Cytotoxic T cell subsets in peripheral blood and cerebrospinal fluid from patients with multiple sclerosis
- Authors: Serebriakova M.K.1, Ilves A.G.2, Lebedev V.M.2, Novoselova O.M.2, Prakhova L.N.2, Kudryavtsev I.V.1,3,4
-
Affiliations:
- Institute of Experimental Medicine
- N. Bechtereva Institute of Human Brain
- Far Eastern Federal University
- First St. Petersburg State I. Pavlov Medical University
- Issue: Vol 26, No 2 (2023)
- Pages: 149-160
- Section: ORIGINAL ARTICLES
- Submitted: 25.01.2023
- Accepted: 27.05.2023
- Published: 07.07.2023
- URL: https://rusimmun.ru/jour/article/view/1533
- DOI: https://doi.org/10.46235/1028-7221-1533-CTC
- ID: 1533
Cite item
Full Text
Abstract
Using multicolor flow cytometry, the main cytotoxic T lymphocytes (Tcyt) subsets were identified, based on the expression of CD45RA and CD62L in paired samples of peripheral blood and cerebrospinal fluid from the patients during the relapse (n = 32) and remission (n = 20) of multiple sclerosis (MS), as well as in the peripheral blood samples of healthy volunteers (n = 51). During the relapse of MS, we have observed a decreased relative number of CD3+CD4+ cells and CD4/CD8 ratio in cerebrospinal liquor. In peripheral blood taken from the relapsed MS patients, we have found significant correlations between EDSS score and absolute counts (r = -0,430, p = 0.014), and with relative numbers of CD45RA+CD62L+Tcyt (r = -0,502, p = 0.003). In remission state of MS, the relative numbers of blood CD45RA-CD62L-Tcyt cells exhibited a significant decrease (p = 0.005) to 8.70% (6.51-11.63) against control group with 12.18% (10.38-15.24), although it did not significantly differ (p = 0.114) from the relapsed patients with 11.31% (8.28-13.90). Studies of liquor samples have shown that, during MS relapse, the percentage of CD45RA-CD62L-Tcyt was increased (p = 0.027) up to 8.16% (6.40-11.40), while in remission state these cells comprised only 6.49% (4.51-8.39) from the total CD3+ cell number. During relapse of MS, some positive correlations were revealed between the relative number of “naïve”, CM, EM and TEMRA Tcyt from liquor, and the percentages, as well as contents of similar T cell subsets in peripheral blood samples. The inverse relationship between the level of EM Tcyt from liquor and peripheral blood “naive” cells showed the close relationship between these two Tcyt subsets and clinical manifestations of MS (i.e., scores of EDSS scale). During the remission period, most of these correlations are disrupted. Further investigations of cytotoxic T cells dynamics in peripheral blood and cerebrospinal fluid will help to approach the understanding of MS pathogenesis by revealing novel markers for the clinical prognosis in this disorder.
Full Text
Работа выполнена в рамках плановой темы НИР ФГБНУ «Институт экспериментальной медицины» FGWG-2022-0005 (рег. № 122020300186-5).
Введение
Рассеянный склероз – нейродегенеративное заболевание, при котором в организме пациента обнаруживаются аутореактивные Т-хелперы, которые способны мигрировать в нервную ткань через гемато-энцефалический барьер. На сегодняшний день рассматривается также вопрос об участии цитотоксических Т-лимфоцитов (Тцит) в развитии данного заболевания. Многочисленные исследования функциональных особенностей Тцит показали, что эти клетки, подобно Т-хелперам 17, способны продуцировать широкий спектр провоспалительных цитокинов, влияющих на проницаемость гемато-энцефалического барьера, что делает его проницаемым для иммунных клеток, циркулирующих в периферической крови [28]. С использованием молекулярно-биологических методов было показано, что у больных РС в периферической крови, спинно-мозговой жидкости (СМЖ) и в участках поражения нервной ткани обнаруживались CD3+CD8+ лимфоциты всего лишь нескольких клонов, выявленных на основании анализа последовательности CDR3 участка Т-клеточного рецептора (ТcR) [26]. Более того, такая узко специфическая олигоклональность клеток была характерна только для цитотоксических Т-лимфоцитов, тогда как популяция Т-хелперов во всех исследованных тканях была весьма гетерогенна с точки зрения строения TcR. Эти результаты подтверждаются тем, что большинство клонов CD3+CD8+ клеток, обнаруживаемых в составе очагов поражения нервной системы, обычно представлены на значительном уровне и в периферической крови больных [22].
Другим важнейшим фактором, свидетельствующим о существенной роли цитотоксических Т-лимфоцитов в патогенезе РС, являются результаты генетических исследований, указывающих на значимость некоторых аллельных форм молекул главного комплекса гистосовместимости I класса, распознавание которых связано с функциональной активностью именно CD3+CD8+ клеток. Показано, что вероятность развития РС резко возрастала при наличии у пациентов аллели HLA-A*0301, тогда как присутствие в геноме аллели HLA-A*0201 существенно снижала риски развития данной патологии [11]. Анализ гистохимического строения зон поражения нервной ткани выявил, что в составе периваскулярных лимфатических скоплений, встречающихся по периферии активных демиелинизирующих бляшек, относительное содержание CD8+Т-лимфоцитов в пятьдесят и более раз превосходит содержание Т-хелперов [12]. Хотя в настоящее время чаще указывается, что соотношение CD8/CD4 в рамках очагов оставляет в среднем 10:1 [18]. В зонах воспаления с демиелинизированными нервными волокнами отмечается накопление зрелых эффекторных CD8+Т-клеток, несущих в своей цитоплазме гранулы с гранзимом В, способным вызывать апоптоз в клетках-мишенях [18]. Накопление CD3+CD8+ лимфоцитов в составе очагов поражения нервной ткани тесно связано с уровнем демиелинизации поврежденных аксонов [7].
Направленная миграция в нервную ткань обеспечивается наличием на поверхности лимфоцитов набора молекул-адрессинов и при этом отсутствием молекул «хоуминга» в лимфоидную ткань. Такое сочетание характерно для прошедших антиген-зависимую дифференцировку зрелых Т-клеток с эффекторным потенциалом. Цитотоксические Т-лимфоциты, обладающие комплексом описанных свойств, способны синтезировать эффекторные цитокины и разрушать клетки-мишени за счет секреции перфоринов и гранзимов, что позволяет рассматривать их в качестве ключевых игроков в патогенезе РС и других заболеваний. В связи с вышеизложенным целью данного исследования стал анализ субпопуляционного состава и поиск взаимосвязей между разными субпопуляциями Тцит в периферической крови и СМЖ пациентов с РС на стадии обострения и в ремиссии.
