Evaluation of the impact of genetically engineered biological therapy on HLA-E expression in bronchial asthma and atopic dermatitis
- Authors: Borisevich V.I.1, Boeva O.S.2, Abbasova V.S.1, Demina D.V.2, Kozlov V.A.2
-
Affiliations:
- Novosibirsk State Medical University
- Research Institute of Fundamental and Clinical Immunology
- Issue: Vol 28, No 4 (2025)
- Pages: 1067-1072
- Section: SHORT COMMUNICATIONS
- Submitted: 30.04.2025
- Accepted: 15.07.2025
- Published: 28.09.2025
- URL: https://rusimmun.ru/jour/article/view/17263
- DOI: https://doi.org/10.46235/1028-7221-17263-EOT
- ID: 17263
Cite item
Full Text
Abstract
Globally, the prevalence of bronchial asthma (BA) alone reaches 19%, with the number of affected individuals showing an upward trend. Atopic dermatitis (AD) affects 25-30% of children and 7-10% of adults. Remission remains elusive even with advanced genetically engineered biological therapies. Consequently, research into immunopathogenic pathways and the development of novel therapeutic strategies remain critical. A typical representative of “non-classical” HLAs, the HLA-E molecule, is a perspective for study. These molecules are also expressed across various tissues, notably in the respiratory system (bronchial epithelium) and skin keratinocytes. As a cell surface protein, HLA-E participates in diverse immune response pathways. VL9 peptides stabilize HLA-E expression, enabling presentation to its primary receptors, NKG2, on natural killer (NK) cells. In adaptive immunity, HLA-E serves as a ligand for CD8+ cytotoxic T cell receptors (TCRs). This study aimed to evaluate HLA-E-bearing cells (CD4+, CD8+, CD14+) in patients with BA and AD, both before and 12 months after initiating genetically engineered biological therapy (GEBT). Peripheral blood mononuclear cells (PBMCs) were analyzed from healthy donors (n = 16), BA patients (n = 4), and AD patients (n = 5). AD patients received dupilumab (300 mg loading dose), while BA patients were treated with benralizumab (30 mg). Prior to therapy, both AD and BA patients exhibited lower proportions of HLA-E-positive CD4+ and CD8+T cells compared to healthy donors. No significant differences were observed in HLA-E expression on CD14+ monocytes. During treatment, HLA-E levels across all cell types in patients reached levels comparable to those in healthy donors. These findings suggest HLA-E’s involvement in disease pathogenesis and the modulating effects of GEBT on HLA-E-positive cell populations.
Full Text
Введение
Эпидемиологические данные указывают на высокую значимость заболеваний аллергической природы на современном этапе медицинской помощи. В мировой популяции распространенность только бронхиальной астмы (БА) достигает 19%, а число больных имеет тенденцию к росту [1]. Распространенность же атопического дерматита (АД) достигает 25-30% среди детей и до 7-10% среди взрослого населения [2], что обуславливает повышенный интерес к данной патологии. Развитие заболевания связано с риском прогрессирования атопии и поэтапной трансформации клинических проявлений: развитию аллергического риноконъюнктивита и БА [13], что увеличивает процент инвалидизации в популяции. Кроме очевидного неблагоприятного влияния на качество жизни пациентов, такие заболевания связаны со значительными экономическими издержками и высокими требованиями к мерам социальной поддержки больных [1].
На сегодняшний день большинство специализированных клиник Российской Федерации обладает широким арсеналом доступных препаратов для применения в качестве как базисной, так и таргетной терапии нозологий аллергологического профиля. Конечно, наиболее уязвимой и трудной в лечении является группа пациентов с тяжелыми иммунологическими нарушениями и неконтролируемым течением указанных заболеваний. Именно поэтому зачастую требуется инициация генно-инженерной биологической терапии (ГИБТ). Однако, несмотря на прямое ингибирование таких значимых мишеней, как IgE, IL-4, IL-5, IL-13, добиться клинической ремиссии удается не всегда. Безусловно, ни один из известных механизмов патогенеза и потенциальное влияние на него не могут быть исчерпывающими. Ведь, прежде всего, аллергические заболевания представляют собой группу мультифакториальных заболеваний. В связи с этим до сих пор актуальным остается поиск и изучение звеньев иммунопатогенеза, а также разработка новых терапевтических стратегий.
