Assessment of the influence of synthetic peptide of the active center of granulocyte-macrophagal colony-stimulating factor – ZP2 on the growth properties of Corynebacterium spp.
- Authors: Gritsenko V.A.1, Morozova N.V.1, Gladysheva I.V.1, Cherkasov S.V.1
-
Affiliations:
- Institute of Cellular and Intracellular Symbiosis, Orenburg Federal Research Center, Ural Branch, Russian Academy of Sciences
- Issue: Vol 27, No 3 (2024)
- Pages: 441-448
- Section: SHORT COMMUNICATIONS
- Submitted: 01.04.2024
- Accepted: 04.04.2024
- Published: 25.09.2024
- URL: https://rusimmun.ru/jour/article/view/16862
- DOI: https://doi.org/10.46235/1028-7221-16862-AOT
- ID: 16862
Cite item
Full Text
Abstract
The goal is to study the effect of the synthetic peptide of the active center of the granulocyte-macrophage coline-stimulating factor ZP2 on the growth properties and biofilm formation of microorganisms of the genus Corynebacterium spp. In vitro experiments were carried out on 13 isolates of Corynebacterium spp., including C. amycolatum (n = 7), C. propinquum (n = 2) and C. pseudodiphtheriticum (n = 4)), previously isolated from healthy individuals and are part of the Network Collection of Symbiotic Microorganisms and Their Consortia of the Institute for Cellular and Intracellular Symbiosis UrB RAS (Orenburg, Russia). The effect of different concentrations of the ZP2 peptide on the growth properties (planktonic culture growth and biofilm formation) of test strains was assessed in 96-well polystyrene plates. The inhibitory effect of the ZP2 peptide on the growth of planktonic culture was assessed by the Inhibition Index (%), on biofilm formation – by the Degree of Inhibition of Biofilm Formation (%). It was experimentally established that after 2, 4, 6 and 24 hours, a dose-dependent inhibition of the growth of planktonic cultures of all studied bacterial strains was observed under the influence of various concentrations of ZP2 (0.5-2.0 μg/ml). In this case, the inhibitory effect of the ZP2 peptide depended both on its concentration in the cultivation medium and on the growth phase of the test strain of bacteria. The maximum inhibition of the growth of planktonic culture of all studied bacterial strains under the influence of various concentrations of the ZP2 peptide was observed after 24 hours and ranged from 89.3±1.9 to 94.1±1.8% in C. amycolatum, and in C. propinquum from 90.0±0.6 to 96.7±0.3%, in C. pseudodiphtheriticum from 92.2±2.1 to 95.1±1.3. The ZP2 peptide also had a significant effect on biofilm formation in all test cultures studied. The reduction in biofilm formation depended on the concentration of the peptide and ranged from 62.4 to 78.4% in C. amycolatum, from 70.9 to 79.6% in C. propinquum, and from 76 to 82.7% in C. pseudodiphtheriticum.
Thus, the antibacterial effect of the ZP2 peptide was revealed against the studied strains of corynebacteria species C. amycolatum, C. propinquum and C. pseudodiphtheriticum. According to available data, the ZP2 peptide is a drug with a wide spectrum of action that has an inhibitory effect not only on the studied actinobacteria, but also, according to literature data, on staphylococci and enterobacteria. An important prospect of the study is to reveal the mechanism of the antibacterial action of the ZP2 peptide with the characteristics of the effective concentration of the substance against pathogens and representatives of normal flora.
Full Text
Введение
В последние десятилетия внимание ученых ведущих стран мира привлекают исследования препаратов на основе антимикробных пептидов, которые рассматриваются в качестве альтернативы традиционным антибиотикам [13]. Известно, что антимикробные пептиды обладают слабой антимикробной активностью, но выраженным иммуномодулирующим эффектом при вторжении в организм хозяина патогенных микроорганизмов или вирусов. Они не активируют адаптивный иммунитет, а скорее повышают его эффективность за счет адъювантной активности [12, 17].
