Study of the phagocytic activity of neutrophilic granulocytes in the peripheral blood of residents of Abkhazia of different ages
- Authors: Trapsh K.Z.1, Matua A.Z.1, Amaba T.S.1, Gorukhchieva F.A.1, Smyr S.D.1, Kondzhariya I.G.1, Mikvabiya Z.Y.1
-
Affiliations:
- Institute of Experimental Pathology and Therapy, Academy of Sciences of Abkhazia
- Issue: Vol 27, No 3 (2024)
- Pages: 559-566
- Section: SHORT COMMUNICATIONS
- Submitted: 01.04.2024
- Accepted: 03.04.2024
- Published: 25.09.2024
- URL: https://rusimmun.ru/jour/article/view/16840
- DOI: https://doi.org/10.46235/1028-7221-16840-SOT
- ID: 16840
Cite item
Full Text
Abstract
As a result of examinations of the indigenous population of different ages in Abkhazia, 103 of the healthiest patients were selected, divided according to WHO classifications into four age groups: group 1 – young age (18-44 years, n = 37), group 2 – middle age (45-59 years, n = 13), group 3 – elderly (60- 74 years old, n = 27) and group 4 – senile (75-89 years old, n = 26). To assess the health status of those observed, along with the clinical examination, a number of laboratory tests were carried out: hematological, hemostasiological, biochemical, the concentration of pro- and anti-inflammatory cytokines were determined; instrumental diagnostics were used, when needed. The examination was carried out after the informed voluntary consent of the patients. Almost to all senile and sometimes elderly patients were paid home visits. The criteria for exclusion from the study were significant deviations from the norm in the studied laboratory blood parameters, exacerbations of chronic diseases and the presence of acute infectious diseases at the time of the examination. The phagocytic activity of neutrophil granulocytes (NG) was determined by flow cytometry using an EPICS XL cytometer (Beckman Coulter, USA) using the FagoFlowEx® Kit (Czech Republic) designed to assess absorption (percentage of actively phagocytic NG) and digestion (NG stimulation index) NG abilities after stimulation with E. coli in heparinized whole blood samples. When comparing leukocytes, no statistically significant differences were revealed between the four age groups compared: young, middle, elderly, and senile (p = 0.795). The absolute content of NG in the peripheral blood of the examined groups did not differ significantly, while the percentage ratio had a significant difference between the elderly and senile groups (p = 0.019). When assessing the absorptive capacity and determining the percentage of FAN depending on age, statistically significant differences were established between the young and senile age groups (p = 0.038). When comparing the oxygen-dependent digestive activity of NG, the stimulation index, depending on age, statistically significant differences were also established between the young and old age groups (p = 0.014). No significant differences between other age groups were found in terms of % FAN or IS. Thus, among the age groups examined, we identified a statistically significant weakening of both the absorption and oxygen-dependent digestive phagocytic activity of neutrophil granulocytes in the senile group, which turned out to be the most vulnerable according to the studied indicators.
Full Text
Введение
Иммунная система имеет своеобразную возрастную динамику. Существуют обширные исследования последствий старения для адаптивного иммунитета, но влияние старения на факторы врожденного иммунитета остаются изученными в меньшей степени. Нейтрофильные гранулоциты (НГ) как крупнейшая популяция лейкоцитов в крови создают не только первую линию защиты от патогенных микроорганизмов, что давно было известно, но, по данным современных фундаментальных исследований, являются ключевыми эффекторными и регуляторными клетками как врожденного, так и адаптивного иммунитета, и играют решающую роль в иммунопатогенезе широкого спектра заболеваний. НГ обладают мощным рецепторным репертуаром, обеспечивающим связь между собой и клетками иммунной системы, а также связь с клетками эндотелия, эпителия и других тканей. Отсутствие адекватного реагирования, гиперактивация или блокада функций НГ приводит к развитию вялотекущих инфекционно-воспалительных заболеваний, не отвечающих на традиционную терапию, аутоиммунных и хронических заболеваний иммунозависимых процессов. Исследования invitro показывают, что функции НГ, такие как фагоцитоз, продукция активных форм кислорода (АФК), внутриклеточное уничтожение, образование нейтрофильных внеклеточных ловушек (NET) и хемотаксис, изменяются у возрастных людей, тогда как количество циркулирующих нейтрофилов не изменяется по сравнению с молодыми людьми. Однако данные различных исследований относительно функций НГ по-прежнему противоречивы, во многом из-за применения различных лабораторных методов и неоднородной когорты обследуемых пациентов [1, 2, 3, 4, 10, 11, 13]
Разработан широкий набор тестов для оценки иммунологических показателей человека [6]. Мощные потенциальные возможности проточной цитометрии привели к разработке способов регистрации функционального состояния различных клеток, оценке процессов их активации и изучению механизмов формирования дефектов их функционирования. Наиболее часто используемые приложения метода проточной цитометрии для данного рода исследований основаны на измерении различных функциональных характеристик клеток, к которым относятся фагоцитарная и бактерицидная активности нейтрофилов [7].