В качестве одной из перспективных групп молекул сегодня рассматриваются «неклассические» молекулы главного комплекса гистосовместимости. Это семейство, несмотря на структурную гомологию с «классическими» MHC, имеют более неоднозначную роль в иммунной системе. Гены HLA Ib расположены в главном комплексе гистосовместимости коротком плече 6-й хромосомы [7]. Характерным для данного семейства является ограниченный полиморфизм и низкая конститутивная экспрессия на поверхности клеток. Типичный представитель группы ген и молекула HLA-E. Так, для HLA-E известно 2 преобладающих в популяции аллели HLA-E 01:01 и HLA-E 01:03. Различия между ними обусловлены одной из аминокислот в последовательности (аргинин – глицин). Их распространенность достигает 99% [7, 12]. Остальные варианты генов на сегодняшний день не рассматриваются в научных исследованиях ввиду их ограниченной представленности среди населения.
Физиологическая экспрессия, как было сказано выше, достаточно низкая. В подавляющем большинстве случаев HLA-E-ограниченными клетками являются иммунокомпетентные клетки (B-, T-лимфоциты, макрофаги, дендритные клетки), а также эндотелиальные клетки. Однако такие молекулы экспрессируются на клетках многих тканей, в том числе с преобладанием на клетках дыхательной системы (бронхиальный эпителий) и кератиноцитах кожи [7].
Экспрессия молекул HLA-E не является статичной. Индукцию к трансляции соответствующего белка увеличивают факторы провоспалительного окружения. При воздействии таких цитокинов, как TNF, IL-1β и IFNγ, эндотелиальные клетки экспрессируют на своей поверхности более высокий уровень HLA-E [3]. Плотность экспрессии выше также на клетках, коэкспрессирующих HLA-E и HLA-G. Полученные из HLA-G пептиды, более того, могут определять роль молекулы как лиганда [4, 9].
Собственно, как белок на поверхности клетки, HLA-E может быть задействована в различных сценариях иммунного ответа. В условиях физиологической регуляции HLA-E представляют пептиды из лидерных последовательностей «классических молекул» MHC. Так называемые пептиды VL9 стабилизируют экспрессию HLA-E, которая представляет их своей основной группе рецепторов – NKG2 на NK-клетках [6, 7, 8]. Больший аффинитет молекула имеет к ингибирующему NKG2A-рецептору, чем поддерживается толерантность к клеткам с нормальным уровнем HLA Ia. Интересно, что подобный механизм в первую очередь был показан на опухолевых клетках, которые в результате адаптации приобрели способность избегать иммунологического NK-надзора. В другом случае, таким рецептором может стать активирующий NKG2C-рецептор. При раке шейки матки была установлена закономерность, когда длительная сверхэкспрессия HLA-E опухолевыми клетками приводила к смещению баланса в сторону активирующих влияний (презентация пептидов NKG2C-рецептору) на NK-клетки [6]. В дополнение к этому существуют сведения, подтверждающие возможность связывания HLA-E пептидов теплового шока (Hsp60). Однако при этом снижается аффинность связывания с NKG2A, NK-клетки получают преимущественно стимулирующие сигналы от таких рецепторов, как NKG2D, NKp46, NKp44 или NKp30 [10]. Активация через NKG2C-рецептор может быть также достигнута при презентации лидерных пептидов из HLA-G [4].
Ингибирующие NKG2A-рецепторы могут встречаться и на Т-клетках. В недавнем исследовании, проведенном O. Fesneau и соавт., было показано, что стимулятором для экспрессии NKG2A на CD8+Т-лимфоцитах служит IL-12 и, в меньшей степени, TGF-β [5]. В адаптивном иммунитете также отмечается значимая роль HLA-E в качестве лиганда для TCR CD8+ цитотоксических Т-лимфоцитах. Подобного рода взаимодействие осуществляется при презентации пептидов, полученных из белков патогенных микроорганизмов. Активирующие сигналы Т-лимфоциты получают от HLA-E, нагруженных пептидами бактерий (M. tuberculosis, Salmonella enterica), некоторых вирусов (CMV, вирус гриппа, HCV). Интерес представляет и тот факт, что такие CD8+Т-лимфоциты способны изменять поляризацию к продукции Th2-специфичных цитокинов и активировать B-клеточное звено [8, 14].
