 26 (51,5%) – II и у 10 (21,2%) – III стадия ОА.
Образцы крови (5 мл) собирали в контролируемых условиях (без голодания, с 8 до 9 утра), после центрифугирования (3000 × g об/мин, 10 мин) аликвоты сывороток удаляли и хранили при -20°C до начала анализа. Образцы сыворотки идентифицировались случайными числами, а демографические и клинические данные сопоставлялись с одним и тем же идентификационным номером. Перед анализом образцы сыворотки оттаивали при комнатной температуре и медленно перемешивали. Концентрацию IL-1β, IL-6, CXCL17 и TNFá в сыворотке измеряли с помощью сэндвич-ферментного иммуноферментного анализа (высокочувствительные наборы ELISA для определения IL-1β, IL-6, TNF, Chemokine (C-X-C Motif) Ligand 17 человека Cloud-Clone Corp., США) и белки теплового шока HSP27 и HSP70 (ELISA, SunLong Biotech Co., LTD, КНР). Анализы проводились согласно инструкциям производителя. В соответствии с этим стандартная кривая для каждого биомаркера была построена на основе средней абсорбции конкретных стандартных разведений, выполненных в двух экземплярах, и их соответствующих концентраций. Поглощение при длине волны 450 нм определяли с помощью микропланшетного ридера (анализатор iMark, Bio-Rad, США). Концентрации белков считывали по стандартным кривым, средние коэффициенты вариации внутри и между анализами составляли < 10% для всех биомаркеров.
Анализ данных проводили с использованием Statistica версии 14.0. (TIBCO Software Inc., США). Категориальные данные сравнивались с критерием ÷-квадрат Пирсона. Нормальность количественных данных проверялась с помощью теста Колмогорова–Смирнова, который показал, что распределение не было нормальным. Количественные данные представлены в виде медианы и диапазона. U-критерий Манна–Уитни и тесты ANOVA Краскела–Уоллиса использовались для проверки различий между количественными переменными. После ANOVA мы использовали апостериорный тест Шеффе. значения p ниже 0,05 считались статистически значимыми.
Результаты и обсуждение
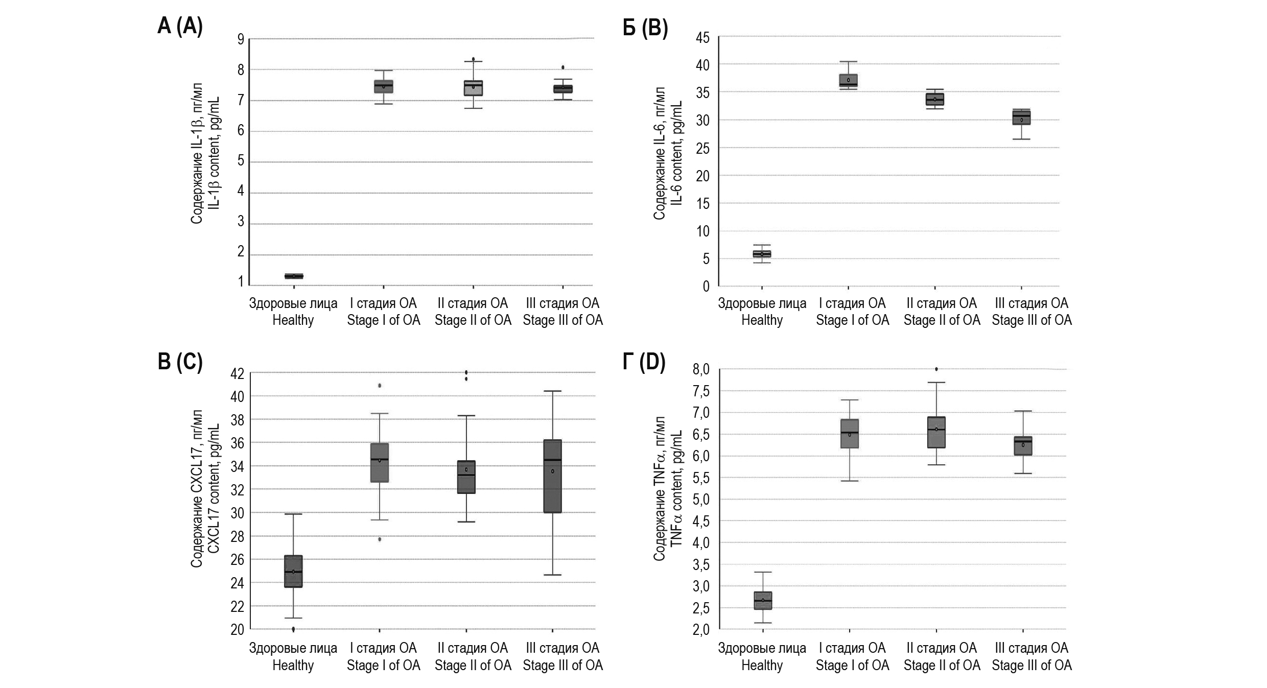
Всего было обследовано 50 пациентов в возрасте от 52 до 78 лет (в среднем 63 года), большинство составляли женщины (74%), и в целом все участники имели слегка избыточный вес (ИМТ 27,0 кг/м2), боль в коленях преобладала у 45% испытуемых. Показатели содержания цитокинов IL-1β, IL-6, хемокина CXCL17 и TNFα в сыворотке крови больных ОА составили 7,4 (6,4- 8,9), 33,7 (26,5-68,4), 33,8 (29,8-61,0) и 6,5 (4,94- 8,59) пг/мл соответственно, что достоверно превышало значения