Целью явилось сравнительно-возрастное исследование фагоцитарной активности НГ периферической крови у жителей Абхазии методом проточной цитометрии.
Задачи исследования:
- Отбор среди обследуемых наиболее здоровых и распределение по возрастным группам.
- Проведение межгруппового сравнительного анализа полученных данных.
Материалы и методы
В рамках научно-исследовательской работы ГНУ «ИЭПиТ АНА» по обследованию коренных жителей Абхазии разных возрастов, проведенной при поддержке Академии наук Абхазии и Министерства здравоохранения Республики Абхазия, среди обследованных было отобрано 103 наиболее здоровых пациента, разделенных по классификации ВОЗ на четыре возрастные группы: группа 1 – молодого возраста (18-44 лет, n = 37), группа 2 – среднего возраста (45-59 лет, n = 13), группа 3 – пожилого (60-74 года, n = 27) и группа 4 – старческого возраста (75-89 лет, n = 26).
Для оценки статуса здоровья обследуемых, параллельно с клиническим осмотром, проводили гематологические, гемостазиологические, биохимические исследования, определяли концентрацию про- и противовоспалительных цитокинов, при необходимости применяли инструментальную диагностику. Обследование проводилось после информированного добровольного согласия пациентов. Взятие биологического материала осуществляли вакуумными системами утром строго натощак. Практически ко всем пациентам старческого, а иногда и пожилого возраста, исследовательская групп ИЭПиТ АНА выезжала на дом. Критериями исключения из исследования были значимые отклонения от нормы исследованных лабораторных показателей крови, обострения хронических заболеваний и наличие острых инфекционных заболеваний на момент обследования.
Фагоцитарную активность нейтрофильных гранулоцитов определяли методом проточной цитометрии с использованием цитометра EPICSXL (Beckman Coulter, США) с применением набора FagoFlowEx® Kit (Чехия), предназначенного для оценки поглотительной (процента активно фагоцитирующих НГ – %ФАН) и переваривающей (индекс стимуляции НГ – ИС) способности НГ после стимуляции E. coli в образцах гепаринизированной цельной крови. После поглощения бактерии в фагоците активируется NADPH оксидаза, которая опосредует продукцию активных форм кислорода (респираторный взрыв). Продукты кислорода внутри фагоцита окисляют дигидрородамин 123 (DHR123) и превращают его в флуоресцентный родамин 123, который детектируется на проточном цитофлуориметре. В качестве положительного контроля используется образец стимулированный ФМА (форбол-12-миристат-13-ацетат), который инициирует кислородный взрыв без адгезии и поглощения патогена. Исследуется только гепаринизированная кровь. Флуоресценция родамина 123, возникающая при окислении DHR123, детектируется на канале для FITC. Родамин 123 быстро эвакуируется из гранулоцитов, поэтому необходимо анализировать образцы как можно скорее (в течение 1 часа после лизиса).
Анализ данных
При гейтирований количество событий должно быть в пределах 5000-10 000. Анализируются образцы на графике SSC против FSC. Гранулоциты, поглотившие бактерии, изменяют свое положение на графике SSC против FSC. В связи с этим рекомендуется корректировать положение гейта. Затем анализируются все события из региона гранулоцитов на гистограмме по интенсивности флуоресценции на канале FL1. Устанавливаются соответствующие регионы для вычисления процентного соотношения позитивных и негативных событий и средней интенсивности флуоресценции (СИФ). События с яркой флуоресценцией родамина 123 будут соответствовать активированным гранулоцитам.
Интерпретация результатов
Отношение СИФ активированных гранулоцитов стимулированных образцов и отрицательных контролей, так называемый индекс стимуляции ИС, используют для сравнения продукции активных форм кислорода в разных образцах крови. В целом, по показателю %ФАН определяется процент активно фагоцитирующих НГ, а по ИС – переваривающая кислородзависимая активность НГ.