В отношении бактерий, действие антимикробных пептидов до конца не изучено, однако показано, что их основными мишенями являются клеточная стенка, цитоплазматическая мембрана и внутриклеточные молекулы [11, 14]. Одним из хорошо изученных антимикробных пептидов является синтетический аналог активного центра гранулоцитарно-макрофагального колониестимулирующего фактора (ГМ-КСФ) – пептид ZP2 [4]. Ранее было установлено, что данный пептид проявляет плейотропные эффекты, обладая не только иммунотропными и репаративными свойствами, но и антимикробной активностью, в отношении оппортунистических патогенов [2, 3]. Однако на сегодняшний день остается не изученным влияние синтетического пептида ZP2 на представителей нормофлоры, в частности коринебактерии.
Известно, что микроорганизмы рода Corynebacterium являются резидентными представителями индигенной флоры тела человека [8]. В последнее время появляется все больше исследований о важной роли отдельных видов коринебактерий в поддержании колонизационной резистентности различных биотопов тела человека. Так, Corynebacterium glutamicum, C. pseudodiphtheriticum, C. accolens, C. parvum [7, 8, 9] рассматриваются в качестве симбиотически-значимых микроорганизмов, обладающих антимикробной активностью по отношению к условно-патогенным бактериям. В то же время установлено, что у иммуносупрессированных пациентов представители данного рода могут вызывать различные тяжелые заболевания [16].
Цель исследования – оценить влияние синтетического пептида ZP2 на ростовые свойства и биопленкообразование микроорганизмов рода Corynebacterium spp., выделенных из различных биотопов тела человека.
Материалы и методы
Объектами исследования служили 13 штаммов бактерий рода Corynebacterium, а именно видов С. amycolatum (n = 7), С. propinquum (n = 7) и C. pseudodiphtheriticum (n = 4), выделенных ранее от здоровых лиц (влагалище, кожа, верхние дыхательные пути) и хранящихся в Сетевой коллекции симбиотических микроорганизмов и их консорциумов Института клеточного и внутриклеточного симбиоза УрО РАН – обособленного структурного подразделения ОФИЦ УрО РАН (Оренбург, Россия),
Ранее выделенные штаммы коринебактерий были идентифицированы с помощью масс-спектрометрии с матричной лазерной десорбцией и ионизацией, и временем пролета (MALDI-TOF). Микроорганизмы хранили в сердечно-мозговом бульоне (СМБ) (HiMedia Laboratories Pvt. Ltd., Мумбаи, Индия, Мэриленд, США), содержащем 20% (по объему) глицерина, при -80 °С. Для эксперимента штаммы выращивали в СМБ при 37 °C в течение 24 часов и однократно субкультивировали в той же среде при 37 °C в течение 24 часов перед использованием.
Исследование влияния синтетического пептида ZP2 на рост планктонной культуры исследуемых штаммов производилось согласно методике [1] с незначительными изменениями в следующем порядке: аликвоты по 25 мкл суточных агаровых культур (5 × 108 КОЕ/мл), приготовленных на изотоническом растворе NaCl, переносили в лунки 96-луночного планшета и добавляли по 225 мкл СМБ с пептидом ZP2 (в конечных концентрациях: 0,5; 1,0 и 2,0 мкг/мл). Контрольные лунки содержали тестируемый штамм и СМБ. После инкубирования в течение 24 часов при 37 °С, замеряли оптическую плотность культур (OД) при длине волны (λ) 492 нм на спектрофотометре StatFax 2100 (CША). ОД культур замерялась на 0 (исходное значение), 2, 4, 6 и 24 часах инкубации.
Влияние пептида ZP2 на рост планктонной культуры исследуемых штаммов бактерий рассчитывали по формуле [1]:
ИИ = (OДк – Oдо)/Oдк × 100%,
где ИИ – Индекс ингибирования (%); OДк и OДо – оптическая плотность контроля и опыта соответственно. Индекс ингибирования оценивался через 2, 4, 6 и 24 часов.