для здоровых лиц (1,3 (1,2- 1,4), 5,8 (4,2-6,3), 24,9 (19,1-29,9) и 2,7 (2,1-3,1) пг/мл) (рис. 1, p < 0,05). Не было выявлено существенных различий между субъектами с высоким (≥ медианным) и низким (< медианным) уровнем IL-6 с точки зрения пола, ИМТ, курения, статуса заболевания. Пациенты с высоким уровнем IL-6 (≥ медиана) были старше и имели более высокие уровни TNFα. Согласно рентгенологическому обследованию, пациенты были разделены на три группы в зависимости от стадии заболевания. Как показано на рисунке 1, содержание IL-1β, TNFα и хемокина CXCL17 у больных ОА на различных стадиях достоверно не отличалось. Тогда как количество IL-6 у пациентов при I и II стадиях превышало показатели при III и составило 36,3 (35,4-40,4), 33,6 (31,9-35,4) и 30,1 (26,6-31,2) соответственно (р < 0,05). У больных ОА концентрация TNFá имела прямую связь с показателем хемокина CXCL17 (r = 0,83, p < 0,05), что свидетельствует о взаимосвязях молекул, опосредованных этим медиатором и продукцией цитокинов тканевыми макрофагами при воспалении.
Рисунок 1. Содержание интерлейкинов IL-1β (А), IL-6 (Б), хемокина CXCL17 (В) и фактора некроза опухоли TNFα (Г) в сыворотке крови
Figure 1. Сontent of interleukins IL-1β (A), IL-6 (B), chemokine CXCL17 (C) and tumor necrosis factor TNFa (D) in blood serum
Концентрации белков теплового шока HSP27, HSP70 и их соотношение были достоверно ниже у больных ОА по сравнению с контрольной группой (соответственно: z = -3,06, p = 0,002; z = -4,41, p = 0,00001; z = -2,05, p = 0,04), что позволяет судить о толерантности рентгенологических проявлений ОА содержание HSP27 достоверно не изменялось (p > 0,05), но отмечалось показателя соотношения уровней HSP27/HSP70 перемещение в его сторону (табл. 1, p < 0,05). Корреляционный анализ показал, что у больных с I стадией концентрация HSP27 и HSP70 была прямо связана с показателями содержания TNFá (R = 0,45, p < 0,05 и R = 0,34, p < 0,05 соответственно) и хемокина CXCL17 (R = 0,34, p < 0,05 и R = 0,58, p < 0,05). Также в прямой корреляции находились значения концентрации TNFá и CXCL17 (R = 0,68, p < 0,05). При II стадии ОА уровень HSP70 был достоверно связан с концентрацией TNFá (R = -0,32, p < 0,05), а содержание последнего коррелировало с CXCL17 (R = 0,78, p < 0,05). При III стадии достоверная прямая связь обнаруживалась между уровнями белков теплового шока и TNFá и CXCL17 (R = 0,71, p < 0,05; R = 0,36, p < 0,05 соответственно), последние также имели прямую связь между собой (R = 0,49, p < 0,05).