Материалы и методы
Исследования проводили на образцах венозной крови и спинно-мозговой жидкости 52 пациентов с рецидивирующе-ремиттирующей формой рассеянного склероза, диагностированного на основании критериев МакДональда [2]. Для сравнения использовали образцы периферической крови 51 условно здорового добровольца. Общий пул пациентов разделялся на две группы: 20 больных находились в ремиссии, а у 32 наблюдалось клиническое обострение, проявляющееся в появлении новой или усугублении имеющейся очаговой неврологической симптоматики, сохранявшейся не менее 48 часов при отсутствии лихорадки и других возможных причин псевдообострения. Все группы имели сходный половой и возрастной состав.
Пациенты никогда не проходили лечение препаратами, изменяющими течение РС, а также не получали системные кортикостероидные препараты на протяжении трех месяцев, предшествующих исследованию. Для всех больных производилась бальная оценка степени поражения функциональных систем, и рассчитывался балл по расширенной шкале инвалидизации EDSS [16]. При определении обострения не учитывались результаты магнитно-резонансно томографического исследования.
Все пациенты с рассеянным склерозом подписывали информированное согласие на участие в исследованиях в соответствии с Хельсинкской декларацией Всемирной ассоциации «Этические принципы проведения научных медицинских исследований с участием человека» с поправками 2000 г. и «Правилами клинической практики в Российской Федерации», утвержденными Приказом Минздрава РФ от 19.06.2003 г. № 266. Исследование одобрено Комиссией по этике ФГБУН «Институт мозга человека им. Н.П. Бехтеревой» РАН 23 октября 2014 года.
Образцы крови получали пункцией периферической вены, а СМЖ – люмбальной пункцией. Забор образцов производился в вакуумные пробирки с K3ЭДТА. Анализ проводился в тот же день. При подготовке образцов учитывали рекомендации производителей реагентов. Окраска образцов производилась моноклональными антителами, конъюгированными с флуорохромами, производства Beckman Coulter, США. Для образцов крови использовали следующую комбинацию: CD62L-ECD (cat. N IM2713U), CD3-АРС (cat. N IM2467), CD8-АРС-AF700 (cat. N A66332), CD45RA-АРС-AF750 (cat. N A86050), CD4-PacBlue (cat. N A82789) и CD45-Krome Orange (cat. N A96416). Для лизиса эритроцитов применяли безотмывочную технологию на базе раствора VersaLyse (cat. N A09777, Beckman Coulter, США) с добавлением IOTest 3 Fixative Solution (cat. N A07800, Beckman Coulter, США) в соотношении 975:25 мкл. Комбинация антител для образцов СМЖ: CD45RА-FITC (cat. N 6603117), CD56-РЕ (cat. N A07788), CD62L-ECD (cat. N IM2713U), CD8-PC5.5 (cat. N B21205), CD4-РС7 (cat. N 737660), CD3-АРС (cat. N IM2467), CD45-KrO (cat. N A96416).
Пробоподготовка СМЖ включала в себя отмывку избытком забуференного фосфатами физиологического раствора (ЗФР) с рН 7,2-7,4 (центрифугирование при 330 g 7 минут) непосредственно после забора образца, с последующей окраской антителами в течении 15 минут. После окраски к суспензии клеток добавляли 200 мкл 2%-ного раствора нейтрального параформальдегида (cat. N HT5011, Sigma-Aldrich, США) в ЗФР и сразу же проводили анализ на проточном цитофлюориметре Navios™ (Beckman Coulter, США).
Алгоритм выделения основных популяций CD8+Т-лимфоцитов периферической крови был подробно описан в 2015 году в работе [2], а анализ образцов СМЖ проводили с использованием тактики «гейтирования», приведенной на рисунке 1. Стадии дифференцировки Тцит и соответствующие им субпопуляции выделялись на основании уровня экспрессии CD45RA и CD62L. Доля каждой субпопуляции определялась в рамках общей популяции CD3+Т-лимфоцитов.
Примечание. Слева направо: гистограммы а: по оси абсцисс – интегральный сигнал прямого светорассеяния; по оси ординат – пиковый сигнал прямого светорассеяния; в области «sgl cells» находятся не слипшиеся лимфоциты, на гистограмме отображены все проанализированные клетки. Гистограммы б: по оси абсцисс – уровень экспрессии CD45; по оси ординат – боковое светорассеяние (SS), характеризующее структуру цитоплазмы клеток; в области «CD45+++» находятся клетки с высокой экспрессией CD45 и низкими значениями бокового светорассеяния, показаны только одиночные клетки из гистограммы а. Гистограммы в: по оси абсцисс – боковое светорассеяние (SS); по оси ординат – прямое светорассеяние (FS), характеризующее размер клеток; в области «LY» находятся клетки соответствующие по своим размерам и структуре популяции лимфоцитов периферической крови. Гистограммы г: по оси абсцисс – уровень экспрессии CD3, по оси ординат – количество проанализированных клеток; а области «CD3+» находятся Т-лимфоциты. Гистограммы д: по оси абсцисс – уровень экспрессии CD8, по оси ординат – уровень экспрессии CD4; в области «Tcyt» располагаются цитотоксчиеских Т-лимфоциты с фенотипом CD3+CD8+. Гистограммы е: по оси абсцисс – уровень экспрессии CD62L, по оси ординат – уровень экспрессии CD45RA; в областях «naïve», «СМ», «ЕМ» и «TEMRA» располагаются «наивные», клетки центральной и эффекторной памяти, а также «терминально-дифференцированные» CD45RA-позитивные цитотоксические Т-лимфоциты соответственно.