Изучение влияния синтетического пептида ZP2 на биопленкообразование (БПО) исследуемых тест-культур определяли с помощью «планшетного метода» с незначительными модификациями [15]. Аликвоты по 25 мкл суточных агаровых культур (5 × 108 КОЕ/мл), приготовленных на изотоническом растворе NaCl, переносили в каждую лунку 96-луночного планшета и добавляли по 225 мкл ZP2 (в концентрациях: 0,5; 1,0 и 2,0 мкг/мл, предварительно разведенных в СМБ). Контрольные лунки содержали тестируемый штамм и СМБ. После инкубирования в течение 24 часов при 37 °С среду сливали, а планктонные клетки удаляли из каждой лунки путем двойной осторожной промывки стерильным фосфатно-солевым буфером (PBS). После этого биопленки фиксировали 200 мкл метанола в течение 10 мин, окрашивали 200 мкл 0,1% кристаллического фиолетового в течение 10 мин и аккуратно трижды промывали водой. Кристаллический фиолетовый, прикрепленный к образцам биопленок, растворяли в 200 мкл 95% этанола. Оптическую плотность (ОД, у.е.) 125 мкл экстрактов измеряли при 540 нм с использованием микропланшетного спектрофотометра StatFax 2100 (CША) как величину, отражающую выраженность биопленки. Ингибирование биопленки (%) рассчитывали по следующему уравнению:
Степень ингибирования БПО (%) = (1-OДо/OДк) × 100,
где OДо – оптическая плотность опыта (СМБ, содержащий различные концентрации пептида ZP2), OДк – оптическая плотность контроля (СМБ без пептида ZP2).
Все эксперименты повторялись трижды. Экспериментальные данные обработаны методами вариационной статистики с вычислением из 3 измерений средней арифметической и ее ошибки (M±m). О достоверности отличий между контролем и опытом судили по критерию Стьюдента – t [6].
Результаты и обсуждение
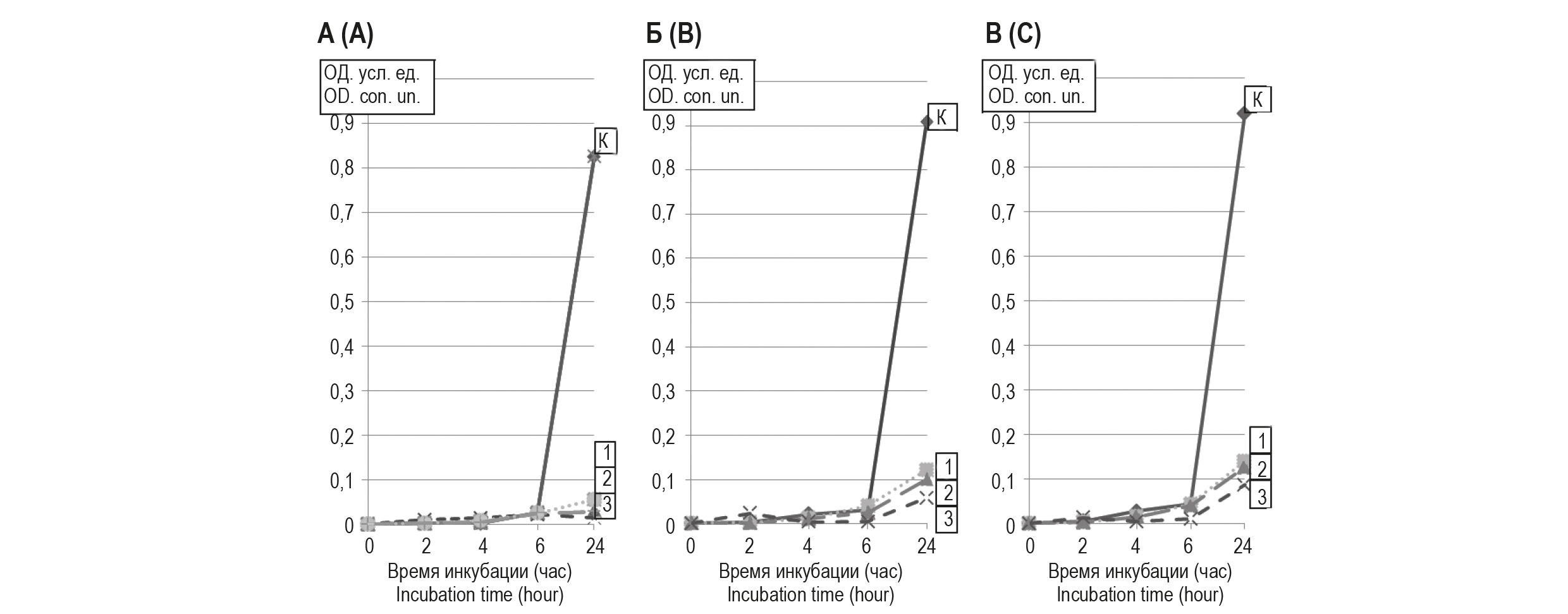
Полученные результаты в эксперименте in vitro свидетельствовали, что внесенный в жидкую питательную среду синтетический пептид активного центра ГМ-КСФ – ZP2 ингибировал рост изученных изолятов С. amycolatum, С. propinquum и C. pseudodiphtheriticum, дозо-зависимо снижая биомассу, оцениваемую по величине оптической плотности контрольных и опытных культур в динамике их развития (рис. 1). При этом ингибирующий эффект пептида ZP2 в отношении С. amycolatum, С. propinquum и C. pseudodiphtheriticum зависел как от концентрации фактора в среде культивирования, так и от фазы роста изолятов бактерий (табл. 1).