Таблица 1. Содержание белков теплового шока HSP27 и HSP70 в сыворотке крови, Me (Q0,25-Q0,75)
Table 1. CONTENT OF HEAT SHOCK PROTEINS HSP27 AND HSP70 IN BLOOD SERUM, Me (Q0.25-Q0.75)
Показатель Indicator | Здоровые лица Volunteers (n = 30) | Стадия остеоартрита Stage of osteoarthritis | ||
I (n = 12) | II (n = 30) | III (n = 10) | ||
HSP70, пг/мл HSP70, pg/mL | 3,9 (3,2-4,8) | 3,7 (1,5-4,9) | 2,2 (1,2-2,7)* Z = 2,08; p = 0,04 | 1,8 (0,8-3,8)* |
HSP27, пг/мл HSP27, pg/mL | 1,6 (0,7-4,1) | 0,3 (0,3-0,7) | 0,4 (0,3-0,5) | 0,3 (0,2-0,4) |
HSP70/HSP27 | 2,7 (1,43-5,40) | 5,3 (4,7-14,9) | 4,9 (3,3-6,2) | 4,3 (1,9-9,2)* |
Примечание. * – статистически значимые различия с І стадией по критерию Манна–Уитни, р < 0,05.
Note. *, statistically significant differences with stage I according to the Mann–Whitney test, p < 0.05.
Цитокины и хемокины являются важными факторами, участвующими в регуляции гомеостаза и развития тканей, а также патогенеза различных процессов, таких как воспаление, фиброз и новообразования. Показано, что данные о содержании провоспалительных цитокинов и хемокинов в сыворотке крови могут служить прогностическими индикаторами и факторами скрининга в патогенезе заболеваний костной системы [15]. Из провоспалительных цитокинов, участвующих в развитии ОА, IL-1â и TNFá играют основную роль, так как первый связан с разрушением хряща, а второй с запуском воспалительного каскада [2, 10]. Эти медиаторы продуцируются хондроцитами, мононуклеарными клетками, остеобластами и синовиальными тканями, в дальнейшем, индуцируют выработку ряда воспалительных и катаболических факторов и могут действовать независимо или совместно с другими цитокинами.
В настоящем исследовании, в качестве медиаторов, принимающих участие в развитии воспаления, проанализировано содержание в сыворотке крови больных остеоартритом (ОА) наиболее важных индикаторов, а именно IL-1β, IL-6, хемокина CXCL17, фактора некроза TNFá и белков теплового шока HSP27, HSP70. Показано, что уровни интерлейкинов IL-1β и IL-6 и TNFá у больных ОА существенно превышали показатели для здоровых лиц. Эти данные согласуются с исследованием Goekoop и соавт., где изучалась связь между содержанием цитокинов и наличием ОА [5]. Было установлено, что у лиц пожилого возраста при низкой врожденной продукции IL- 1RA и IL-6 отсутствует это заболевание. В отношении IL-6 показано, что его высокий уровень в сыворотке связан с продукцией мононуклеарными клетками периферической крови и определяется при повышенном риске потери хряща в коленном суставе [9]. Причем в процессе развития ОА продукция различных воспалительных цитокинов может варьировать в зависимости от длительности и тяжести заболевания [13, 14]. В свою очередь, медиатор CXCL17 известен как корегулируемый фактором роста эндотелия сосудов хемокин (VCC-1) и хемокиноподобный белок, привлекающий дендритные клетки и моноциты (DMC). Его опосредованное воздействие через рецептор запускает внутриклеточную сигнализацию через различные пути, в том числе циклический аденозинмонофосфат, ERK1/2 и др., инициируя тем самым воспаление [3]. Нами продемонстрировано повышение уровня CXСL17 у больных ОА и его корреляция с показателями содержания интерлейкинов и TNFá. Выявленные нами тенденции вполне закономерны, если принять во внимание известные данные, что продукция CXСL17 клетками активируется при воздействии IL-1β и TNFá [4].
