Regulatory rheumatoid factor in rat model of Sjogren’s syndrome
- Authors: Ivanov P.V.1, Sidorov A.Y.1,2, Terentiev A.S.1,2, Cherepanov I.S.1
-
Affiliations:
- Udmurt State University
- Udmurt Federal Research Center, Ural Branch, Russian Academy of Sciences
- Issue: Vol 28, No 3 (2025)
- Pages: 443-448
- Section: SHORT COMMUNICATIONS
- Submitted: 25.03.2025
- Accepted: 25.05.2025
- Published: 18.09.2025
- URL: https://rusimmun.ru/jour/article/view/17134
- DOI: https://doi.org/10.46235/1028-7221-17134-RRF
- ID: 17134
Cite item
Full Text
Abstract
Earlier, we have revealed a novel factor regulating autoreactivity called regulatory rheumatoid factor (regRF), which is represented by a population of anti-idiotypic antibodies that have a common paratope specific to the PD1 molecule. RegRF exerts cytotoxic effect on activated PD-1+CD4 T lymphocytes and controls the lymphocyte expansion. Its production during the induction period prevents experimental autoimmune diseases in rats. The association between regRF and resistance to these disorders suggests that regRF stimulation may be an effective treatment of autoimmune diseases. Sjögren’s syndrome (SS) is an autoimmune disease that may accompany other autoimmune diseases or occur independently. Salivary gland (SG) lesions and lymphocytopenia may develop in SS. It is not known whether the regRF is a resistance factor to SS, and if the regRF stimulation may be used to treat this condition. The aim of this study was to clarify the role of regRF in ensuring resistance to Sjogrens syndrome in rats. SS was induced in Wistar rats by immunization with proteins isolated from murine SG. Blood samples were taken from the caudal vein each week before and after the immunization. Histological analysis of submandibular SG tissue was performed 12 weeks after the initial immunization. Autoantibodies to CD4 were detected in serum by ELISA; regRF levels were measured by agglutination of IgG-coated erythrocytes; CD3+, CD4+ and CD8+ lymphocyte counts were determined by flow cytometry in blood samples. 40% of rats immunized with mouse SG proteins, have developed SG lesions typical of sialoadenitis occurring in Sjogren’s syndrome. 50% of rats exhibited chronic lymphocytopenia (CD3, CD4 and CD8 cell populations) in response to immunization with mouse SG proteins. In rats with CD4 lymphocytopenia, no autoantibodies to CD4 have been found. An association has been found between a high level of regRF on day 7 following immunization with mouse SG proteins and resistance to sialadenitis in rats. However, lymphocytopenia did not depend on regRF production during induction of SS. Thus, regulatory rheumatoid factor is a preventive factor for sialoadenitis, but not to lymphocytopenia in rat model of Sjogren’s syndrome.
Full Text
Введение
Регуляторный ревматоидный фактор (регРФ) – популяция антиидиотипических антител, направленных к уникальным антигенсвязывающим участкам T- и В-клеточных рецепторов лимфоцитов. Особенностью регРФ, отличающих его от других антиидиотипических антител, является наличие общего паратопа, специфичного к молекуле PD-1 [2], обеспечивающего механизм иммуносупрессивного действия регРФ. регРФ оказывает цитотоксическое действие на активированные PD-1-экспрессирующие CD4-лимфоциты, которые при ряде аутоиммунных заболеваний выполняют основные эффекторные функции либо активируют CD8-лимфоциты [2, 7]. В экспериментальных моделях коллаген-индуцированного артрита, аутоиммунного энцефаломиелита и атеросклероза крыс продукция регРФ в период индукции заболевания предотвращает их развитие [1]. Стимуляции продукции регРФ Fc-фрагментами гомологичного IgG была применена для успешной терапии экспериментально-вызванных аутоиммунных заболеваний [6].
Синдром Шегрена (СШ) представляет собой хроническое системное аутоиммунное заболевание неизвестной этиологии. Как у людей, так и в экспериментальных моделях СШ характеризуется инфильтрацией и повреждением тканей слюнных желез (СЖ) CD4 Т-лимфоцитами и В-лимфоцитами [4]. Предполагается, что основными аутоиммунными мишенями при СШ являются ацинарные, вставочные и исчерченные протоковые эпителиальные клетки [9]. Примерно у 5% пациентов с СШ диагностируется идиопатическая CD4 Т-лимфоцитопения, не связанная с иммунодефицитом или терапией, влияющей на уровень CD4 Т-клеток. Кроме CD4-лимфоцитопении, может иметь место и снижение количества CD8 Т-лимфоцитов в периферической крови [8]. Типичными серологическими показателями при СШ являются гиперглобулинемия, анти-Ro/SSA антитела – у 33-74% и анти-La/SSB антитела – у 23-52%, антинуклеарные антитела – у 59-85%, ревматоидный фактор – у 36-74% пациентов [5].