Статистический анализ проводился с использованием программы StatTechv. 4.1.4 (разработчик – ООО «Статтех», Россия). Количественные показатели, имеющие нормальное распределение, описывались с помощью средних арифметических величин (M) и стандартных отклонений (SD), границ 95% доверительного интервала (95% ДИ). В случае отсутствия нормального распределения количественные данные описывались с помощью медианы (Me) и нижнего и верхнего квартилей (Q0,25-Q0,75).Сравнение трех и более групп по количественному показателю, имеющему нормальное распределение, выполнялось с помощью однофакторного дисперсионного анализа, апостериорные сравнения проводились с помощью, критерия Тьюки (при условии равенства дисперсий). Сравнение трех и более групп по количественному показателю, распределение которого отличалось от нормального, выполнялось с помощью критерия Краскела–Уоллиса, апостериорные сравнения – с помощью критерия Данна с поправкой Холма. Различия считались статистически значимыми при p < 0,05.
Результаты и обсуждение
При сравнении лейкоцитов не было выявлено статистически значимых между сравниваемыми четырьмя возрастными группами: молодого, среднего, пожилого и старческого возраста различий (p = 0,795). Для оценки функциональной активности НГ была исследована их поглотительная и переваривающая активность. В таблице 1 представлены показатели, характеризующие поглотительную (%ФАН) и переваривающую кислородзависимую активность (ИС) нейтрофильных гранулоцитов.
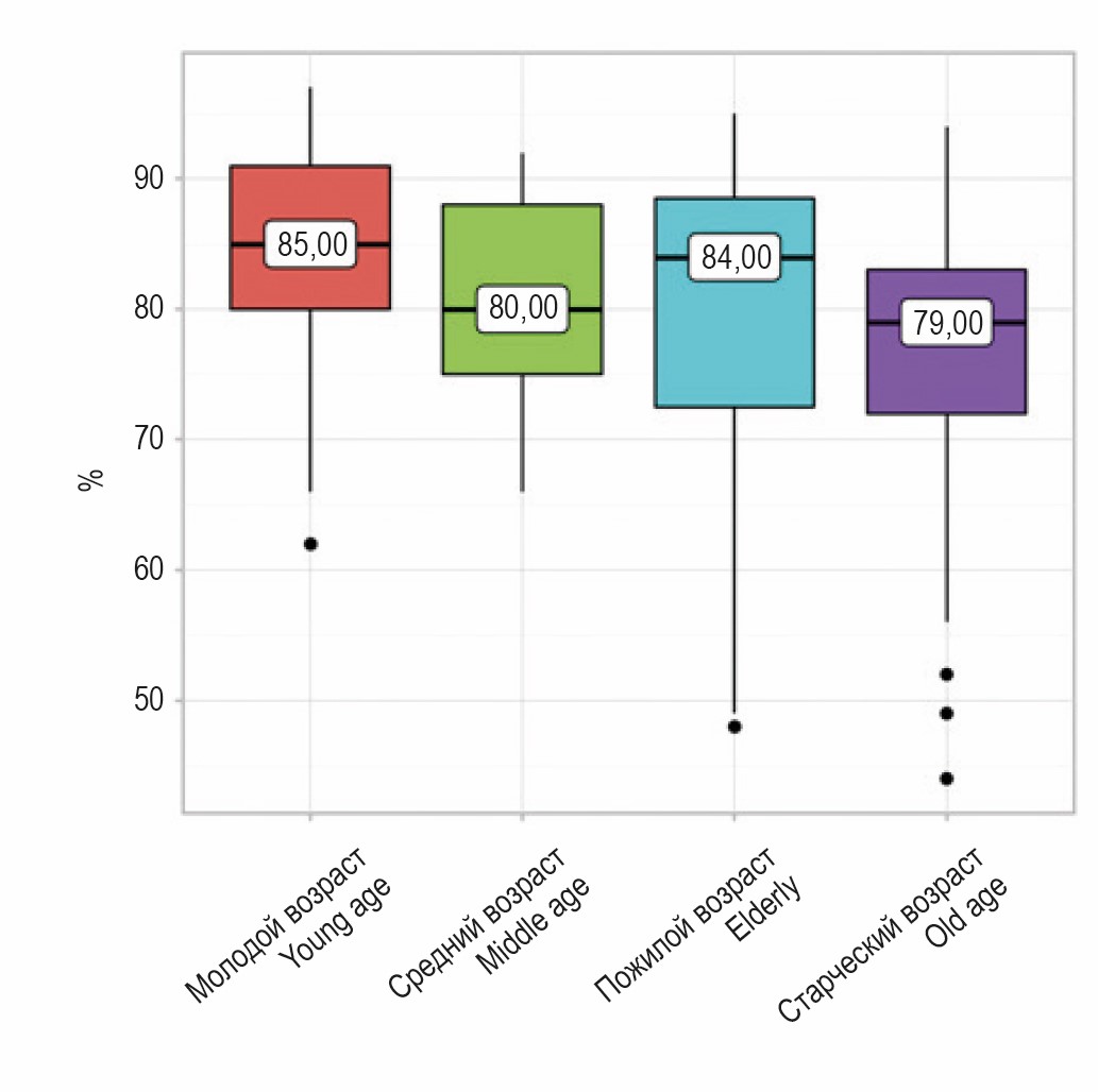
Абсолютное содержание НГ в периферической крови обследуемых групп значимо не отличалось (95% ДИ был в пределах 3,05-4,27), при этом процентное отношение НГ (табл. 1) имело достоверную разницу между группами пожилого и старческого возраста (p = 0,019). При оценке %ФАН в зависимости от возраста (рис. 1) были установлены статистически значимые различия между группами молодого и старческого возраста (p = 0,038).