Согласно полученным нами данным, по сравнению с показателями здоровых лиц у больных ОА наблюдаются значимо низкие уровни белков теплового шока HSP27 и HSP70. При этом концентрация HSP70 имеет тенденцию к снижению по мере прогрессирования заболевания, тогда как уровень HSP27 значимо не меняется, оставаясь достоверно ниже контроля. Эти данные указывают на отсутствие синергичной активации этих белков в ответ на воспаление, что согласуется с данными других исследователей, которые показали, что уровень циркулирующего и синовиального HSP70 положительно коррелирует с показателями рентгена, на основании которых оценивалась степень тяжести ОА коленного сустава [11, 14]. Роль малых белков теплового шока, к которым относится HSP27, изучена недостаточно, однако известно, что снижение его уровня в суставных тканях при ОА сопровождается снижением их толерантности к провоспалительным цитокинам, главным образом, TNFá и IL-6 [13]. Согласно нашим данным, значительное снижение соотношения HSP70/HSP27 в сторону антиапоптотических значений дает возможность высказать предположение, что при ОА указанные белки демонстрируют двойной эффект: с одной стороны, способность снижать иммунологическую активности за счет уменьшения содержания HSP70, а с другой – уменьшать их проапоптотическое действие.
Заключение
Определение уровня системных межклеточных медиаторов позволяет использовать эти показатели в качестве потенциальных биохимических маркеров для прогнозирования тяжести заболевания и оценки их фундаментальной роли в патогенезе ОА коленного сустава.
About the authors
N. G. Plekhova
Pacific State Medical University
Author for correspondence.
Email: pl_nat@hotmail.com
PhD, MD (Biology), Associate Professor, Head, Interdisciplinary Research Center
Russian Federation, VladivostokM. A. Kabalyk
Pacific State Medical University
Email: pl_nat@hotmail.com
PhD (Medicine), Associate Professor, Leading Research Associate, Interdisciplinary Research Center
Russian Federation, VladivostokE. V. Prosekova
Pacific State Medical University
Email: pl_nat@hotmail.com
PhD, MD (Medicine), Professor, Head, Department of Clinical Laboratory Diagnostics, General and Clinical Immunology
Russian Federation, VladivostokV. B. Shumatov
Pacific State Medical University
Email: pl_nat@hotmail.com
PhD, MD (Medicine), Professor, Corresponding Member, Russian Academy of Sciences, Head, Department of Anesthesiology, Resuscitation, Intensive Care and Emergency Medical Care
Russian Federation, VladivostokReferences
- Кабалык М.А. Биомаркеры и участники ремоделирования субхондральной кости при остеоартрозе // Тихоокеанский медицинский журнал, 2017. Т. 1. С. 36-41. [Kabalyk M.A. Biomarkers of subchondral bone remodeling in osteoarthritis. Tikhookeanskiy meditsinskiy zhurnal = Pacific Medical Journal, 2017, Vol. 1, pp. 36-41.
- Grässel S., Zaucke F., Madry H. Osteoarthritis: novel molecular mechanisms increase our understanding of the disease pathology. J. Clin. Med., 2021, Vol. 10, no. 9, 1938. doi: 10.3390/jcm10091938.
- Giblin S.P., Ranawana S., Hassibi S., Birchenough H.L., Mincham K.T., Snelgrove R.J., Tsuchiya T., Kanegasaki S., Dyer D., Pease J.E. CXCL17 binds efficaciously to glycosaminoglycans with the potential to modulate chemokine signaling. Front. Immunol., 2023, Vol. 14, 1254697. doi: 10.3389/fimmu.2023.1254697.