Является ли регРФ фактором устойчивости крыс к развитию СШ и может ли быть использована стимуляция продукции регРФ для лечения СШ, неизвестно.
Целью работы было выяснение роли регРФ в модели СШ.
Материалы и методы
Для индукции СШ 6 крыс Wistar были иммунизированы внутрикожно белками СЖ мышей (по 100 мкг белка). Крысы получили 3 инъекции с интервалом в 1 неделю, первые две в составе ПАФ, третью – в составе НАФ. 3 крысы контрольной группы получили инъекцию ПАФ. До и после иммунизации у животных еженедельно забирали кровь, определяли уровень регРФ, аутоантител к CD4, количество CD3, CD4 и CD8 Т-лимфоцитов. Через 12 недель после первой иммунизации проводили гистологический анализ подчелюстных СЖ.
Гистологические срезы готовили по стандартной методике и окрашивали гематоксилином-эозином.
Белки для иммунизации готовили из СЖ мыши, смешивали с ПАФ или НАФ в соотношении 1:1 до получения стойкой эмульсии.
Кровь забирали из хвостовой вены под легкой эфирной анестезией перед иммунизацией и еженедельно в течение всего эксперимента.
Фенотипирование лимфоцитов проводили на проточном цитофлуориметре CytoFLEX Beckman Coulter в суспензии мононуклеров, выделенных из свежей крови на фиколле, после добавления к ним антител к CD3-PE/Elab Fluor® 594, к CD4- PE/Cyanine7, к CD8-PE/Cyanine5.5 (Elabscience).
РегРФ определяли в реакции пассивной гемагглютинации фиксированных танизированных нагруженных IgG-крысы эритроцитов человека.
IgG-крысы выделяли из сыворотки крови интактных крыс осаждением сульфатом аммония и эксклюзионной хроматографией.
Наличие и уровень антител к рекомбинантному CD4-белку крысы определяли методом непрямого твердофазного ИФА.
Статистический анализ проведен с использованием ПО GraphPad Prism. Различия считали значимыми при p < 0,05.
Результаты и обсуждение
Гистопатологические изменения в СЖ выявлены у 40% крыс. Обнаружены множественные очаги гиперплазии протокового эпителия, а также визуальное расширение зернистых протоков, что соответствует повреждению эпителия в них (рис. 1А). Выявленное увеличение просвета протоков характерно для неспецифического хронического сиалоаденита, развивающегося у пациентов с СШ [3]. Гиперплазия эпителия протоков, в свою очередь, служит показателем лимфоэпителиальных поражений, возникающих при СШ [3].
Рисунок 1. А, Б – срезы поднижнечелюстных слюнных желез крыс, иммунизированных гетерологичным гомогенатом слюнных желез мыши. А – крысы с гистопатологическими изменениями, подобными синдрому Шегрена. Б – крысы без изменений. Окраска – Н&Е. * – места разрушения эпителия зернистых протоков. Стрелки – очаги гиперплазии. В – кинетика регуляторного ревматоиного фактора у крыс с изменениями в слюнных железах, чувствительных к развитию сидрома Шегрена, и крыс без изменений в слюнных железах, резистентных к развитию сидрома Шегрена
Примечание. Каждая точка представлена как среднее ± SD. * – р < 0,05, критерий Манна–Уитни.
Figure 1. A, B, sections of the submandibular salivary glands of rats immunized with heterologous homogenate of mouse salivary glands. A, rats with histopathological changes similar to Sjogren’s syndrome B, rats without changes. Coloring, N&E. *, sites of destruction of the epithelium of granular ducts. Arrows, foci of hyperplasia. C, kinetics of regulatory rheumatoid factor in rats with changes in salivary glands sensitive to the development of Sjogren’s syndrome and rats without changes in salivary glands resistant to the development of Sjogren’s syndrome.
Note. Each point is represented as the average ± SD. *, p < 0.05, Mann–Whitney criterion.
На основании гистопатологической картины крысы были разделены на две группы – с изменениями в СЖ и без изменений.
Сравнительный анализ уровня регРФ в группах с изменениями в СЖ и без изменений показал, что у животных без изменений в СЖ происходило увеличение уровня регРФ на 7-й день после иммунизации белками-индукторами СШ (p ≤ 0,05), у крыс с изменениями в СЖ, характерными для СШ, уровень регРФ в ответ на иммунизацию не изменялся (рис. 1В). Таким образом, выявлена ассоциация между высоким уровнем регРФ в период индукции СШ и устойчивостью крыс к сиалоадениту.