Рисунок 1. Рост штаммов С. amycolatum (А), С. propinquum (Б) и C. pseudodiphtheriticum (В) под влиянием различных концентраций ZP2
Примечание. 1 – 0,5 мкг/мл; 2 – 1,0 мкг/мл; 3 – 2,0 мкг/мл; К – контроль.
Figure 1. Growth of strains C. amycolatum (A), C. propinquum (B), and C. pseudodiphtheriticum (C) under the influence of different concentrations of ZP2
Note. 1, 0.5 μg/ml; 2, 1.0 µg/ml; 3, 2.0 µg/ml; K, control.
ТАБЛИЦА 1. Индекс ингибирования (ИИ, %) роста штаммов С. amycolatum, С. propinquum и C. pseudodiphtheriticum под влиянием различных концентраций ZP2
TABLE 1. Inhibition index (AI, %) of growth of strains C. amycolatum, C. propinquum and C. pseudodiphtheriticum under the influence of various concentrations of ZP2
Время культивирования Cultivation time | Индекс ингибирования (ИИ,%) роста бактерий при разных концентрациях ZP2 в питательной среде Bacterial growth inhibition index (II,%) at different concentrations of ZP2 in the nutrient medium | |||||||||
0,5 мкг/мл 0.5 µg/mL | 1,0 мкг/мл 1.0 µg/mL | 2,0 мкг/мл 2.0 µg/mL | ||||||||
С. amycolatum | С. propinquum | C. pseudodiphtheriticum | С. amycolatum | С. propinquum | C. pseudodiphtheriticum | С. amycolatum | С. propinquum | C. pseudodiphtheriticum | ||
2 часа 2 hours | 10,2±1,8* | 8,1±2,3 | 11,0±0,8* | 7,4±1,8 | 15,1±0,5* | 17,0±1,3* | 2,0±0 | 5,1±0,5 | 3,3±0,8 | |
4 часа 4 hours | 34,5±3,5* | 34,8±1,3* | 38,5±1,2* | 38,5±7,5* | 37,0±2,5* | 40,8±2,1* | 35,1±2,1* | 40,5±1,5* | 43,3±0,9* | |
6 часов 6 hours | 17,3±4,1* | 12,0±2,8* | 19,3±2,3* | 18,9±1,8* | 16,3±1,6* | 18,6±1,5* | 45,3±1,5* | 35,6±2,5* | 58,2±0,9* | |
24 часа 24 hours | 89,3±1,9* | 90,0±0,6* | 92,2±2,1* | 92,0±2,5* | 90,0±1,3* | 95,1±1,3* | 94,1±1,8* | 96,7±0,3* | 92,3±0,8* | |
Примечание. * – достоверные отличия от контроля (p < 0,05).
