Сytokine expression and production in severe cases of SARS-CoV-2 infection
- Authors: Abramova N.D.1, Meremyanina E.A.1,2, Kalyuzhnaya N.O.1, Poddubikov A.V.1, Kostinov M.P.1,3, Grechenko V.V.4, Svitich O.A.1,3
-
Affiliations:
- I. Mechnikov Research Institute of Vaccines and Sera
- Russian Medical Academy of Continuous Professional Education
- I. Sechenov First Moscow State Medical University (Sechenov University)
- N. Pirogov Russian National Research Medical University
- Issue: Vol 26, No 4 (2023)
- Pages: 603-610
- Section: Forum Sochi 2023
- Submitted: 10.07.2023
- Accepted: 12.07.2023
- Published: 22.09.2023
- URL: https://rusimmun.ru/jour/article/view/13957
- DOI: https://doi.org/10.46235/1028-7221-13957-CEA
- ID: 13957
Cite item
Full Text
Abstract
Most respiratory viral infections proceed in mild form including COVID-19. Gowever, some patients experience severe systemic inflammation, tissue damage, acute respiratory distress syndrome, and cytokine storm with potentially lethal outcomes. The cytokines have been thought to play an important role in immunopathology of viral infection. However, an excessive immune response, manifesting as massive release of pro-inflammatory cytokines, may cause immune damage in the body. Production and release of the cytokines in healthy individuals presumes a significant balance of inflammatory and homeostatic factors. Meanwhile, in the case of COVID-19 disease, uncontrolled increased production of cytokines often occurs with fatal consequences for patients. The aim of this work was to study the level of IL-1β, IL-18 and TNFα gene expression, as well as production of these cytokines at the level of mucous membranes of the upper respiratory tract, in particular in oral cavity, in patients with severe COVID-19 disease.
The present study included patients who recovered from severe COVID-19. The control group consisted of conditionally healthy individuals. Expression levels of the IL-1β, IL-18, and TNFα genes were determined by RT-PCR. The levels of IL-1β, IL-18 and TNFα protein production were determined by multiplex enzyme immunoassay.
The expression levels of IL-1β, IL-18 were reduced at the onset of the disease, as well as in the midpoint of the COVID-19 disease, but increased on the 30th day. The protein production of these cytokines was also reduced in the first days from the onset of the disease. The levels of pro-inflammatory TNFα cytokine was high at the onset of the disease. The level of TNFα production at the onset of the disease was also higher relative to the control group. Subsequently, the TNFα gene expression levels decreased upon progression of the disease.
Thus, the increased expression level of pro-inflammatory cytokines may be explained by the fact that the S protein of the SARS-CoV-2 virus induces increased expression of these cytokines in human monocytes. Meanwhile, appropriate protein levels remain low, especially on day 1 from the onset of the disease. Thus, one may conclude that the virus triggers pyropotosis, however, within 15-30 days from the onset of the disease, when viral replication is already minimal.
Keywords
Full Text
Введение
Заболевание COVID-19, вызванное SARS-CoV-2 инфицировало миллионы людей на планете и продолжает вызывать заболеваемость и смертность во всем мире. Многие респираторные вирусные инфекции протекают в легкой форме, включая заболевание COVID-19, однако у некоторых пациентов наблюдается тяжелое системное воспаление, повреждение тканей, острый респираторный дистресс-синдром, а также вызывается цитокиновый шторм. Долгое время считалось, что цитокины играют важную роль в иммунопатологии при вирусной инфекции. Быстрый и хорошо скоординированный врожденный иммунный ответ является первой линией защиты от вирусной инфекции. Однако нерегулируемые и чрезмерные иммунные реакции могут вызвать иммунное повреждение человеческого организма [3, 4]. В то время как продукция и высвобождение цитокинов у здоровых людей лежат в основе существенного баланса воспалительных и гомеостатических факторов, в случае заболевания COVID-19 часто происходит неконтролируемое перепроизводство цитокинов, имеющее фатальные последствия для организма. В связи с этим повсеместно обсуждаемым термином является феномен цитокинового шторма, который проявляется как гиперактивность клеток иммунной системы, продуцирующих провоспалительные цитокины, и может привести к тяжелым и/или фатальным случаям полиорганной недостаточности [1, 11]. Клеточные эксперименты показывают, что замедленное высвобождение цитокинов и хемокинов происходит в клетках респираторного эпителия, дендритных клетках (ДК) и макрофагах на ранней стадии инфекции SARS-CoV-2. Позже клетки секретируют низкие уровни противовирусных факторов интерферонов (IFN) и высокие уровни провоспалительных цитокинов таких, как интерлейкин IL-1β, IL- 6, IL-18 и TNFα.