Экспрессия «неклассических» молекул HLA при аллергических заболеваниях рассматривалась и в более ранних исследования, речь в которых касалась преимущественно молекул HLA-G [11]. На данный момент анализ литературных данных не позволяет прийти к однозначному пониманию в вопросе влияния на моделирование свойств клеток-участников подобного ответа при БА и АД.
Целью данной работы было оценить уровень клеток, несущих молекулу HLA-E, на CD4+, СD8+, CD14+ клетках у пациентов с БА и АД как до инициации терапии генно-инженерными биологическими препаратами, так и на фоне лечения после инициациии генно-инженерной биологической терапии через 12 месяцев.
Материалы и методы
В качестве материала для исследования использовались мононуклеарные клетки периферической крови (МНК ПК) пациентов с аллергическими заболеваниями, находившихся на лечении в клинике иммунопатологии НИИФКИ, и соматически здоровых доноров, после подписания указанными лицами информированного согласия.
МНК доноров (n = 16), пациентов с БА (n = 4) и АД (n = 5) выделяли из периферической крови методом центрифугирования в градиенте плотности фиколл-урографина (1,077 г/мл). Затем клетки окрашивали моноклональными антителами, конъюгированными с флюорохромами: анти-CD3-APC, анти-CD4-APC-Cy7, анти-CD8-PE-Cy7, анти-CD-14-FITC и анти-HLA-E-PerCP/ Cy5. Фенотип клеток анализировался на проточном цитофлуориметре LongCyte (Challenbio, Китай). Анализ проводился с помощью GraphPad Prism 9.3.1, с использованием критерия Манна–Уитни, значение p (< 0,05) считалось минимальным критерием для статистической значимости.
Исследуемая группа составила 9 пациента с БА и АД, распределение по половому признаку было практически равным, с небольшим преобладанием лиц женского пола. Из них 4 пациентов с БА (средний возраст 46±4,55 года) и 5 пациентов с АД (средний возраст 38±5,1 года). В качестве группы сравнения были обследованы условно здоровые доноры в количестве 16 человек в возрасте 33,56±3,11 года.
Для пациентов в соответствии с тяжестью заболевания и рефракторностью к предыдущим ступеням лечения, была инициирована ГИБТ. В качестве таргетной терапии для пациентов с АД был назначен дупилумаб (моноклональные антитела к IL-4Rα субъединице, блокирует передачу сигналов от IL-4 и IL-13) в инициирующей дозировке 300 мг, для пациентов с БА – бенрализумаб (моноклональные антитела к IL-5Rα субъединице, снижает эозинофильное воспаление) в дозировке 30 мг.