Рисунок 1. Возрастная динамика процента активно фагоцитирующих НГ (%ФАН)
Figure 1. Age dynamics of percentage of actively phagocytic NG
Исходя из полученных данных (табл. 1, рис. 2) при сравнении ИС в зависимости от возраста, были установлены статистически значимые различия также между группами молодого и старческого возраста (p = 0,014). Достоверных отличии между другими возрастными группами не было выявлено ни по %ФАН, ни по ИС. Таким образом, среди обследуемых возрастных групп нами было выявлено статистически значимое ослабление как поглотительной так и переваривающей фагоцитарной активности нейтрофильных гранулоцитов в старческой группе.
Таблица 1. Показатели поглотительной и кислородзависимой переваривающей фагоцитарной активности НГ у жителей Абхазии разных возрастов, Ме (Q0,25-Q0,75)
Table 1. Indicators of absorption and oxygen-dependent digestive phagocytic activity of NG in resident of Abkhazia of different ages Ме (Q0.25-Q0.75)
Показатели Indicators | Группа 1 (18-44 года) Group 1 (18-44 years old) n = 37 | Группа 2 (45-59 лет) Group 2 (45-59 years old) n = 13 | Группа 3 (60-74 года) Group 3 (60-74 years old) n = 26 | Группа 4 (75-89 лет) Group 4 (75-89 years old) n = 27 | p |
Нейтрофильные гранулоциты (НГ), % Neutrophil granulocytes (NG), % | 61 54-65 | 63 57-65 | 63 60,5-67,0 | 56,5 52-63 | p3-4 = 0,013 |
Процент активно фагоцитирующих НГ (%ФАН) Percentage of actively phagocytic NG | 85 80-91 | 80 75-88 | 84 72,5-88,5 | 79 72-83 | p1-4 =0,030 |
Индекс стимуляции НГ (ИС) NG Stimulation Index (IS) | 44 41-46 | 43 38-45 | 42 37-45 | 40 37,25-41,75 | p1-4= 0,009 |
Примечание. Группа 1 – молодой возраст; группа 2 – средний возраст; группа 3 – пожилой возраст; группа 4 –старческий возраст.
Note. Group 1, young age; group 2, middle age; group 3, elderly; group 4, old age.