Поскольку такой провопалительный цитокин, как TNFα, является одним из наиболее интенсивно изучаемых цитокинов и, как известно, играет решающую роль во множестве воспалительных заболеваний, TNFα выполняет ключевые функции в поддержании иммунной системы и физиологического гомеостаза. Однако способность TNFα форсировать активацию иммунных клеток может приводить к гипервоспалительной реакции и повреждению тканей при определенных обстоятельствах, как в случае возникновения цитокинового шторма при заболевании COVID-19 [7, 9].
Заболевание COVID-19 традиционно имеет двухфазное течение. Первая фаза характеризуется вирусным ответом, за которым следует фаза гипервоспалительной реакции. Гипервоспалительная реакция обычно возникает примерно через 8-15 дней после появления первых симптомов, когда вирусная репликация ослабевает [6, 10]. Данная гипервоспалительная фаза характеризуется избыточной продукцией воспалительных цитокинов и хемокинов в легких, что приводит к рекрутированию провоспалительных клеток, еще больше усиливая воспаление и вызывая повреждение легких. Известно, что инфламмасомы активируются во время вирусных инфекций в том числе и респираторных, и эти инфламмасомы участвуют в активации цитокинов семейства интерлейкинов IL-1, особенно IL-1β и IL-18, биологическая активность которых зависит от активности каспазы-1 [2]. Нарушенная активация инфламмасом может быть триггером гипервоспаления, наблюдаемого при тяжелом течении COVID-19.
Такая чрезмерная реакция провоспалительных цитокинов, опосредованных быстрым иммунным ответом, может привести к цитокиновому шторму, который, как известно, отвечает как за критическое состояния, так и за полиорганные повреждения и, следовательно, приводит к высокому риску смертности при заболевании COVID-19. Известно, что у пациентов, с чрезмерной гипервоспалительный реакцией и у них более вероятно развитие синдрома высвобождения цитокинов и острого респираторного дистресс-синдрома (ОРДС), который характеризуется сильной воспалительной реакцией в легочной ткани, отдышкой и даже после выздоровления значительно ухудшает качество жизни.
Поэтому цель данной работы изучение экспрессии генов IL-1β, IL-18 и TNFα, а также их продукцию на уровне слизистых оболочек верхних дыхательных путей у пациентов с тяжелым течением заболевания COVID-19.
Материалы и методы
В настоящее исследование были включены пациенты (n = 20), переболевшие тяжелой формой заболевания COVID-19. Контрольную группу составили (n = 10) условно здоровые пациенты, контактировавших с инфекцией SARS-CoV-2, но без подтвержденного анализа на SARS-CoV-2. В работе использовали биоматериал в виде соскобов слизистых оболочек ротоглотки. Забор материала производился цитощеточкой типа А («Юнона», Россия), и он транспортировался в лабораторию в пробирке на 1,5 мл в физиологическом растворе («Панеко», Россия) в закрытом пакете. Всем пациентам с новой коронавирусной инфекцией проводили комплексное клиническое обследование, включавшее компьютерную томографию (КТ) органов грудной клетки, пульсоксиметрию и лабораторные тесты на наличие РНК (антигена) SARS-CoV-2. Исследование проводилось при информированном согласии пациентов.
Из полученного биоматериала выделяли РНК методом сорбции на селикагеле с использованием коммерческого набора «РИБО-сорб» (Amplisense, Россия) в соответствии с протоколом проведения для данного набора. Проверка качества выделенной РНК для исследования экспрессии генов IL-1β, IL-18 и TNFα осуществлялась с помощью спектрофотометра Nanodrop 2000® (Thermo Scientific, США). Реакцию обратной транскрипции и последующую ПЦР-РВ анализ проводили с помощью коммерческих наборов «Набор для обратной транскрипции ОТ-1» «Набор реагентов для проведения ПЦР-РВ в присутствии красителя SYBR Green I» («Синтол», Россия). Последовательность праймеров для генов IL-1β, IL-18 и TNFα подбирали с помощью программы Vector NTI, анализируя последовательность интересующих генов, полученную из GenBank.