Figure 1. Gating strategy of flow cytometric analysis of main peripheral blood (upper row of histograms) and liquor (lower row of histograms) CD8+ T cell subsets
Note. From left to right: Histograms a: along the х-axis – the integral signal of forward light scattering; along the y-axis, the peak forward scatter signal; in the “sgl cells” area there are non-agglutinated lymphocytes, the histogram shows all the analyzed cells. Histograms б: x-axis – CD45 expression level; along the y-axis – side scattering (SS), which characterizes the structure of the cell cytoplasm; in the “CD45+++” region there are cells with high expression of CD45 and low values of side scatter, only single cells from histogram a are shown. Histograms в: along the abscissa axis – side light scattering (SS); along the y-axis – forward scattering (FS), which characterizes the cell size; in the “LY” area there are cells corresponding in size and structure to the population of peripheral blood lymphocytes. Histograms г: on the x-axis there is CD3 expression level; on the y-axis – number of analyzed cells; and “CD3+” areas are T lymphocytes. Histograms д: x-axis – CD8 expression level; y-axis – CD4 expression level; in the area of “Tcyt” are cytotoxic T lymphocytes with the phenotype CD3+CD8+. Histograms e: abscissa – CD62L expression level; ordinate – CD45RA expression level; the naïve, CM, EM, and TEMRA regions contain naïve, central and effector memory cells, as well as terminally differentiated CD45RA-positive cytotoxic T lymphocytes, respectively.
Полученные с цитофлуориметра данные обрабатывали при помощи программного обеспечения Navios Software v.1.2 и Kaluza™ v.1.2 (Beckman Coulter, США). Статистическую обработку осуществляли с использованием ПО Statistica 8.0 (StatSoft, США) и GraphPad Prism 4.00 for Windows (GraphPad Prism Software Inc., США). Результаты приводили в виде медианы (Ме) и интерквартильного размаха (Q0,25-Q0,75). Сравнение относительного содержания субпопуляций проводили при помощи критерия Вилкоксона для парных выборок, а корреляционный анализ – с использованием коэффициента ранговой корреляции r Спирмена.
Результаты
Популяционный состав лимфоцитов периферической крови оценивался нами ранее, результаты приведены в работе [3]. Наблюдается достоверное уменьшение концентрации и доли Т-лимфоцитов у пациентов в период обострения. На стадии ремиссии абсолютное и относительное число Тцит ниже, чем в контроле.
Популяционный состав лимфоцитов спинномозговой жидкости
Лимфоциты, выявлявшиеся в составе СМЖ больных РС, были представлены в основном Т-клетками с фенотипом CD3+, относительное содержание которых в период ремиссии находилось в пределах 94,56% (91,89-95,70), тогда как на фоне обострения составляло 93,71% (91,64-95,32). В период обострения отмечена обратная зависимость между уровнем этих клеток в СМЖ и баллом по шкале EDSS (r = -0,504 при р < 0,001). Анализ основных популяций CD3+ лимфоцитов СМЖ показал, что при обострении РС наблюдается снижение относительного содержания CD3+CD4+ лимфоцитов до 64,16% (55,41-68,91) при сравнении с образцами от пациентов в период ремиссии (70,67% (63,82-72,41) при р = 0,016). Уровень цитотоксических Т-клеток при обострении незначительно увеличивался (23,81% (19,33-28,43) против 19,09% (16,77-23,06) при р = 0,100).
Субпопуляционный состав цитотоксических Т-лимфоцитов периферической крови
При сравнении разных субпопуляций Тцит в периферической крови больных РС с группой контроля основные изменения касались исключительно популяции ЕМ. Так, при ремиссии РС относительное содержание ЕМ Тцит снижалось до 8,70% (6,51-11,63), что было достоверно (р = 0,005) ниже значений контрольной группы – 12,18% (10,38-15,24), хотя и не отличалось (р = 0,114) от больных в период обострения – 11,31% (8,28-13,90). Исследование содержания Тцит с фенотипом CD45RA-CD62L- периферической крови показало, что абсолютное число таких клеток как при обострении (118 (80-184) кл/ мкл), так и на фоне ремиссии (104 (85-142) кл/ мкл), значительно ниже (р = 0,017 и р = 0,003, соответственно) контрольных значений (166 (124-213) кл/мкл).
Субпопуляционный состав цитотоксических Т-лимфоцитов СМЖ
Анализ образцов СМЖ выявил, что при рецидиве РС имеет место увеличение (р = 0,027) уровня ЕМ Тцит до 8,16% (6,40-11,40), тогда как в период ремиссии лимфоциты данной популяции составляли 6,49% (4,51-8,39) от общего числа CD3+ клеток СМЖ. Кроме того, именно у больных с обострением РС наблюдалась положительная корреляционная связь между увеличением доли этих клеток в СМЖ и баллом EDSS (r = 0,366 при р = 0,047), чего не было отмечено для больных в период ремиссии (r = 0,018 при р = 0,945). Таким образом, при рецидиве РС наблюдается увеличение уровня ЕМ Тцит в СМЖ при сравнении с показателями периферической крови, а также СМЖ больных в период ремиссии.