Note. *, significant differences from control (p < 0.05).
Следует отметить, что через 2 часа инкубирования Corynebacterium spp. в присутствии пептида ZP2 заметного снижения прироста планктонной культуры микроорганизмов не наблюдалось. Более того, в отношении С. amycolatum, С. propinquum и C. pseudodiphtheriticum регистрировалась слабо выраженная (2,0±0; 5,1±0,5 и 3,3±0,8% соответственно) стимуляция роста бактерий под действием пептида ZP2 в концентрации 2,0 мкг/ мл. Установлено, что в диапазоне изученных концентраций ZP2 (0,5-2,0 мкг/мл) индекс ингибирования роста культур С. propinquum и C. pseudodiphtheriticum градиентно увеличивался через 4, 6 и 24 часа культивирования, свидетельствуя о дозо-зависимом эффекте влияния данного соединения на прирост планктонной культуры Corynebacterium spp. в жидкой питательной среде (СМБ).
Через 24 часа наблюдалось максимальное угнетение прироста планктонной культуры всех исследуемых штаммов под влиянием различных концентраций пептида ZP2: 0,5; 1,0; 2,0 мкг/мл, что составило соответственно у С. amycolatum – 89,3±1,9; 92,0±2,5; 94,1±1,8%, С. propinquum – 90,0±0,6; 90,0±1,3; 96,7±0,3%, C. Pseudodiphtheriticum – 92,2±2,1; 95,1±1,3; 92,3±0,8%.
Синтетический пептид ZP2 также оказывал существенное ингибирующее влияние на биопленкообразование всех исследуемых тест-культур коринебактерий (рис. 2). Снижение биопленкообразования зависело от концентрации и составило у С. amycolatum от 62,4% до 78,4%, у С. propinquum от 70,9% до 79,6% и у C. pseudodiphtheriticum от 76,0% до 82,7%.
Рисунок 2. Степень ингибирования биопленкообразования штаммов С. amycolatum, С. propinquum и C. pseudodiphtheriticum в зависимости от концентрации пептида ZP2
Figure 2. Degree of inhibition of biofilm formation of C. amycolatum strains, C. propinquum and C. pseudodiphtheriticum in depending on the concentration of the ZP2 peptide
Заключение
Таким образом, выявлено антибактериальное действие синтетического аналога активного центра гранулоцитарно-макрофагального колиниестимулирующего фактора – пептида ZP2 в отношении изученных штаммов коринебактерий С. amycolatum, С. propinquum и C. pseudodiphtheriticum. Указанные микроорганизмы являются представителями нормальной микробиоты различных биотопов тела человека (влагалище, верхние дыхательные пути, кожа и др.), а отдельные штаммы этих видов бактерий в настоящее время рассматриваются как перспективные пробиотики, рост и размножение которых может находиться под влиянием пептида ZP2, что необходимо учитывать при использовании в клинической/косметологической практике создаваемых на его основе новых лекарственных препаратов [4].
Безусловный интерес представляют полученные результаты об угнетении пептидом ZP2 способности коринебактерий формировать биопленки, которые обеспечивают микроорганизмам возможность колонизации биотопов и длительной персистенции в них [3, 8]. В будущем следует выяснить, является эффект ингибирования пептидом ZP2 биопленкообразования коринебактериями, сопряженным только с угнетением роста этих микроорганизмов, или он реализуется через иные механизмы воздействия на бактериальные клетки.
По имеющимся данным, пептид ZP2 является препаратом с широким спектром действия, оказывающим ингибирующее влияние не только на изученные актинобактерии, но и, согласно литературным источникам, на стафилококки и энтеробактерии [5]. Важной перспективой дальнейших исследований является раскрытие механизма антибактериального действия пептида ZP2 с характеристикой эффективной концентрации вещества в отношении патогенов и представителей нормофлоры.