Стандартизация результатов ПЦР-РВ проводилась по уровню экспрессии гена «домашнего хозяйства» β-актина. Обхват экспрессии гена был посчитан методом относительного анализа экспрессии гена с использованием метода ∆∆Ct.
Определение уровня цитокинов на уровне слизистых оболочек ротоглотки проводили с использованием флуоресцентного ридера MAGPIX компании Bio-Rad. Для измерения использовался набор реактивов Bio-Plex Pro Human Cytokine Screening Panel компании Bio-Rad. Анализ проводился строго по прилагаемой к набору методике. Полученные данные (концентрации пг/ мл) далее подвергались статистическому анализу. Статистическая обработка результатов проводилась с использованием программного обеспечения GraphPad ver. 8.
Результаты и обсуждение
Поскольку вирус SARS-CoV-2 инфицирует в первую очередь слизистый эпителий верхних дыхательный путей, то основная вирусная нагрузка приходится на эпителий слизистой оболочки ротоглотки.
Достоверно увеличивается в 2,7 × 103 раза экспрессия провоспалительного цитокина IL- 1β на 30-й день тяжелого течения заболевания COVID-19 относительно группы условно здоровых лиц (рис. 1). Также нами было выявлено достоверное увеличение в 6,8 × 102 раза экспрессия IL-1β на 30-й день течения заболевания COVID-19 относительно группы лиц с тяжелым течением заболевания на 15-е сутки. Так же нами было выявлено незначительное увеличение уровня экспрессии IL-1β как в дебюте заболевания, так и на 15-е сутки от начала заболевания, однако достоверных отличий от группы условно здоровых лиц выявлено не было (рис. 2).
Рисунок 1. Экспрессионный профиль цитокинов IL 1β, IL-18 на уровне слизистой оболочки ротовой полости
Примечание. А – экспрессия IL-1β на уровне слизистой оболочки ротовой полости. По оси абсцисс – время и группы. По оси ординат – относительные единицы от числа копий β-актина. p ≤ 0,05 по тесту Манна–Уитни. Б – экспрессия IL-1β на уровне слизистой оболочки ротовой полости. По оси абсцисс время и группы. По оси ординат Относительные единицы от числа копий β-актина. * – p ≤ 0,05 по тесту Манна–Уитни; ** – 0,001 < p ≤ 0,05 по тесту Манна–Уитни; *** – p < 0,001 по тесту Манна–Уитни.
Figure 1. Expression profile of cytokines IL-1β, IL-18 at the level of the oral mucosa