Взаимосвязь между разными субпопуляциями Тцит различной локализации
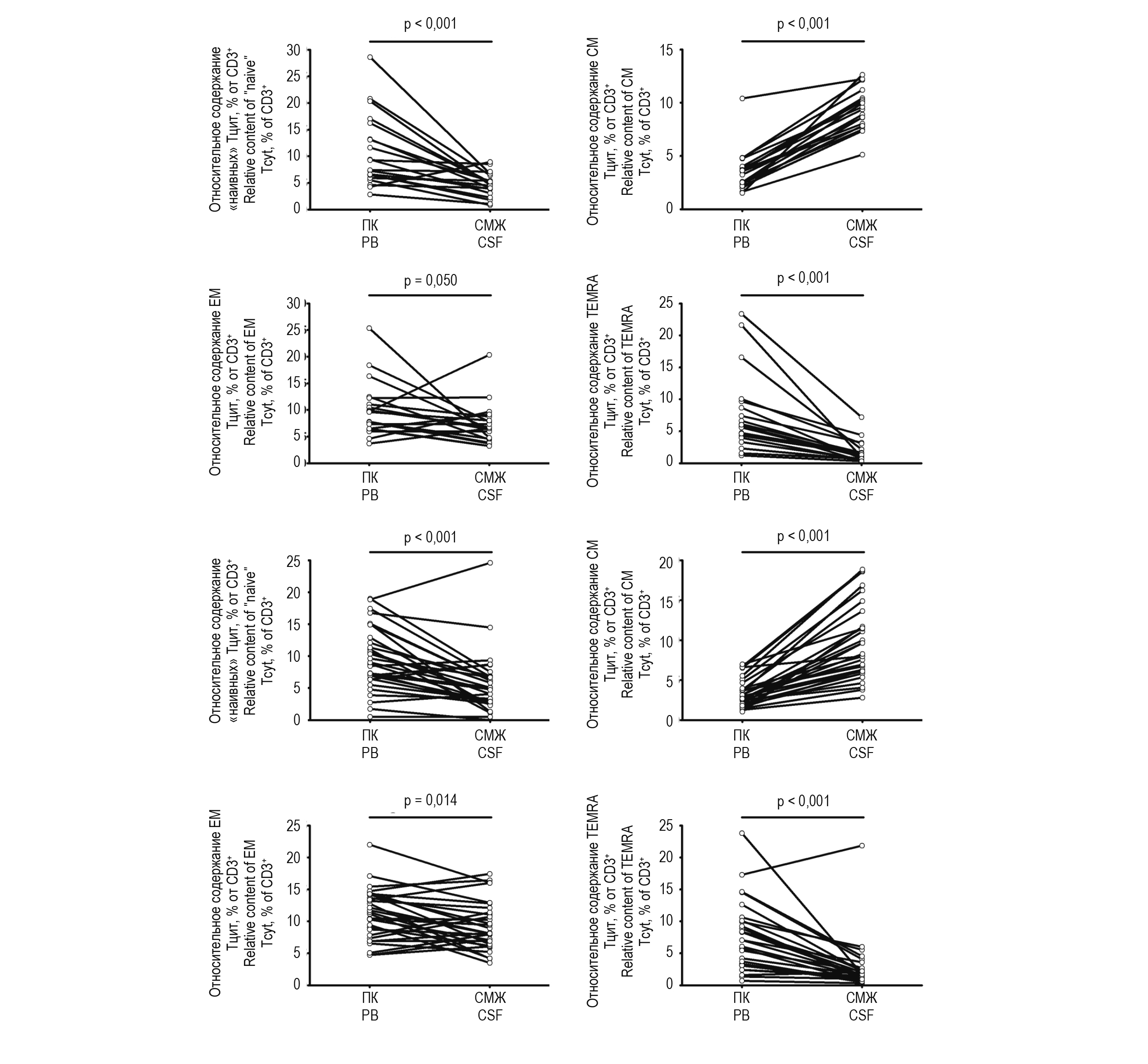
Как видно из рисунка 2, снижение уровня «наивных» Тцит в периферической крови сопровождалось уменьшением данной популяции клеток в составе СМЖ больных РС как в период обострения, так и в период ремиссии. Вне зависимости от стадии заболевания в периферической крови содержание «наивных» клеток всегда превосходило показатели СМЖ. Более того, при анализе образцов периферической крови, полученных от больных РС в период обострения, были выявлены обратные зависимости между баллами шкалы EDSS и абсолютным (r = -0,430 при р = 0,014) и относительным (r = -0,502 при р = 0,003) содержанием CD45RA+CD62L+Тцит. Клетки центральной памяти в образцах СМЖ превосходили значения, полученные для периферической крови. Увеличение относительного содержания CD45RA-CD62L-Тцит в периферической крови сопровождалось их изменением в СМЖ (р = 0,014), тогда как на стадии ремиссии подобной динамики не отмечалось.
Рисунок 2. Анализ относительного содержания различных популяций цитотоксических Т-лимфоцитов в периферической крови и спинно-мозговой жидкости больных рассеянным склерозом в период ремиссии (верхний ряд) и обострения (нижний ряд)
Примечание. ПК – относительное содержание клеток в периферической крови; СМЖ – относительное содержание клеток в спинно-мозговой жидкости. Результаты приведены в виде % клеток каждой из популяций Тцит в рамках общей популяции CD3+ клеток. Статистическая значимость зависимости между выборками оценивали при помощи парного теста Вилкоксона.
Figure 2. Frequencies of main maturation CD8+T cell subsets in peripheral blood and liquor from patients with multiply sclerosis during relapse (n = 32, upper row) and remission (n = 20, lower row) periods of disease
Note. PB and CSF represents the relative numbers (% of CD8+T cell subsets within total CD3+T cell population) of main maturation subsets of CD8+T cell in peripheral blood and liquor, respectively. Significant differences were determined by the Wilcoxon matched pairs test.
Результаты корреляционного анализа субпопуляционного состава Тцит периферической крови и СМЖ приведенны для больных в период обострения в таблице 1, а для больных в период ремиссии – в таблице 2.
ТАБЛИЦА 1. ВЗАИМОСВЯЗЬ МЕЖДУ ОТНОСИТЕЛЬНЫМ (% ОТ CD3+ КЛЕТОК) И АБСОЛЮТНЫМ (#, КОЛ-ВО КЛЕТОК В 1 мкл) СОДЕРЖАНИЕМ СУБПОПУЛЯЦИЙ ЦИТОТОКСИЧЕСКИХ T-ЛИМФОЦИТОВ ПЕPИФЕPИЧЕСКОЙ КPОВИ И АНАЛОГИЧНЫМИ ПОПУЛЯЦИЯМИ CD3+CD8+ КЛЕТОК СПИННО-МОЗГОВОЙ ЖИДКОСТИ У БОЛЬНЫХ РС В ПЕРИОД ОБОСТРЕНИЯ (n = 32)
TABLE 1. CORRELATION BETWEEN RELATIVE (% OF CD3+ CELLS) AND ABSOLUTE (#, NUMBER OF CELLS PER 1 µL) CONTENT OF SUBPOPULATIONS OF CYTOTOXIC T LYMPHOCYTES IN PERIPHERAL BLOOD AND SIMILAR POPULATIONS OF CD3+CD8+ CELLS IN CEREBROSPINAL FLUID IN MS PATIENTS DURING EXACERBATION (n = 32)
«Наивные» Тцит Naïve Tcyt | CM Тцит CM Tcyt | EM Тцит EM Tcyt | TEMRA Тцит TEMRA Tcyt | ||||||
% | # | % | # | % | # | % | # | ||
«Наивные» Тцит, % Naïve Tcyt, % | r | 0,456 | 0,554 | 0,370 | 0,441 | -0,078 | 0,237 | 0,361 | 0,417 |
p | 0,011 | 0,001 | 0,044 | 0,015 | 0,683 | 0,207 | 0,050 | 0,022 | |
CM Тцит, % CM Tcyt, % | r | 0,248 | 0,375 | 0,627 | 0,645 | 0,315 | 0,551 | -0,184 | 0,000 |
p | 0,187 | 0,041 | < 0,001 | < 0,001 | 0,090 | 0,002 | 0,330 | 1,000 | |
EM Тцит, % EM Tcyt, % | r | -0,498 | -0,524 | 0,033 | -0,095 | 0,566 | 0,261 | -0,226 | -0,283 |
p | 0,005 | 0,003 | 0,864 | 0,618 | 0,001 | 0,164 | 0,229 | 0,129 | |
TEMRA Тцит, % TEMRA Tcyt,% | r | -0,071 | 0,045 | -0,027 | 0,081 | 0,030 | 0,265 | 0,671 | 0,664 |
p | 0,711 | 0,813 | 0,886 | 0,670 | 0,875 | 0,158 | < 0,001 | < 0,001 | |
Примечание. По горизонтали указаны популяции Тцит, содержащиеся в периферической крови, по вертикали – популяции Тцит, содержащиеся в СМЖ; жирным шрифтом выделены доcтовеpные корpеляционные зависимости в соответствии с коэффициентом pанговой корpеляции r Cпирмена.