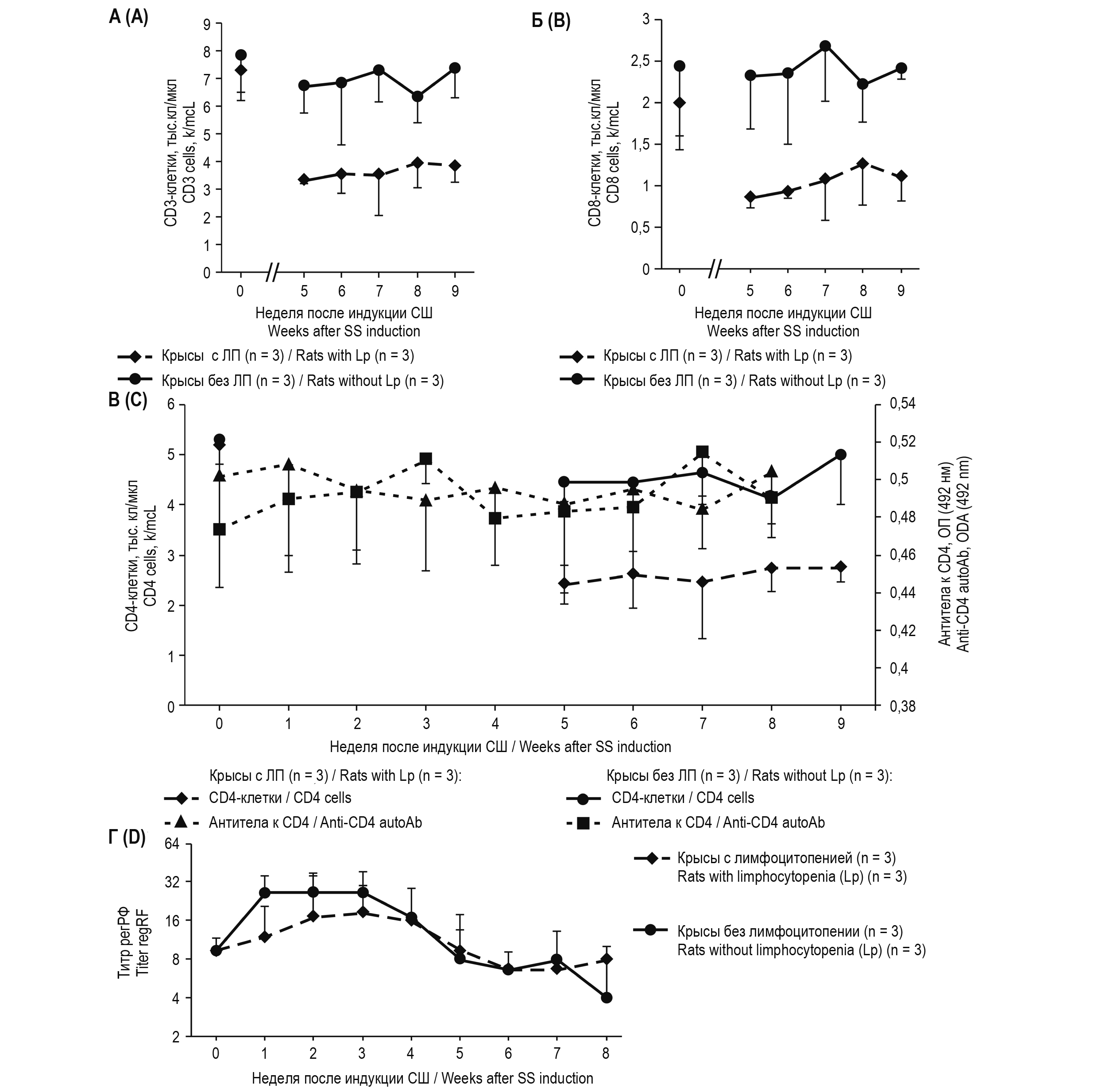
У половины крыс, иммунизированных белками СЖ мыши, выявлена хроническая лимфоцитопения (рис. 2А). Снижению подверглись и CD4 и CD8 Т-лимфоциты (рис. 2Б, В). Аутоантитела к CD4 не были найдены у крыс с CD4-лимфоцитопенией (рис. 2В). Возможно, аутоиммунная атака в модели Шегрена направлена против дифференцированных антигенов Т-лимфоцитов.
Рисунок 2. Количество CD3 Т-лимфоцитов (А), CD8 Т-лимфоцитов (Б) и CD4 Т-лимфоцитов (В) в крови крыс, иммунизированных гомогенатом слюнных желез мыши. Кинетика аутоантител к CD4 у крыс с CD4 Т-лимфоцитопенией и без нее (В). Кинетика регуляторного ревматоидного фактора у крыс с лимфоцитопенией и без нее (Г)
Примечание. Каждая точка представлена как среднее ± SD.