Note. (A) Expression of IL-1β at the level of the oral mucosa. The abscissa shows time and groups. Y-axis relative, units of the number of copies of β-actin. p ≤ 0.05 according to the Mann–Whitney test. (B) Expression of IL-1β at the level of the oral mucosa. The abscissa shows time and groups. Y-axis Relative units of number of β-actin copies. *, p ≤ 0.05 according to the Mann–Whitney test; **, 0.001 < p ≤ 0.05 according to the Mann–Whitney test; ***, p < 0.001 according to the Mann–Whitney test;
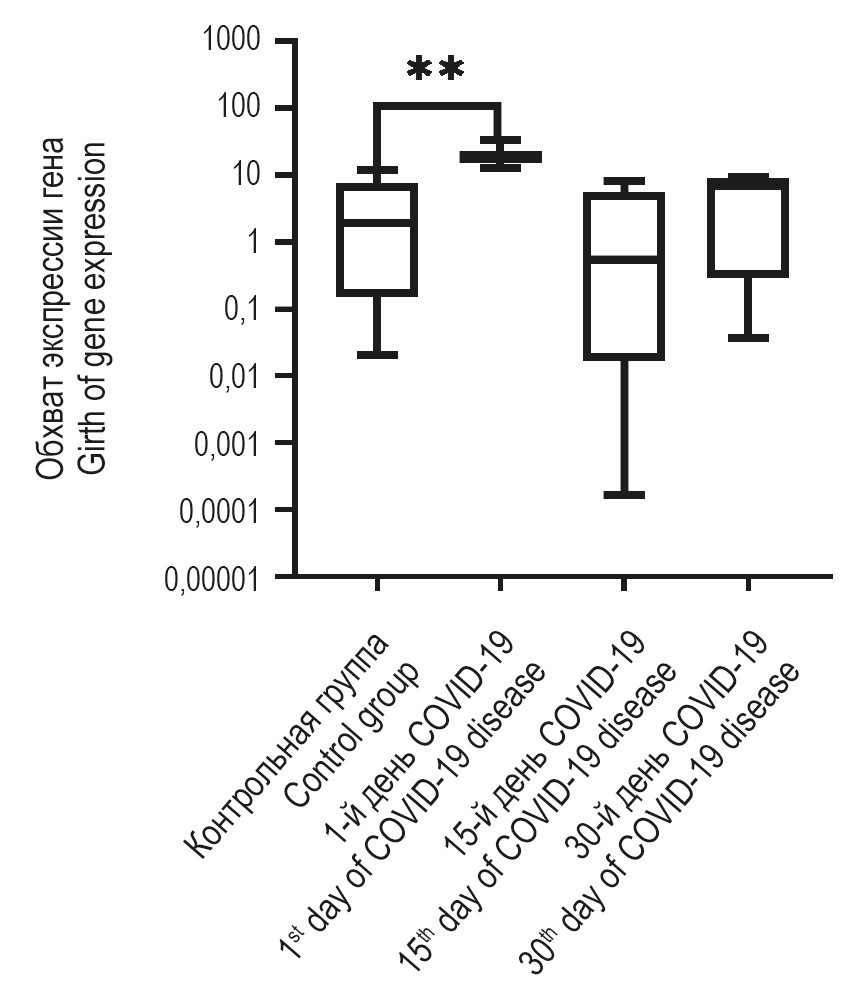
Рисунок 2. Экспрессия TNFα на уровне слизистой оболочки ротовой полости
Примечание. По оси абсцисс – время и группы. По оси ординат – относительные единицы от числа копий β-актина. ** – 0,001 < p ≤ 0,05 по тесту Манна–Уитни.
Figure 2. TNFα expression at the level of the oral mucosa.
Note. The abscissa shows time and groups. Y-axis, relative units of the number of copies of β-actin. **, 0.001 < p ≤ 0.05 according to the Mann–Whitney test.
Что касается провосполительного цитокина IL-18, то нами было выявлено достоверное снижение уровня экспрессии в 1,3 × 102 раза у лиц в дебюте заболевания COVID-19 относительно группы условно здоровых лиц (рис. 1). Также нами выявлена тенденция к увеличению уровня экспрессии в последующие дни заболевания, в частности, тенденция к увеличению уровня экспрессии на 30-е сутки относительно 15 суток от начала заболевания, однако достоверных отличий не было выявлено. Касаемо продукции нами было выявлено снижение уровня продукции IL- 18 на уровне слизистой оболочки ротоглотки в дебюте заболевания относительно контрольной группы, однако достоверных отличий не было выявлено (рис. 3).
Рисунок 3. Продукция цитокинов IL-1β, IL-18, TNFα на уровне слизистой оболочки ротовой полости
Примечание. По оси абсцисс – группы и белок. По оси ординат – концентрации (пг/мл). Серым цветом – 1-й день заболевания COVID-19. Черным цветом – контрольная группа.
Figure 3. Production of cytokines IL-1β, IL-18, TNFα at the level of the oral mucosa
Note. The abscissa shows groups and proteins. Y-axis concentration (pg/mL). Gray color, 1 day of COVID-19 disease. Black color, control group.
Касаемо TNFα нами было выявлено достоверное увеличение уровня экспрессии в 9,2 раза у пациентов в дебюте заболевания относительно контрольной группы (рис. 2). Относительно продукции TNFα на уровне слизистой оболочки ротоглотки было выявлено увеличение в 1,89 раза в начале заболевания относительно условно здоровой группы лиц (рис. 3).