Результаты и обсуждение
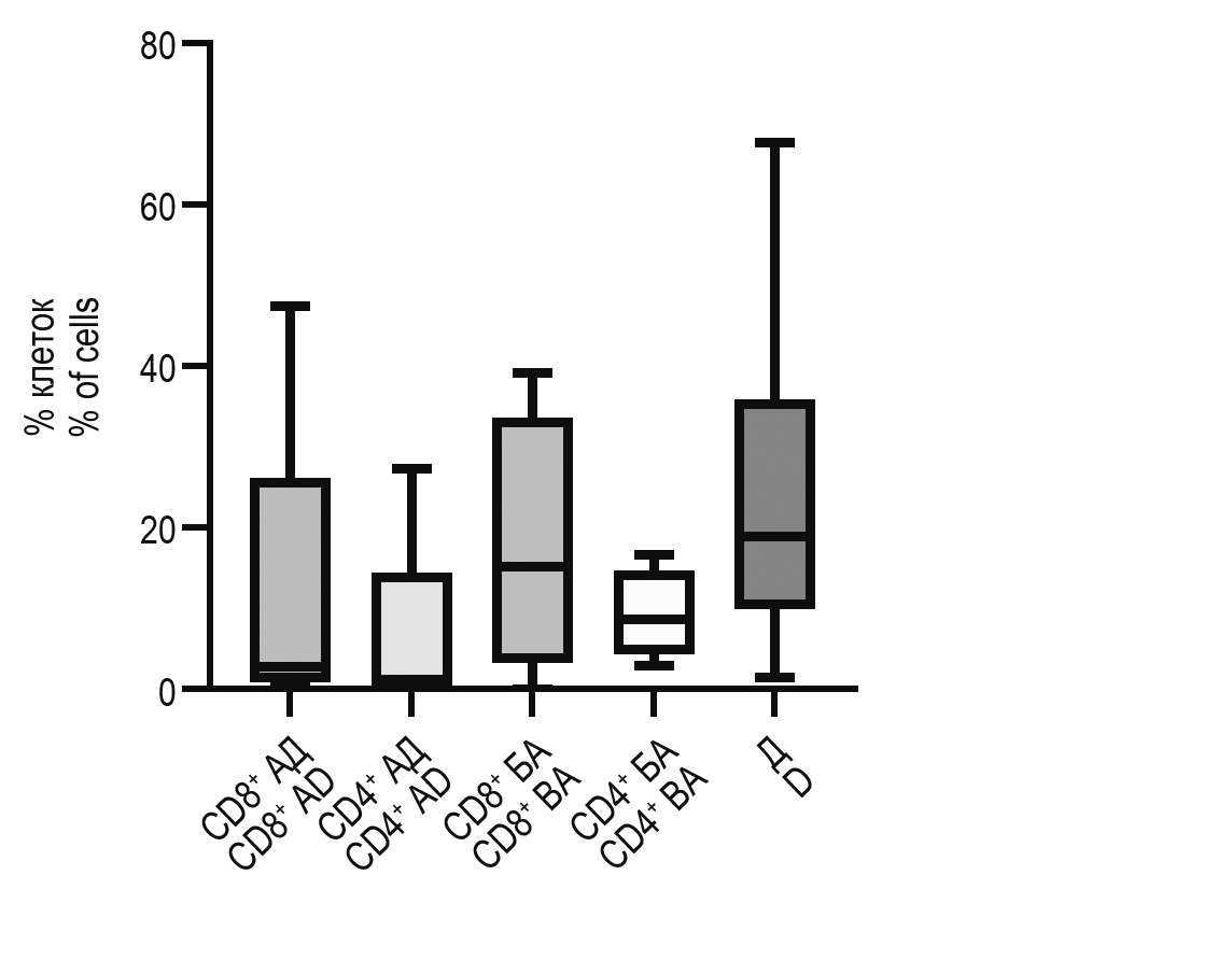
Для пациентов с АД в предшествующий терапии период отмечалась более низкая доля как CD4+Т-клеток, так и CD8+Т-клеток, экспрессирующих HLA-E (рис. 1). Схожие результаты были получены и для пациентов с БА (рис. 1). Так, до инициации терапии также мы увидели уменьшение экспрессии молекул HLA-E на клетках с фенотипом CD4+ и CD8+. При оценке CD14+ (моноцитов), экспрессирующих молекулы HLA-E, достоверных различий выявлено не было (рис. 2).
Рисунок 1. Доля HLA-E-позитивных CD4+ и CD8+Т-клеток до инициации ГИБТ у условно здоровых доноров и пациентов с атопическим дерматитом и бронхиальной астмой
Примечание. * – достоверные различия по сравнению с донорами.
Figure 1. Proportion of HLA-E-positive CD4+ and CD8+T cells in healthy donors and patients with atopic dermatitis and bronchial asthma before initiation of GEBT
Note. *, significant differences compared with donors.
Рисунок 2. Доля HLA-E-позитивных CD14+ клеток до и после инициации ГИБТ у условно здоровых доноров, пациентов с атопическим дерматитом и бронхиальной астмой
Примечание. См. примечание к рисунку 1.
Figure 2. Proportion of HLA-E-positive CD14+ cells in healthy donors and patients with atopic dermatitis and bronchial asthma before/after initiation of GEBT
Note. As for Figure 1.
Полученные результаты могут свидетельствовать о вовлеченности HLA-E в иммунопатогенез исследуемых заболеваний. Вероятно, более низкая доля лимфоцитов, экспрессирующих HLA-E, может быть связана с недостаточным ингибированием скомпрометированного Т-клеточного звена, когда измененная поляризация Т-лимфоцитов в сторону Th2-ответа обуславливает основные клинические проявления, такие как бронхоспазм, подслизистый отек и снижение мукоцилиарного клиренса, как в случае с БА [1, 15].
Подобная картина может быть закономерной и для пациентов с АД. Однако известно, что при тяжелом течении заболевания ответ поляризован преимущественно по Th1-типу [2].