About the authors
V. A. Gritsenko
Institute of Cellular and Intracellular Symbiosis, Orenburg Federal Research Center, Ural Branch, Russian Academy of Sciences
Author for correspondence.
Email: vag59@mail.ru
PhD, MD (Medicine), Professor, Chief Research Associate, Laboratory of Persistence and Symbiosis of Microorganisms
Russian Federation, OrenburgN. V. Morozova
Institute of Cellular and Intracellular Symbiosis, Orenburg Federal Research Center, Ural Branch, Russian Academy of Sciences
Email: vag59@mail.ru
PhD (Biology), Research Associate, Laboratory of Persistence and Symbiosis of Microorganisms
Russian Federation, OrenburgI. V. Gladysheva
Institute of Cellular and Intracellular Symbiosis, Orenburg Federal Research Center, Ural Branch, Russian Academy of Sciences
Email: vag59@mail.ru
PhD (Medicine), Senior Research Associate, Laboratory of Biomedical Technologies
Russian Federation, OrenburgS. V. Cherkasov
Institute of Cellular and Intracellular Symbiosis, Orenburg Federal Research Center, Ural Branch, Russian Academy of Sciences
Email: vag59@mail.ru
PhD, MD (Medicine), Corresponding Member, Russian Academy of Sciences
Russian Federation, OrenburgReferences
- Бухарин О.В., Гриценко В.А. Влияние in vitro препарата лейкоцитарного катионного белка «Интерцид» на Escherichia coli // Антибиотики и химиотерапия, 2000. № 45 (1). C. 16-20. [Bukharin O.V., Gritsenko V.A. In vitro influence of the leukocyte cationic protein drug “Intertsid” on Escherichia coli. Antibiotiki i khimioterapiya = Antibiotics and Chemotherapy, 2000, no. 45 (1), pp. 16-20. (In Russ.)]
- Гриценко В.А., Тяпаева Я.В., Добрынина М.А., Зурочка А.В. Сравнительный анализ бактерицидных свойств синтетического пептида активного центра ГМ-КСФ – ZP2 в отношении грамотрицательных бактерий разной таксономической принадлежности // Российский иммунологический журнал, 2021. Т. 24, № 2. С. 221-228. [Gritsenko V.A., Tyapaeva Ya.V., Dobrynina M.A., Zurochka A.V. Comparative analysis of the bactericidal properties of the synthetic peptide of the active center of GM-CSF – ZP2 in relation to gram-negative bacteria of different taxonomic affiliations. Rossiyskiy immunologicheskiy zhurnal = Russian Journal of Immunology, 2021, Vol. 24, no. 2, pp. 221-228. (In Russ.)] doi: 10.46235/1028-7221-1016-CAO.
- Добрынина М.А., Зурочка А.В., Тяпаева Я.В., Белозерцева Ю.П., Гриценко В.А. Оценка влияния синтетического пептида активного центра гранулоцитарно-макрофагального колониестимулирующего фактора – ZP2 на рост и биопленкообразование клинических изолятов энтеробактерий in vitro // Бюллетень Оренбургского научного центра УрО РАН, 2018. № 4. 17 c. [Dobrynina M.A., Zurochka A.V., Tyapaeva Ya.V., Belozertseva Yu.P., Gritsenko V.A. Assessment of the influence of the synthetic peptide of the active center of the granulocyte-macrophage colony-stimulating factor – ZP2 on the growth and biofilm formation of clinical isolates of enterobacteria in vitro. Byulleten Orenburgskogo nauchnogo tsentra UrO RAN = Bulletin of the Orenburg Scientific Center of the Ural Branch of the Russian Academy of Sciences, 2018, no. 4, 17 p. (In Russ.)]