Note. Horizontally indicates populations of Tcyt contained in peripheral blood, vertically – populations of Tcyt contained in CSF; bold type indicates reliable correlation dependences in accordance with the Spearman’s rank correlation coefficient r.
ТАБЛИЦА 2. ВЗАИМОСВЯЗЬ МЕЖДУ ОТНОСИТЕЛЬНЫМ (% ОТ CD3+ КЛЕТОК) И АБСОЛЮТНЫМ (#, КОЛ-ВО КЛЕТОК В 1 мкл) СОДЕРЖАНИЕМ СУБПОПУЛЯЦИЙ ЦИТОТОКСИЧЕСКИХ T-ЛИМФОЦИТОВ ПЕPИФЕPИЧЕСКОЙ КPОВИ И АНАЛОГИЧНЫМИ ПОПУЛЯЦИЯМИ CD3+CD8+ КЛЕТОК СПИННО-МОЗГОВОЙ ЖИДКОСТИ У БОЛЬНЫХ РС В ПЕРИОД РЕМИССИИ (n = 20)
TABLE 2. CORRELATION BETWEEN RELATIVE (% OF CD3+ CELLS) AND ABSOLUTE (#, NUMBER OF CELLS PER 1 µL) NUMBER OF SUBPOPULATIONS OF CYTOTOXIC T LYMPHOCYTES IN PERIPHERAL BLOOD AND SIMILAR POPULATIONS OF CD3+CD8+ CELLS IN CEREBROSPINAL FLUID IN MS PATIENTS DURING REMISSION (n = 20)
«Наивные» Тцит Naïve Tcyt | CM Тцит CM Tcyt | EM Тцит EM Tcyt | TEMRA Тцит TEMRA Tcyt | ||||||
% | # | % | # | % | # | % | # | ||
«Наивные» Тцит, % Naïve Tcyt, % | r | 0,380 | 0,463 | -0,078 | 0,120 | -0,126 | -0,071 | 0,244 | 0,349 |
p | 0,098 | 0,040 | 0,743 | 0,613 | 0,596 | 0,767 | 0,301 | 0,132 | |
CM Тцит, % CM Tcyt, % | r | -0,056 | 0,053 | 0,529 | 0,477 | 0,039 | 0,119 | 0,212 | 0,153 |
p | 0,816 | 0,826 | 0,016 | 0,034 | 0,870 | 0,618 | 0,369 | 0,519 | |
EM Тцит, % EM Tcyt, % | r | -0,140 | -0,250 | -0,194 | -0,328 | 0,110 | -0,107 | 0,340 | 0,155 |
p | 0,556 | 0,289 | 0,413 | 0,158 | 0,645 | 0,654 | 0,143 | 0,514 | |
TEMRA Тцит, % TEMRA Tcyt,% | r | 0,206 | 0,053 | 0,051 | -0,232 | -0,235 | -0,515 | 0,662 | 0,350 |
p | 0,383 | 0,823 | 0,830 | 0,324 | 0,319 | 0,020 | 0,001 | 0,131 | |
Примечание. См. примечание к таблице 1.
Note. As for table 1.
Обсуждение
Ранее мы уже публиковали данные о том, что при обострении РС в периферической крови снижается общее количество и доля CD3+ лимфоцитов по сравнению со здоровыми добровольцами и пациентами в ремиссии. В то время как в стадии ремиссии наблюдается достоверное уменьшение абсолютного и относительного числа цитотоксических Т-лимфоцитов по сравнению с контролем [3]. Кроме того наблюдалась обратная взаимосвязь доли Тцит в популяции лимфоцитов и балла EDSS. Сходные изменения были отмечены и другими группами исследователей. Так, у больных РС в периферической крови повышалось соотношение CD4/CD8 лимфоцитов, главным образом, за счет снижения относительного содержание цитотоксических Т-лимфоцитов [9]. Данное обстоятельство было связано с уменьшением в циркуляции уровня CD28-CD8+ лимфоцитов, тогда как относительное содержание CD28+CD8+ клеток достоверно не различалось между сравниваемыми группами. В рамках другого исследования также отмечено снижение общего пула циркулирующих CD3+CD8+ лимфоцитов за счет уменьшения уровней клеток эффекторной памяти (ЕМ) и эффекторных клеток (TEMRA) в периферической крови [23].
В СМЖ больных РС большая часть лимфоцитов была представлена Т-клетками. При этом наблюдалось незначительное увеличение Тцит при обострении, что в сочетании с достоверным снижением процента CD4+Т-лимфоцитов приводило к отмеченному нами ранее значимому уменьшению соотношения CD4/CD8-лимфоцитов [4]. Данные литературы также указывают на то, что основным типом циркулирующих лимфоцитов в СМЖ являются Т-клетки, составляющие по некоторым оценкам около 97% [27] или 95% [13] от общего числа лимфоцитов. Причем подавляющее большинство клеток являются Т-хелперами, на которых приходится около 70% [10] или 67% [13] лимфоцитов. При РС ранее отмечалось увеличение относительного содержания Т-хелперов в СМЖ при сравнении с условно здоровыми добровольцами [25]. Более того, сравнение различных нейровоспалительных заболеваний выявило, что увеличение соотношения CD4+/CD8+ характерно именно для РС [20], тогда как результаты собственных исследований указывают на то, что данный показатель значимо изменяется в периоды ремиссии и обострения РС.