Интересно, что такие результаты, однако, не соответствуют предшествующим данным, опубликованными S.R. White и соавт. При аллергическом фенотипе астмы более благоприятное течение заболевания коррелировало с высокой концентрацией sHLA-G [15]. Ранее было показано, что доступность для HLA-E пептидов из HLA-G повышает аффинность связывания с NKG2C. В результате клетки, экспрессирующие NKG2C, получают активирующие сигналы [9]. При более низкой доступности таких пептидов в условиях тяжелого течения в таком случае, мы могли бы ожидать преимущественного взаимодействия с NKG2A, что приводило бы снижению воспалительного ответа, однако для данной группы пациентов такого не происходило. В последующем дополнительная оценка репертуара рецепторов, в частности основных рецепторов для HLA-E из семейства NKG2 (NKG2A/C), экспрессирующийся на популяциях Т-лимфоцитов, может стать ключом к пониманию возможной роли данной молекулы в данном аспекте патогенеза.
Вторым этапом стало сравнение групп пациентов с АД и БА через 12 месяцев после инициации ГИБТ и условно здоровых доноров. На фоне лечения наблюдался сопоставимый уровень экспрессии HLA-E на всех типах клеток в группе пациентов в сравнении с условно здоровыми донорами (рис. 2, 3). Данные, полученные нами, представляются исключительными, так как до этого не производилась оценка влияния ГИБТ на уровень клеток, экспрессирующих HLA-E. Возможно, такой супрессивный механизм реализуется на фоне снижения общего провоспалительного ответа.
Рисунок 3. Доля HLA-E-позитивных CD4+ и CD8+Т-клеток после инициации ГИБТ у условно здоровых доноров и пациентов с атопическим дерматитом и бронхиальной астмой
Примечание. См. примечание к рисунку 1.
Figure 3. Proportion of HLA-E-positive CD4+ and CD8+T cells in healthy donors and patients with atopic dermatitis and bronchial asthma after initiation of GEBT
Note. As for Figure 1.
Заключение
Проведенное исследование подтверждает влияние предложенной терапии на уровень HLA-E-позитивных клеток, которые могут вносить вклад в клиническое улучшение течения заболеваний. Кроме того, подобная корреляция параметров экспрессии HLA-E может быть актуальна в других аспектах проводимой терапии, например, в качестве одного из прогностических критериев для отбора на ГИБТ или потенциального маркера эффективности лечения.
About the authors
Vadim I. Borisevich
Novosibirsk State Medical University
Author for correspondence.
Email: borvad2001@mail.ru
Student
Russian Federation, NovosibirskO. S. Boeva
Research Institute of Fundamental and Clinical Immunology
Email: starchenkova97@gmail.com
Resident, Postgraduate Student, Laboratory Research Assistant, Laboratory of Clinical Immunopathology
Russian Federation, NovosibirskV. S. Abbasova
Novosibirsk State Medical University
Email: starchenkova97@gmail.com
Student
Russian Federation, NovosibirskD. V. Demina
Research Institute of Fundamental and Clinical Immunology
Email: immunology@mail.ru
PhD (Medicine), Allergologist, Head, Department of Allergology
Russian Federation, NovosibirskV. A. Kozlov
Research Institute of Fundamental and Clinical Immunology
Email: vakoz40@yandex.ru
PhD, MD (Medicine), Prosfessor, Full Member, Russian Academy of Sciences, Head, Laboratory of Clinical Immunopathology, scientific director
Russian Federation, NovosibirskReferences
- Свист П.Г., Торчинский Н.В., Брико Н.И., Авдеев С.Н. Распространенность бронхиальной астмы и ХОБЛ в коморбидности с COVID-19 // Эпидемиология и вакцинопрофилактика, 2024. Т. 23, № 1. С. 66-76. [Svist P.G., Torchinsky N.V., Briko N.I., Avdeev S.N. Prevalence of bronchial asthma and COPD in comorbidity with COVID-19. Epidemiologiya i vaktsinoprofilaktika = Epidemiology and Vaccinal Prevention, 2024, Vol. 23, no. 1, pp. 66-76. (In Russ.)]
- Потекаев Н.Н., Терещенко Г.П., Ханферьян Р.А., Савастенко А.Л. Иммунные механизмы атопического дерматита и новые подходы к таргетной биологической терапии // Медицинский совет, 2022. Т. 16, № 3, С. 130-136. [Potekaev N.N., Tereshchenko G.P., Khanferyan R.A., Savastenko A.L. Immune mechanisms of atopic dermatitis and new approaches to targeted biological therapy. Meditsinskiy sovet = Medical Council, 2022, Vol. 16, no. 3, pp. 130-136. (In Russ.)]