- Зурочка А.В., Гриценко В.А., Зурочка В.А., Добрынина М.А., Черешнев В.А. Гранулоцитарно-макрофагальный колониестимулирующий фактор (ГМ-КСФ) и его синтетические аналоги: иммунобиологические эффекты и клиническое применение. Екатеринбург: УрО РАН, 2021. 288 с. [Zurochka A.V., Gritsenko V.A., Zurochka V.A., Dobrynina M.A., Chereshnev V.A. Granulocyte-macrophage colony stimulating factor (GM-CSF) and its synthetic analogues: immunobiological effects and clinical application]. Yekaterinburg: Ural Branch of the Russian Academy of Sciences, 2021. 288 p.
- Зурочка А.В., Добрынина М.А., Зурочка В.А., Гриценко В.А. Чувствительность музейных и клинических штаммов энтеробактерий к синтетическому пептиду активного центра ГМ-КСФ – ZP2 // Российский иммунологический журнал, 2020. Т. 23, № 4. С. 403-410. [Zurochka A.V., Dobrynina M.A., Zurochka V.A., Gritsenko V.A. Sensitivity of museum and clinical strains of enterobacteria to the synthetic peptide of the active center of GM-CSF – ZP2. Rossiyskiy immunologicheskiy zhurnal = Russian Journal of Immunology, 2020, Vol. 23, no. 4, pp. 403-410. doi: 10.46235/1028-7221-503-SOA.
- Лакин Г.Ф. Биометрия. М.: Высшая школа, 1990. 352 с. [Lakin G.F. Biometrics]. Moscow: Vysshaya shkola, 1990. 352 p.
- Bomar L., Brugger S.D., Yost B.H., Davies S.S., Lemon K.P. Corynebacterium accolens releases antipneumococcal free fatty acids from human nostril and skin surface triacylglycerols. mBio, 2016, Vol. 7, no. 1, e01725-15. doi: 10.1128/mBio.01725-15.
- Graevenitz A., Bernard K. “The genus Corynebacterium-medical” in The Prokaryotes. J. New York, NY: Springer, 2006, pp. 819-842.
- Kataoka N., Vangnai A.S., Pongtharangkul T., Yakushi T., Wada M., Yokota A., Matsushita K. Engineering of Corynebacterium glutamicum as a prototrophic pyruvate-producing strain: characterization of a ramA-deficient mutant and its application for metabolic engineering. J. Biosci. Biotechnol. Biochem., 2019, Vol. 83, no. 2, pp. 372-380.
- Lappan R., Peacock C.S. Corynebacterium and Dolosigranulum: future probiotic candidates for upper respiratory tract infections. Microbiol. Aust., 2019, Vol. 40, no. 4, pp. 172-177. Nicias P. Multifunctional host defense peptides: Intracellular-targeting antimicrobial peptides. FEBS, 2009, Vol. 276, no. 22, pp. 6483-6496.
- Oppenheim J.J., Biragyn A., Kwak L.W., Yang D. Roles of antimicrobial peptides such as defensins in innate and adaptive immunity. Ann. Rheum. Dis., 2003, no. 62, pp. 17-21.
- Park S-C., Park Y., and Hahm K-S. The Role of Antimicrobial Peptides in Preventing Multidrug-Resistant Bacterial Infections and Biofilm Formation. Int. J. Mol. Sci., 2011, Vol. 12, no. 9, pp. 5971-5992.
- Pieters R.J., Arnusch C.J., Breukink E. Membrane permeabilization by multivalent anti-microbial peptides. Protein Pept. Lett., 2009, Vol. 16, no. 7, pp. 736-742.
- Stepanovic S., Vukovic D., Hola V., Djukic S., Cirkovic I., Ruzicka F. Quantification of biofilm in microtiter plates: overview of testing conditions and practical recommendations for assessment of biofilm production by staphylococci. APMIS, 2007, Vol. 115, no. 8, pp. 891-899.
- Zasada A.A., Mosie E. Contemporary microbiology and identifcation of Corynebacteria spp. causing infections in human. Lett. Appl. Microbiol., 2018, no. 66, pp. 472-483.
- Zasloff M. Antimicrobial peptides of multicellular organisms. Nature, 2002, no. 415 (6870), pp. 389-395.
Supplementary files