Поскольку, как было сказано ранее, заболевание COVID-19 имеет двухфазное течение, основная цитокиновая нагрузка происходит в фазу, когда вирус SARS-CoV-2 почти не реплицируется, т. е. на 8-15-е сутки. Такое повышение уровня экспрессии IL-1β на 30-е сутки с момента начала заболевания может объясняться тем, что S-белок вируса индуцирует повышенную экспрессию в моноцитах человека [5], однако уровень белка при этом остается низким в особенности на 1-е сутки от начала заболевания (рис. 2). Таким образом можно сделать вывод, что вирус запускает пиропотоз, но в течение 15-30 суток от начала заболевания, когда вирусная репликация уже минимальна. Этот факт, возможно, и приводит к серьезным последствиям, таким как: полиорганная недостаточность, респираторный дистресс-синдром, а также к длительному периоду восстановления («постковидный» синдом). Сниженный уровень экспрессии и продукции провоспалительных цитокинов IL-1β, IL-18 в дебюте заболевания c последующим увеличением уровня экспрессии на 15-30-е сутки свидетельствует о гипервоспалительной реакции врожденной иммунной системы в ответ на элиминацию вируса [8] IL-6, IL-8, IL-10 и sTNFR1 (soluble tumor necrosis factor receptor 1. Касаемо уровня экспрессии и продукции TNFα, то наши данные в полной мере согласуется с литературными источниками. Qing Ye, Bili Wang в своем исследовании показали также повышенные уровни продукции TNFα и привели корреляцию с тем, что такие высокие уровни TNFα способствуют возникновению острого респираторного дистресс-синдрома [11].
Благодарности
Авторы выражают благодарность центру коллективного пользования НИИВС им И.И. Мечникова. Исследование выполнено с использованием научного оборудования центра коллективного пользования «НИИВС им. И.И. Мечникова» – при финансовой поддержке проекта Российской Федерацией в лице Министерства образования и науки России, Соглашение № 075-15-2021-676 от 28.07.2021.
Авторы выражают благодарность сотрудникам, старшему врачу-терапевту Осипцову В.Н., а также начальнику 2-го терапевтического отделения Татевосову В.Р. ФГКУЗ «Главный военный клинический госпиталь войск национальной гвардии Российской Федерации» за предоставление материала исследования
About the authors
Natalya D. Abramova
I. Mechnikov Research Institute of Vaccines and Sera
Author for correspondence.
Email: and960911@gmail.com
Junior Research Associate, Laboratory of Molecular Immunology, I. Mechnikov Research Institute of Vaccines and Sera
Russian Federation, MoscowE. A. Meremyanina
I. Mechnikov Research Institute of Vaccines and Sera; Russian Medical Academy of Continuous Professional Education
Email: ekaterina@meremianina.ru
PhD (Medicine), Research Associate, Laboratory of Molecular Immunology, I. Mechnikov Research Institute of Vaccines and Sera; Senior Lecturer, Department of Virology, Russian Medical Academy of Continuous Professional Education
Russian Federation, Moscow; MoscowN. O. Kalyuzhnaya
I. Mechnikov Research Institute of Vaccines and Sera
Email: nat_kalyuzhnaya@mail.ru
Junior Research Associate, Laboratory of Molecular Immunology, I. Mechnikov Research Institute of Vaccines and Sera
Russian Federation, MoscowA. V. Poddubikov
I. Mechnikov Research Institute of Vaccines and Sera
Email: poddubikov@yandex.ru
PhD (Biology), Head, Laboratory of Microbiology of Opportunistic Bacteria, I. Mechnikov Research Institute of Vaccines and Sera
Russian Federation, MoscowM. P. Kostinov
I. Mechnikov Research Institute of Vaccines and Sera; I. Sechenov First Moscow State Medical University (Sechenov University)
Email: monolit.96@mail.ru
PhD, MD (Medicine), Professor, Corresponding Member, Russian Academy of Sciences, Head, Laboratory of Vaccination and Immunotherapy of Allergic Diseases, I. Mechnikov Research Institute of Vaccines and Sera; Professor, Department of Epidemiology and Modern Technologies of Vaccination, I. Sechenov First Moscow State Medical University (Sechenov University)
Russian Federation, Moscow; MoscowV. V. Grechenko
N. Pirogov Russian National Research Medical University
Email: grechenko_v@mail.ru
PhD (Medicine), Associate Professor, Department of Immunology, N. Pirogov Russian National Research Medical University
Russian Federation, MoscowO. A. Svitich
I. Mechnikov Research Institute of Vaccines and Sera; I. Sechenov First Moscow State Medical University (Sechenov University)
Email: svitichoa@yandex.ru
PhD, MD (Medicine), Professor, Corresponding Member, Russian Academy of Sciences, Director, I. Mechnikov Research Institute of Vaccines and Sera; Professor, Department of Microbiology, Virology and Immunology, I. Sechenov First Moscow State Medical University (Sechenov University)
Russian Federation, Moscow; MoscowReferences
- Василевский И.В. Роль цитокинов при инфекции SARS-CoV-2 и пути блокады цитокинового шторма // Здравоохранение, 2022. № 3. С. 31-41. [Vasilevsky I.V. The role of cytokines in SARS-CoV-2 infection and the cytokine storm blockade. Zdravookhraneniye = Healthcare, 2022, no. 3, pp. 31-41. (In Russ.)]