- Coupel S., Moreau A., Hamidou M., Horejsi V., Soulillou J.P., Charreau B. Expression and release of soluble HLA-E is an immunoregulatory feature of endothelial cell activation. Blood, 2007, Vol. 109, no. 7, pp. 2806-2814.
- Cross-Najafi A.A., Farag K., Isidan A., Li W., Zhang W., Lin Z., Walsh J.R., Lopez K., Park Y., Higgins N.G., Cooper D.K.C., Ekser B., Li P. Co-expression of HLA-E and HLA-G on genetically modified porcine endothelial cells attenuates human NK cell-mediated degranulation. Front. Immunol., 2023, Vol. 14, 1217809. doi: 10.3389/fimmu.2023.1217809.
- Fesneau O., Samson K.A., Rosales W., Jones B., Moudgil T., Fox B.A., Rajamanickam V., Duhen T. IL-12 drives the expression of the inhibitory receptor NKG2A on human tumor-reactive CD8 T cells. Nat. Commun., 2024, Vol. 15, no. 1, 9988. doi: 10.1038/s41467-024-54420-w.
- Franciosi J.R., Gelmini G.F., Roxo V.S., de Carvalho N.S., Bicalho M.D.G. Is there a role played by HLA-E, if any, in HPV immune evasion? Scand. J. Immunol., 2020, Vol. 91, no. 3, e12850. doi: 10.1111/sji.12850.
- Gillespie G.M., Quastel M.N., McMichael A.J. HLA-E: Immune receptor functional mechanisms revealed by structural studies. Immunol. Rev., 2025, Vol. 329, no. 1, e13434. doi: 10.1111/imr.13434.
- Joosten S.A., Sullivan L.C., Ottenhoff T.H. Characteristics of HLA-E restricted T-cell responses and their role in infectious diseases. J. Immunol. Res., 2016, Vol. 2016, 2695396. doi: 10.1155/2016/2695396.
- Kanevskiy L., Erokhina S., Kobyzeva P., Streltsova M., Sapozhnikov A., Kovalenko E. Dimorphism of HLA-E and its disease association. Int. J. Mol. Sci., 2019, Vol. 20, no. 21, 5496. doi: 10.3390/ijms20215496.
- Kraemer T., Celik A.A., Huyton T., Kunze-Schumacher H., Blasczyk R., Bade-Döding C. HLA-E: Presentation of a broader peptide repertoire impacts the cellular immune response-implications on HSCT outcome. Stem Cells Int., 2015, Vol. 2015, 346714. doi: 10.1155/2015/346714.
- Negrini S., Contini P., Murdaca G., Puppo F. HLA-G in Allergy: Does it play an immunoregulatory role? Front. Immunol., 2022, Vol. 12, 789684. doi: 10.3389/fimmu.2021.789684.
- Sauter J., Putke K., Schefzyk D., Pruschke J., Solloch U.V., Bernas S.N., Massalski C., Daniel K., Klussmeier A., Hofmann JA., Lange V., Schmidt A.H. HLA-E typing of more than 2.5 million potential hematopoietic stem cell donors: Methods and population-specific allele frequencies. Hum. Immunol., 2021, Vol. 82, no. 7, pp. 541-547.
- Simpson E.L. Comorbidity in atopic dermatitis. Curr. Dermatol. Rep., 2012, Vol. 1, no. 1, pp. 29-38.
- Toni Ho G.-G., Heinen F., Stieglitz F., Blasczyk R., Bade-Döding C. Dynamic interaction between immune escape mechanism and HLA-Ib regulation. In: Rezaei N. (ed.). Immunogenetics. IntechOpen, 2019. Available at: http://dx.doi.org/10.5772/intechopen.80731.
- White S.R., Nicodemus-Johnson J., Laxman B., Denner D.R., Naureckas E.T., Hogarth D.K., Stern R., Minc A., Solway J., Sperling A., Ober C. Elevated levels of soluble humanleukocyte antigen-G in the airways are a marker for a low-inflammatory endotype of asthma. J. Allergy Clin. Immunol., 2017, Vol. 140, no. 3, pp. 857-860.
Supplementary files