- Gowhari Shabgah A., Jadidi-Niaragh F., Ebrahimzadeh F., Mohammadi H., Askari E., Pahlavani N., Malekahmadi M., Nik M.E., Navashenaq J.G. A comprehensive review of chemokine CXC17 (VCC1) in cancer, infection, and inflammation. Cell. Biol. Int., 2022, Vol. 46, no 10, pp. 1557-1570.
- Goekoop R.J., Kloppenburg M., Kroon H.M., Frölich M., Huizinga T.W., Westendorp R.G., Gussekloo J. Low innate production of interleukin-1beta and interleukin-6 is associated with the absence of osteoarthritis in old age. Osteoarthritis Cartilage, 2010, Vol. 18, no 7, pp. 942-947.
- Ishimoto R., Mutsuzaki H., Shimizu Y., Yoshikawa K., Koseki K., Takeuchi R., Matsumoto S., Hada Y. Association between obesity and short-term patient-reported outcomes following total knee arthroplasty: a retrospective cohort study in Japan. J. Clin. Med., 2024, Vol. 13, no. 5, 1291. doi: 10.3390/jcm13051291.
- Kaufman J., Caric D., Vukojevic K. Expression pattern of Syndecan-1 and HSP-70 in hip tissue of patients with osteoarthritis. J. Orthop., 2019, Vol. 17, pp. 134-138.
- Kapoor M., Martel-Pelletier J., Lajeunesse D., Pelletier J.P., Fahmi H. Role of proinflammatory cytokines in the pathophysiology of osteoarthritis. Nat. Rev. Rheumatol., 2011, Vol. 7, no 1, pp. 33-42.
- Liao Y., Ren Y., Luo X., Mirando A.J., Long J.T., Leinroth A., Ji R.R., Hilton M.J. Interleukin-6 signaling mediates cartilage degradation and pain in posttraumatic osteoarthritis in a sex-specific manner. Sci. Signal., 2022, Vol. 15, no. 744, eabn7082. doi: 10.1126/scisignal.abn7082.
- Molnar V., Matišić V., Kodvanj I., Bjelica R., Jeleč Ž., Hudetz D., Rod E., Čukelj F., Vrdoljak T., Vidović D., Starešinić M., Sabalić S., Dobričić B., Petrović T., Antičević D., Borić I., Košir R., Zmrzljak U.P., Primorac D. Cytokines and chemokines involved in osteoarthritis pathogenesis. Int. J. Mol. Sci., 2021, Vol. 22, no. 17, 9208. doi: 10.3390/ijms22179208.
- Ngarmukos S., Scaramuzza S., Theerawattanapong N., Tanavalee A., Honsawek S. Circulating and synovial fluid Heat Shock Protein 70 are correlated with severity in knee osteoarthritis. Cartilage, 2020, Vol. 11, no. 3, pp. 323-328.
- Tan S., Fang W., Vangsness C.T. Jr., Han B. Influence of cellular microenvironment on human articular chondrocyte cell signaling. Cartilage, 2021, Vol. 13, no. 2_suppl, pp. 935S-946S.
- Teunis T., Beekhuizen M., Van Osch G.V., Schuurman A.H., Creemers L.B., van Minnen L.P. Soluble mediators in posttraumatic wrist and primary knee osteoarthritis. Arch. Bone Jt Surg., 2014, Vol. 2, no. 3, pp. 146-150.
- Vangness C.T., BurkeW.S., NarvyW.S., MacPhee R.D., Fedenko A.N. Human knee synovial fluid cytokines correlated with grade of knee osteoarthritis – A pilot study. Bull. NYU Hosp. Jt Dis., 2011, Vol. 69, pp. 122-127.
- Zhang J., Li K., Qiu X. Exploring causal correlations between inflammatory cytokines and knee osteoarthritis: a two-sample Mendelian randomization. Front. Immunol., 2024, Vol. 18, no. 15, 1362012. doi: 10.3389/fimmu.2024.1362012.
Supplementary files