Клетки центральной памяти в образцах СМЖ превосходили значения, полученные для периферической крови, что подтверждается данными других исследователей [19]. Считается, что именно на этой стадии дифференцировки Т-лимфоциты способны направленно мигрировать в нервную ткань за счет взаимодействия поверхностного Р-селектина с ICAM-1 венул хориоидального сплетения и субарахноидального пространства [15]. В рамках другого исследования было показано, что именно цитотоксические Т-лимфоциты больных с активным рецидивирующим РС несли на своей поверхности высокий уровень PSGL-1 при сравнении с аналогичной популяцией Т-лимфоцитов периферической крови условно здоровых доноров. Более того, именно CD3+CD8+ клетки обладали повышенной по сравнению с Т-хелперами способностью к миграции через активированные венулы мозговых оболочек в условиях in vitro [5].
Следует также отметить, что при сравнении разных субпопуляций Тцит в периферической крови больных РС с группой контроля основные изменения касались исключительно популяции ЕМ. Принципиальным отличием ЕМ клеток от центральной памяти (СМ) является выраженная способность к продукции эффекторных цитокинов и проявлению цитолитической активности в отношении клеток-мишеней [1]. Более того, именно на этой популяции клеток возрастает экспрессия молекул «хоуминга» в воспаленные ткани. Так, значительная часть цитотоксических Т-лимфоцитов, обнаруживаемых в составе нервной ткани, не экспрессировали CCR7 и CD62L, но несли на своей поверхности á4-интегрин [14]. Ключевую роль в селективном проникновение клеток эффекторной памяти в пределы ЦНС играли эндотелиальные клетки сосудов гематоэнцефалического барьера, причем привлекались именно CD3+CD8+ лимфоциты, способные к синтезу и секреции IFNã и IL-17. Другой важнейшей молекулой, определяющей миграцию CD3+CD8+ лимфоцитов периферической крови в пределы нервной ткани, является MCAM [17]. Уровень MCAM+ цитотоксических Т-лимфоцитов, способных синтезировать провоспалительные цитокины: IL-17, IFNã, GM-CSF и TNF, а также индуцировать апоптоз олигодендроцитов в условиях in vitro, у больных РС повышался во время рецидива заболевания.
Отдельно следует остановиться на результатах корреляционного анализа субпопуляционного состава Тцит периферической крови и СМЖ. Как видно из приведенных результатов, при обострении РС, как правило, наблюдается положительная взаимосвязь между относительным содержанием отдельных субпопуляций Тцит в СМЖ и процентным содержанием, а также концентрацией аналогичных популяций Т-лимфоцитов в периферической крови. Обратная зависимость между уровнем ЕМ Тцит, циркулирующими в СМЖ, и «наивными» клетками периферической крови может объясняться тесной связью между этими двумя популяциями Тцит и клиническими проявлениями РС (в баллах по шкале EDSS), как это было обнаружено нами.
По-видимому, обострение РС, ассоциированное с нарушением целостности гемато-энцефалического барьера и сопровождающееся направленной миграцией Т-клеток из периферических лимфоидных органов в нервную ткань, сопровождается сонаправленными изменениями субпопуляционного состава Тцит периферической крови и СМЖ (табл. 1). Последнее обстоятельство требует дальнейших детальных исследований, так как поможет определить роль цитотоксических Т-клеток в патогенезе РС. С одной стороны, Тцит за счет продукции провоспалительных цитокинов (в первую очередь, IL-17) и запуска апоптоза в клетках нервной ткани способствуют развитию данной патологии. Увеличение относительного содержания IL-17-продуцирующих Тцит обнаружено как в составе очагов воспаления, так и в периферической крови больных РС [24, 29]. Эти клетки также обнаруживаются в составе активных очагов поражения нервной ткани при помощи гистологических методов исследования [28]. С другой стороны, некоторыми исследователями отмечается способность Тцит ограничивать воспалительные реакции, протекающие в нервной ткани за счет индукции апоптоза в активированных Т-хелперах, распознающих эпитопы основного белка миелина (MBP, от англ. myelin basic protein) и гликопротеина олигодендроцитов миелина (MOG, от англ. myelin oligodendrocyte glycoprotein) при совместном культивировании [8]. Более того, в ходе экспериментов in vitro выявлена способность MOG1-специфических Тцит ингибировать пролиферацию MOG1-специфических Т-хелперов в условиях in vitro [6].
Заключение
Основываясь на приведенных выше результатах и данных литературы, можно утверждать, что у больных рассеянным склерозом цитотоксические Т-лимфоциты могут мигрировать из кровотока в ЦНС. Данное обстоятельство позволяет рассматривать эти клетки как возможные маркеры развития заболевания, а их дальнейшее исследование даст возможность лучше понять механизмы патогенеза рассеянного склероза.
About the authors
MariIa K. Serebriakova
Institute of Experimental Medicine
Author for correspondence.