- Carty M., Guy C., Bowie A.G. Detection of viral infections by innate immunity. Biochem. Pharmacol., 2021, Vol. 183, 114316. doi: 10.1016/j.bcp.2020.114316.
- Channappanavar R., Fehr A.R., Vijay R., Mack M., Zhao J., Meyerholz D.K., Perlman S. Dysregulated type I interferon and inflammatory monocyte-macrophage responses cause lethal pneumonia in SARS-CoV-infected mice. Cell Host Microbe, 2016, Vol. 19, no 2, pp. 181-193.
- Davidson S., Maini M.K., Wack A. Disease-promoting effects of type I interferons in viral, bacterial, and coinfections. Interferon Cytokine Res.,, 2015, Vol. 35, no. 4, pp. 252-264.
- Hirano T., Murakami M. COVID-19: A new virus, but a familiar receptor and cytokine release syndrome. Immunity, 2020, Vol. 52, no 5, pp. 731-733.
- Hu B., Guo H., Zhou P., Shi Z.-L. Characteristics of SARS-CoV-2 and COVID-19. Nat. Rev. Microbiol., 2021, Vol. 19, no 3, pp. 141-154.
- Maini R.N., Elliott M.J., Brennan F.M., Feldmann M. Beneficial effects of tumour necrosis factor-alpha (TNF-alpha) blockade in rheumatoid arthritis (RA). Clin. Exp. Immunol., 1995, Vol. 101, no. 2, pp. 207-212.
- McElvaney O.J., McEvoy N.L., McElvaney O.F., Carroll T.P., Murphy M.P., Dunlea D.M., Ní Choileáin O., Clarke J., O’Connor E., Hogan G., Ryan D., Sulaiman I., Gunaratnam C., Branagan P., O’Brien M.E., Morgan R.K., Costello R.W., Hurley K., Walsh S., de Barra E., McNally C., McConkey S., Boland F., Galvin S., Kiernan F., O’Rourke J., Dwyer R., Power M., Geoghegan P., Larkin C., O’Leary R.A., Freeman J., Gaffney A., Marsh B., Curley G.F., McElvaney N.G. Characterization of the inflammatory response to severe COVID-19 illness. Am. J. Respir. Crit. Care Med., 2020, Vol. 202, no 6, pp. 812-821.
- Pantazi I., Al-Qahtani A.A., Alhamlan F.S., Alothaid H., Matou-Nasri S., Sourvinos G., Vergadi E., Tsatsanis C. SARS-CoV-2/ACE2 Interaction suppresses IRAK-M expression and promotes pro-inflammatory cytokine production in macrophages. Front. Immunol., 2021, Vol. 12, 683800. doi: 10.3389/fimmu.2021.683800.
- Wiersinga W.J., Rhodes A., Cheng A.C., Peacock S.J., Prescott H.C. Pathophysiology, transmission, diagnosis, and treatment of coronavirus disease 2019 (COVID-19): A Review. JAMA, 2020, Vol. 324, no. 8, pp. 782-793.
- Ye Q., Wang B., Mao J. The pathogenesis and treatment of the ‘Cytokine Storm’ in COVID-19. J. Infect., 2020, Vol. 80, no 6, pp. 607-613.
Supplementary files