Рисунок 2. Возрастная динамика индекса стимуляции (ИС) НГ
Figure 2. Age dynamics of NGStimulation Index (IS)
Известно, что иммунный ответ меняется с возрастом. Наиболее уязвимой возрастной группой в ряде исследований определены люди старческого возраста, которые демонстрируют предрасположенность к воспалениям и инфекциям в сочетании с увеличением заболеваемости и смертности, чаще чем у более молодых людей [10, 11, 13]. Полученные авторами данные с применением метода проточной цитометрии свидетельствуют о том, что повышение внутриклеточной концентрации кальция в покоящихся нейтрофилах и/или снижение поглощения гексозы приводит к снижению фагоцитарной способности и снижению бактерицидной активности нейтрофилов у людей старческого возраста, как и в нашем исследований [12]. Существует консенсус относительно неизменного количества нейтрофилов в кровообращении с возрастом. Кроме этого, данные об изменениях тканевой инфильтрации, фагоцитоза и взрывной способности нейтрофилов у пожилых доноров противоречивы. Возрастное снижение активности нейтрофилов и, как следствие, повышение восприимчивости к инфекциям у пожилых доноров было выявлено в более ранней работе [8]. При сравнении фагоцитарной активности пациентов пожилого и старческого возраста Севера, было обнаружено возрастное снижение не только удельного веса активно фагоцитирующих гранулоцитов крови, но и уровня компенсаторного повышения интенсивности фагоцитоза этими клетками [5]. При сравнении функциональной активности НГ у пациентов молодого, среднего и возраста долгожителей функции нейтрофилов в группе среднего возраста были хуже, чем у молодых людей и долгожителей (меньший хемотаксис, фагоцитоз и более высокие уровни адгезии и супероксид-аниона). Функции нейтрофилов долгожителей были ближе к таковым у молодых людей. Возрастные различия в функциях нейтрофилов были принципиально схожими у мужчин и женщин, за исключением внутриклеточных уровней супероксид-анионов, которые были ниже у женщин, чем у мужчин. При нормальном старении общий уровень глутатиона снижается, но у долгожителей в этом исследовании уровни были аналогичны таковым у молодых людей. Долгожители показали самую высокую активность каталазы из трех групп [9]. В нашей еще не завершенной работе с группой долгожителей также предварительно получены лучшие показатели у геронтов по сравнению с группой старческого возраста. Сохранение функций и антиоксидантных систем нейтрофилов долгожителей по всей видимости играет одну из ключевых ролей в их долголетии.
Заключение
Прогрессирующее ухудшение работы факторов иммунной системы неизбежно сопровождает старение, фагоцитарная активность НГ и поглотительная и переваривающая, по данным ряда авторов и полученными нами, снижается максимально именно в старческом возрасте.
About the authors
Kh. Z. Trapsh
Institute of Experimental Pathology and Therapy, Academy of Sciences of Abkhazia
Email: azmatua76@mail.ru
Junior Research Associate, Laboratory of Immunology and Virology
Abkhazia, SukhumA. Z. Matua
Institute of Experimental Pathology and Therapy, Academy of Sciences of Abkhazia
Author for correspondence.
Email: azmatua76@mail.ru
PhD, MD (Biology), Associate Professor, Deputy Director for Scientific Work, Head, Laboratory of Immunology and Virology
Abkhazia, SukhumT. S. Amaba
Institute of Experimental Pathology and Therapy, Academy of Sciences of Abkhazia
Email: azmatua76@mail.ru
Junior Research Associate, Laboratory of Immunology and Virology
Abkhazia, SukhumF. A. Gorukhchieva
Institute of Experimental Pathology and Therapy, Academy of Sciences of Abkhazia
Email: azmatua76@mail.ru
Junior Research Associate, Laboratory of Immunology and Virology
Abkhazia, SukhumS. D. Smyr
Institute of Experimental Pathology and Therapy, Academy of Sciences of Abkhazia
Email: azmatua76@mail.ru
Junior Research Associate, Laboratory of Immunology and Virology
Abkhazia, SukhumI. G. Kondzhariya
Institute of Experimental Pathology and Therapy, Academy of Sciences of Abkhazia
Email: azmatua76@mail.ru
PhD (Biology), Associate Professor, Senior Research Associate, Laboratory of Immunology and Virology
Abkhazia, SukhumZ. Ya. Mikvabiya
Institute of Experimental Pathology and Therapy, Academy of Sciences of Abkhazia
Email: azmatua76@mail.ru
PhD, MD (Medicine), Professor, Full Member, Academy of Sciences of Abkhazia, Director
Abkhazia, SukhumReferences
- Воробьева Н.В. Нейтрофилы – атипичные антигенпрезентирующие клетки // Вестник Московского университета Серия 16. Биология, 2013. Т. 78, № 3. С. 55-63. [Vorobeva N.V. Neutrophils are atypical antigen-presenting cells. Vestnik Moskovskogo universiteta. Seriya 16. Biologiya = Bulletin of Moscow University. Series 16. Biology, 2023, Vol. 78, no. 2, pp. 55-63. (In Russ.)]
- Долгушин И.И., Мезенцев Е.А., Савочкина А.Ю., Кузнецова Е.К. Нейтрофил как «многофункциональное устройство» иммунной системы // Инфекция и иммунитет, 2019. Т. 9, № 1. С. 9-38. [Dolgushin I.I., Mezentseva E.A., Savochkina A.Yu., Kuznetsova E.K. Neutrophil as a multifunctional relay in immune system. Infektsiya i immunitet = Russian Journal of Infection and Immunity, 2019, Vol. 9, no. 1, pp. 9-38. (In Russ.)] doi: 10.15789/2220-7619-2019-1-9-38.