Email: m-serebryakova@yandex.ru
ORCID iD: 0000-0003-2596-4220
Research Associate, Laboratory of Cellular Immunology, Department of Immunology, Institute of Experimental Medicine, St. Petersburg, Russian Federation
Russian Federation, St. PetersburgAlexander G. Ilves
N. Bechtereva Institute of Human Brain
Email: ailves@hotmail.com
PhD (Medicine), Senior Research Associate, Laboratory of Targeted Intracerebral Drug Delivery, N. Bechtereva Institute of Human Brain, St. Petersburg, Russian Federation
Russian Federation, St. PetersburgValeriy M. Lebedev
N. Bechtereva Institute of Human Brain
Email: lebedevvaleriy@bk.ru
Junior Research Associate, Laboratory of Targeted Intracerebral Drug Delivery, N. Bechtereva Institute of Human Brain, St. Petersburg, Russian Federation
Russian Federation, St. PetersburgOlga M. Novoselova
N. Bechtereva Institute of Human Brain
Email: dr.novoselova@gmail.com
Junior Research Associate, Laboratory of Targeted Intracerebral Drug Delivery, N. Bechtereva Institute of Human Brain, St. Petersburg, Russian Federation
Russian Federation, St. PetersburgLidia N. Prakhova
N. Bechtereva Institute of Human Brain
Email: l.n.prakhova@hotmail.com
PhD, MD (Medicine), Head, Laboratory of Targeted Intracerebral Drug Delivery, N. Bechtereva Institute of Human Brain, St. Petersburg, Russian Federation
Russian Federation, St. PetersburgIgor V. Kudryavtsev
Institute of Experimental Medicine; Far Eastern Federal University; First St. Petersburg State I. Pavlov Medical University
Email: igorek1981@yandex.ru
PhD (Biology), Head, Laboratory of Cellular Immunology, Department of Immunology, Institute of Experimental Medicine, St. Petersburg; Senior Research Associate, Far Eastern Federal University, Vladivostok; Associate Professor, Department of Immunology, First St. Petersburg State I. Pavlov Medical University, St. Petersburg, Russian Federation
Russian Federation, St. Petersburg; Vladivostok; St. PetersburgReferences
- Кудрявцев И.В. Т-клетки памяти: основные популяции и стадии дифференцировки // Российский иммунологический журнал, 2014. Т. 8, № 4 (17). С. 947-964. [Kudryavtsev I.V. Memory T cells: major populations and stages of differentiation. Rossiyskiy immunologicheskiy zhurnal = Russian Journal of Immunology, 2014, Vol. 8, no. 4 (17), pp. 947-964. (In Russ.)]
- Кудрявцев И.В., Борисов А.Г., Волков А.Е., Савченко А.А., Серебрякова М.К., Полевщиков А.В. Анализ уровня экспрессии CD56 и CD57 цитотоксическими Т-лимфоцитами различного уровня дифференцировки // Тихоокеанский медицинский журнал, 2015. T. 2, № 60. С. 30-35. [Kudryavtsev I.V., Borisov A.G., Volkov A.E., Savchenko A.A., Serebryakova M.K., Polevschikov A.V. CD56 and CD57 expression by distinct populations of human cytotoxic T lymphocytes. Tikhookeanskiy meditsinskiy zhurnal = Pacific Medical Journal, 2015, Vol. 2, no. 60, pp. 30-35. (In Russ.)]
- Кудрявцев И.В., Ильвес А.Г., Новоселова О.М., Рубаник К.С., Серебрякова М.К., Прахова Л.Н. Экспрессия CD56 цитотоксическими T-лимфоцитами периферической крови при рассеянном склерозе // Российский иммунологический журнал, 2018. Т. 12, № 2 (21). С. 150-159. [Kudryavtsev I.V., Ilves A.G., Novoselova O.M., Rubanik K.S., Serebriakova M.K., Prakhova L.N CD56 expression by peripheral blood cytotoxic T cells in multiple sclerosis. Rossiyskiy immunologicheskiy zhurnal = Russian Journal of Immunology, 2018, Vol. 12, no. 2, pp. 150-159. (In Russ.)]
- Лебедев В.М., Ильвес А.Г., Кудрявцев И.В., Новоселова О.М., Прахова Л.Н., Рубаник К.С., Серебрякова М.К. Анализ субпопуляционного состава Т-лимфоцитов периферической крови и ЦСЖ больных рассеянным склерозом в стадии обострения и ремиссии // Журнал неврологии и психиатрии им. С.С. Корсакова. Материалы XI Всероссийского съезда неврологов и IV конгресса Национальной ассоциации по борьбе с инсультом, 2019. Т. 119, № 5. С. 54. [Lebedev V.M., Ilves A.G., Kudryavtsev I.V., Novoselova O.M., Prakhova L.N., Rubanik K.S., Serebriakova M.K. Analysis of T-lymphocyte subpopulations in peripheral blood and cerebrospinal fluid of patients with multiple sclerosis in exacerbation and remission phases. Zhurnal nevrologii i psikhiatrii im. S.S. Korsakova. Materialy XI Vserossiyskogo s”ezda nevrologov i IV kongressa Natsionalnoy assotsiatsii po borbe s insultom = S. Korsakov Journal of Neurology and Psychiatry. Materials of the XI Russian Congress of Neurologists and IV Congress of the National Stroke Association, 2019, Vol. 119, no. 5, p. 54. (In Russ.)]
- Battistini L., Piccio L., Rossi B., Bach S., Galgani S., Gasperini C., Ottoboni L., Ciabini D., Caramia M.D., Bernardi G., Laudanna C., Scarpini E., McEver R.P., Butcher E.C., Borsellino G., Constantin G. CD8+ T cells from patients with acute multiple sclerosis display selective increase of adhesiveness in brain venules: a critical role for P-selectin glycoprotein ligand-1. Blood, 2003, Vol. 101, no. 12, pp. 4775-4782.
- Baughman E.J., Mendoza J.P., Ortega S.B., Ayers C.L., Greenberg B.M., Frohman E.M., Karandikar N.J. Neuroantigen-specific CD8+ regulatory T-cell function is deficient during acute exacerbation of multiple sclerosis. J. Autoimmun., 2011, Vol. 36, no. 2, pp. 115-124.
- Bitsch A., Schuchardt J., Bunkowski S., Kuhlmann T., Brück W. Acute axonal injury in multiple sclerosis. Correlation with demyelination and inflammation. Brain, 2000, Vol. 123, no. 6, pp. 1174-1183.
- Correale J., Villa A. Isolation and characterization of CD8+ regulatory T cells in multiple sclerosis. J. Neuroimmunol., 2008, Vol. 195, no. 1-2, pp. 121-134.
- Crucian B., Dunne P., Friedman H., Ragsdale R., Pross S., Widen R. Alterations in levels of CD28-/CD8+ suppressor cell precursor and CD45RO+/CD4+ memory T lymphocytes in the peripheral blood of multiple sclerosis patients. Clin. Diagn. Lab. Immunol., 1995, Vol. 2, pp. 249-252.
- De Graaf M., Smitt P., Luitwieler R., van Vetzen Z., van den Broek P.D., Kraan J., Gratama J.W. Central memory CD4+ T cells dominate the normal cerebrospinal fluid. Cytometry Part B, 2011, Vol. 80, no. 1, pp. 43-50.