Figure 2. The number of CD3 T lymphocytes (A), CD8 T lymphocytes (B) and CD4 T lymphocytes (C) in the blood of rats immunized with mouse salivary gland homogenate. Kinetics of CD4 autoantibodies in rats with and without CD4 T-lymphocytopenia (B). Kinetics of regulatory rheumatoid factor in rats with and without lymphocytopenia (D)
Note. Each point is represented as the mean ± SD.
Чтобы выяснить, играет ли регРФ роль в обеспечении устойчивости крыс к развитию Т-лимфоцитопении, был проведен сравнительный анализ уровня регРФ у крыс с лимфоцитопенией и без нее. Обнаружено, что развитие Т-лимфоцитопении не зависит от продукции регРФ в период индукции СШ (рис. 2Г).
Выводы
В экспериментальной модели СШ крыс продукция регРФ в период индукции заболевания предотвращает развитие неспецифического хронического сиалоаденита, но не влияет на развитие Т-лимфоцитопении у крыс.
About the authors
Pavel V. Ivanov
Udmurt State University
Author for correspondence.
Email: aka.ven1k@gmail.com
PhD (Biology), Senior Researcher, Laboratory of Molecular and Cell Immunology
Russian Federation, Izhevsk, Udmurt RepublicA. Yu. Sidorov
Udmurt State University; Udmurt Federal Research Center, Ural Branch, Russian Academy of Sciences
Email: aka.ven1k@gmail.com
PhD (Biology), Senior Researcher, Laboratory of Molecular and Cell Immunology, Senior Researcher, Laboratory of Biocompatible Materials
Russian Federation, Izhevsk, Udmurt RepublicA. S. Terentiev
Udmurt State University; Udmurt Federal Research Center, Ural Branch, Russian Academy of Sciences
Email: aka.ven1k@gmail.com
Senior Researcher, Laboratory of Molecular and Cell Immunology, Researcher, Laboratory of Biocompatible Materials
Russian Federation, Izhevsk, Udmurt RepublicI. S. Cherepanov
Udmurt State University
Email: aka.ven1k@gmail.com
PhD (Chemistry), Associate Professor, Department of Fundamental and Applied Chemistry
Russian Federation, Izhevsk, Udmurt RepublicReferences
- Beduleva L., Menshikov I., Stolyarova E., Fomina K., Lobanova O., Ivanov P., Terentiev A. Rheumatoid factor in idiotypic regulation of autoimmunity. Int. J. Rheum. Dis., 2015, Vol. 18, no. 4, pp. 408-420.
- Khramova T., Beduleva L., Sidorov A., Terentiev A., Menshikov I. Regulatory rheumatoid factor is specific to PD-1 and Uses PD-1 pathway to control CD4 T lymphocytes. Immunol. Invest., 2023, Vol. 52, no. 7, pp. 897-908.
- Liao R., Yang H.T., Li H., Liu L.X., Li K., Li J.J., Liang J., Hong X.P., Chen Y.L., Liu D.Z. Recent advances of salivary gland biopsy in Sjögren’s Syndrome. Front. Med. (Lausanne), 2022, Vol. 8, 792593. doi: 10.3389/fmed.2021.792593.
- Negrini S., Emmi G., Greco M., Borro M., Sardanelli F., Murdaca G., Indiveri F., Puppo F. Sjögren’s syndrome: a systemic autoimmune disease. Clin. Exp. Med., 2022, Vol. 22, no. 1, pp. 9-25.
- Patel R., Shahane A. The epidemiology of Sjögren’s syndrome. Clin. Epidemiol., 2014, Vol. 6, pp. 247-255.
- Sidorov A., Beduleva L., Menshikov I., Terentiev A., Stolyarova E., Abisheva N. Fc fragments of immunoglobulin G are an inductor of regulatory rheumatoid factor and a promising therapeutic agent for rheumatic diseases. Int. J. Biol. Macromol., 2017, Vol. 95, pp. 938-945.
- Stolyarova E., Beduleva L., Menshikov I., Snigiryev A., Khramova T. Mechanism by which regulatory rheumatoid factor prevents experimental autoimmune encephalomyelitis. Endocr. Metab. Immune Disord. Drug Targets, 2018, Vol. 18, no. 6, pp. 596-601.
- Sudzius G., Mieliauskaite D., Siaurys A., Viliene R., Butrimiene I., Characiejus D., Dumalakiene I. Distribution of Peripheral Lymphocyte Populations in Primary Sjögren’s Syndrome Patients. J. Immunol. Res., 2015, Vol. 2015, 854706. doi: 10.1155/2015/854706.
- Yura Y., Hamada M. Outline of salivary gland pathogenesis of Sjögren’s Syndrome and current therapeutic approaches. Int. J. Mol. Sci., 2023, Vol. 24, no. 13, 11179. doi: 10.1371/10.3390/ijms241311179.
Supplementary files