- Нестерова И.В., Колесникова Н.В., Чудилова Г.А., Ломтатидзе Л.В., Ковалева С.В., Евглевский А.А. Нейтрофильные гранулоциты: новый взгляд на «старых игроков» на иммунологическом поле // Иммунология, 2015. Т. 36, № 4. С. 257-265. [Nesterova I.V., Kolesnikova N.V., Chudilova G.F., Lomtatidze L.V., Kovaleva C.V., Evglevsky A.A. Neutrophilic granulocytes: a new look at “old players” on the immunological field. Immunologiya = Immunologiya, 2015, Vol. 36, no. 4, pp. 257-265. (In Russ.)]
- Нестерова И.В., Колесникова Н.В., Чудилова Г.А., Ломтатидзе Л.В., Ковалева С.В., Евглевский А.А., Нгуен Т.З.Л. Новый взгляд на нейтрофильные гранулоциты: переосмысление старых догм. часть 2 // Инфекция и иммунитет, 2018. Т. 8, №1. С. 17-18. [Nesterova I.V., Kolesnikova N.V., Chudilova G.F., Lomtatidze L.V., Kovaleva C.V., Evglevsky A.A., Nguyen T.D.L. The new look at neutrophilic granulocytes: rethinking old dogmas. Part 2. Infektsiya i immunitet = Russian Journal of Infection and Immunity, 2018, Vol. 8, no. 1, pp. 17-18. (In Russ.)] doi: 10.15789/2220-7619-2018-1-7-18.
- Сергеева Е.В., Леванюк А.И. Иммунологическая реактивность людей пожилого и старческого возраста на Севере // Экология человека, 2017. № 1. С. 34-40. [Sergeeva E., Levanuk A. Immunological responsiveness of the aged in the North. Ekologiya cheloveka = Human Ecology, 2017, no. 1, pp. 34-40. (In Russ.)]
- Хаитов Р.М., Пинегин Б.В. Оценка иммунного статуса человека в норме и при патологии // Иммунология, 2011. № 4. С. 4-6. [Khaitov R.M., Pinegin B.V. Assessment of human immune effects in health and disease. Immunologiya = Immunologiya, 2011, no. 4, pp. 4-6. (In Russ.)]
- Хайдуков С.В., Зурочка А.В. Возможности проточной цитофлюориметрии в диагностике инфекционных заболеваний // Инфекция и иммунитет, 2011. Т. 1, № 3. С. 221-230. [Khaidukov S. V., Zurochka A.V. Opportunities of the flow cytometry in diagnostics of infectious diseases. Infektsiya i immunitet = Russian Journal of Infection and Immunity, 2011, Vol. 1, no. 3, pp. 221-230. (In Russ.)] doi: 10.15789/2220-7619-2011-3-221-230
- Antonaci S., Jirillo E., Ventura M.T., Garofalo A.R., Bonomo L. Non-specific immunity in aging: deficiency of monocyte and polymorphonuclear cell-mediated functions. Mech. Ageing Dev., 1984, Vol. 24, no. 3, pp. 367-375.
- lonso-Fernández P., Puerto M., Maté I., Ribera J.M., de la Fuente M. Neutrophils of centenarians show function levels similar to those of young adults. J. Am. Geriatr. Soc., 2008, Vol. 56, no. 12, pp. 2244-2251.
- Uciechowski P., Rink L. Neutrophil, basophil, and eosinophil granulocyte functions in the elderly. In: Fulop T., Franceschi C., Hirokawa K., Pawelec G. (eds), Handbook of Immunosenescence, Springer, Cham, 2019, pp. 863-889.
- Uciechowski P., Rink L. Neutrophil, basophil, and eosinophil granulocyte functions in the elderly. J. Immunol. Aging, 2013, pp. 47-63.
- Wenisch Ch., Patruta S., Daxböck F., Krause R., Hörl W., Effect of age on human neutrophil function. J. Leukocyte Biol., 2000, Vol. 67, no. 1, pp. 40-45.
- Wessels I., Jansen J., Rink L., Uciechowski P. Immunosenescence of polymorphonuclear neutrophils. Sci. World J., 2010, Vol. 10, pp. 145-160.