- Fogdell-Hahn A., Ligers A., Grønning M., Hillert J., Olerup O. Multiple sclerosis: a modifying influence of HLA class I genes in an HLA class II associated autoimmune disease. Tissue Antigens, 2000, Vol. 55, no. 2, pp. 140-148.
- Hauser S.L., Bhan A.K., Gilles F., Kemp M., Kerr C., Weiner H.L. Immunohistochemical analysis of the cellular infiltrate in multiple sclerosis lesions. Ann. Neurol., 1986, Vol. 19, no. 6, pp. 578-587.
- Ho E.L., Ronquillo R., Altmeppen H., Spudich S.S., Price R.W., Sinclair E. Cellular composition of cerebrospinal fluid in HIV-1 infected and uninfected subjects. PLoS One, 2013, Vol. 8, no. 6, e66188. doi: 10.1371/journal.pone.0066188.
- Ifergan I., Kebir H., Alvarez J.I., Marceau G., Bernard M., Bourbonnière L., Poirier J., Duquette P., Talbot P.J., Arbour N., Prat A. Central nervous system recruitment of effector memory CD8+ T lymphocytes during neuroinflammation is dependent on 4 integrin. Brain, 2011, Vol. 134, no. 12, pp. 3560-3577.
- Kivisäkk P., Mahad D.J., Callahan M.K., Trebst C., Tucky B., Wei T., Wu L., Baekkevold E.S., Lassmann H., Staugaitis S.M., Campbell J.J., Ransohoff R.M. Human cerebrospinal fluid central memory CD4+ T cells: evidence for trafficking through choroid plexus and meninges via P-selectin. PNAS, 2003, Vol. 100, no. 14, pp. 8389-8394.
- Kurtzke J.F. Rating neurologic impairment in multiple sclerosis: an expanded disability status scale (EDSS). Neurology, 1983, Vol. 33, no. 11, pp. 1444-1452.
- Larochelle C., Lécuyer M.A., Alvarez J.I., Charabati M., Saint-Laurent O., Ghannam S., Kebir H., Flanagan K., Yednock T., Duquette P., Arbour N., Prat A. Melanoma cell adhesion molecule-positive CD8 T lymphocytes mediate central nervous system inflammation. Ann. Neurol., 2015, Vol. 78, no. 1, pp. 39-53.
- Lassmann H., Brück W., Lucchinetti C.F. The immunopathology of multiple sclerosis: an overview. Brain Pathol., 2007, Vol. 17, no. 2, pp. 210-218.
- Mullen K.M., Gocke A.R., Allie R., Ntranos A., Grishkan I.V., Pardo C., Calabresi P.A. Expression of CCR7 and CD45RA in CD4+ and CD8+ subsets in cerebrospinal fluid of 134 patients with inflammatory and non-inflammatory neurological diseases. J. Neuroimmunol., 2012, Vol. 249, no. 1-2, pp. 86-92.
- Oreja-Guevara C., Sindern E., Raulf-Heimsoth M., Malin J.P. Analysis of lymphocyte subpopulations in cerebrospinal fluid and peripheral blood in patients with multiple sclerosis and inflammatory diseases of the nervous system. Acta Neurol. Scand., 1998, Vol. 98, no. 5, pp. 310-313.
- Pender M.P., Csurhes P.A., Pfluger C.M., Burrows S.R. Deficiency of CD8+ effector memory T cells is an early and persistent feature of multiple sclerosis. Mult. Sclerosis., 2014, Vol. 20, no. 14, pp. 1825-1832.
- Planas R., Metz I., Martin R., Sospedra M. Detailed characterization of T cell receptor repertoires in multiple sclerosis brain lesions. Front. Immunol., 2018, Vol. 9, 509. doi: 10.3389/fimmu.2018.00509.
- Polman C.H., Reingold S.C., Banwell B., Clanet M., Cohen J.A., Filippi M., Fujihara K., Havrdova E., Hutchinson M., Kappos L., Lublin F.D., Montalban X., O’Connor P., Sandberg-Wollheim M., Thompson A.J., Waubant E., Weinshenker B., Wolinsky J.S. Diagnostic criteria for multiple sclerosis: 2010 revisions to the McDonald criteria. Ann. Neurol., 2011, Vol. 69, no. 2, pp. 292-302.
- Salehi Z., Doosti R., Beheshti M., Janzamin E., Sahraian M.A., Izad M. Differential frequency of CD8+ T cell subsets in multiple sclerosis patients with various clinical patterns. PLoS One, 2016, Vol. 11, no. 7, e0159565. doi: 10.1371/journal.pone.0159565.
- Scolozzi R., Boccafogli A., Tola M.R., Vicentini L., Camerani A., Degani D., Granieri E., Caniatti L., Paolino E. T-cell phenotypic profiles in the cerebrospinal fluid and peripheral blood of multiple sclerosis patients. J. Neurol. Sci., 1992, Vol. 108, no. 1, pp. 93-98.
- Skulina C., Schmidt S., Dornmair K., Babbe H., Roers A., Rajewsky K., Wekerle H., Hohlfeld R., Goebels N. Multiple sclerosis: brain-infiltrating CD8+ T cells persist as clonal expansions in the cerebrospinal fluid and blood. PNAS, 2004, Vol. 101, no. 8, pp. 2428-2433.
- Svenningsson A., Hansson G., Andersen O., Andersson R., Patarroyo M., Stemme S. Adhesion molecule expression on cerebro-spinal fluid T lymphocytes: evidence for common recruitment mechanisms in multiple sclerosis, aseptic meningitis, and normal controls. Ann. Neurol., 1993, Vol. 34, no. 2, pp. 155-161.
- Tzartos J.S., Friese M.A., Craner M.J., Palace J., Newcombe J., Esiri M.M., Fugger L. Interleukin-17 production in central nervous system-infiltrating T cells and glial cells is associated with active disease in multiple sclerosis. Am. J. Pathol., 2008, Vol. 172, no. 1, pp. 146-155.
- Wang H.H., Dai Y.Q., Qiu W., Lu Z.Q., Peng F.H., Wang Y.G., Bao J., Li Y., Hu X.Q. Interleukin-17-secreting T cells in neuromyelitis optica and multiple sclerosis during relapse. J. Clin. Neurosci., 2011, Vol. 18, no. 10, pp. 1313-1317.
Supplementary files





