Diagnostic value of cytokines and microRNAs as biomarkers of necrotizing enterocolitis in term newborns with congenital heart defects
- Authors: Zaikova E.K.1, Kaplina A.V.1, Petrova N.A.1, Pervunina T.M.1, Kostareva A.A.1, Kalinina O.V.1,2
-
Affiliations:
- V. Almazov National Medical Research Centre
- Saint Petersburg Pasteur Institute
- Issue: Vol 28, No 3 (2025)
- Pages: 611-618
- Section: SHORT COMMUNICATIONS
- Submitted: 29.03.2025
- Accepted: 25.05.2025
- Published: 18.09.2025
- URL: https://rusimmun.ru/jour/article/view/17136
- DOI: https://doi.org/10.46235/1028-7221-17136-DVO
- ID: 17136
Cite item
Full Text
Abstract
Newborns with ductus-dependent congenital heart defects (CHD) are at increased risk of developing necrotizing enterocolitis (NEC), a severe inflammatory bowel disease. Given that early symptoms of NEC are nonspecific, an urgent task is to find specific diagnostic biomarkers both for diagnosing NEC and for stratifying the risk of its development and implementing preventive measures. Cytokines and microRNAs are promising NEC biomarkers since they regulate various biological processes. The aim of the study was to evaluate the diagnostic potential of the levels of 31 cytokines and three microRNAs as specific NEC biomarkers in blood plasma of newborns with CHD. The study included 38 term newborns with CHD who underwent cardiac surgery on the 8th (6-12) day of life, ten of whom developed NEC postoperatively. Cytokine levels in plasma samples from 28 newborns without NEC and 10 newborns with NEC were measured using the MILLIPLEX Human Cytokine/Chemokine/Growth Factor Panel A kit (MilliporeSigma, USA) with a MAGPIX instrument (Luminex, USA). Total RNA was isolated from plasma samples of 14 babies without NEC, and 10 newborns with NEC, using TRIzol LS reagent (Thermo Fisher Scientific, USA) with external synthetic control cel-miR-39-3p for subsequent data normalization. Expression levels of microRNA-155-5p, microRNA-221-3p, and microRNA-451a were measured using TaqMan MicroRNA Reverse Transcription Kit (Thermo Fisher Scientific, USA) and TaqMan MicroRNA Assays (Life Technologies, USA). In newborns with NEC, the levels of IL-8 and M-CSF were 1.6 (p = 0.037) and 12.6 (p = 0.006) times higher, respectively, than in newborns without NEC. The relative expression of miR-451a was 5 times lower in newborns with NEC than in newborns without NEC. No significant differences were found for the levels of other analyzed cytokines and microRNAs. The model including three biomarkers (miR-451a, IL-8 and M-CSF) has shown a high diagnostic potential (AUC = 0.901 with a sensitivity of 85.7% and a specificity of 84.6%) for the diagnosis of NEC in routine clinical practice.
Full Text
Введение
Новорожденные с дуктус-зависимыми врожденными пороками сердца (ВПС) находятся в группе повышенного риска развития некротизирующего энтероколита (НЭК) – тяжелого воспалительного заболевания кишечника. Клиническое течение дуктус-зависимых ВПС сопровождается гемодинамической нестабильностью, гипоксией, прогрессирующей сердечно-сосудистой недостаточностью, что является показанием для кардиохирургической коррекции в первые недели жизни. Частота развития НЭК у детей с ВПС, перенесших кардиохирургическое лечение, достигает 61%, а летальность – 24% [5].
Молекулярные механизмы патогенеза НЭК у новорожденных с ВПС мало изучены. Считается, что развитие НЭК у таких детей в основном ассоциировано с гипоперфузией и ишемией кишечника, системным воспалением, что приводит к продукции широкого спектра цитокинов, активации иммунных клеток, нарушению целостности эпителиального барьера и некрозу [11]. В последние годы в качестве сигнальных молекул, участвующих в патогенезе НЭК, рассматривают некодирующие регуляторные микроРНК (miR), регулирующие различные биологические процессы, в том числе воспаление, дифференцировку, активацию, хемотаксис и апоптоз иммунных клеток, посредством посттранскрипционной регуляции экспрессии генов.
Учитывая неспецифичность клинических проявлений при дебюте заболевания, высокую летальность и отсутствие специфической лабораторной диагностики, актуальной задачей является поиск специфических биомаркеров, позволяющих выявлять заболевание на ранних стадиях.
Цель исследования – оценить диагностический потенциал уровней цитокинов и микроРНК в плазме крови новорожденных с дуктус-зависимыми ВПС в качестве специфических биомаркеров НЭК.
Материалы и методы
В когортное исследование было включено 38 доношенных новорожденных (массой тела > 2500 г и сроком гестации > 37 нед.) с ВПС, родившихся и перенесших кардиохирургическое лечение на 8-е (6-12) сутки жизни в ФГБУ «НМИЦ им В.А. Алмазова» в 2019-2020 гг. На 3-и (1-5) сутки после операции у 10 новорожденных на основе клинических симптомов, рентгенологических и лабораторных данных был диагностирован НЭК (стадия IIA – 9 детей, IIIA – 1 ребенок, согласно классификации M. Bell в модификации M. Walsh и R. Kliegman).
Исследование было выполнено в соответствии с принципами Хельсинкской декларации и одобрено этическим комитетом Национального медицинского исследовательского центра им. В.А. Алмазова (протокол № 1702-21 от 15 февраля 2021). Письменное информированное согласие было получено от родителей всех новорожденных, включенных в исследование.
Взятие образцов периферической крови осуществляли в стерильные пробирки с К3-ЭДТА на 6-е (5-7-е) сутки после операции. Образцы плазмы крови получали двухэтапным центрифугированием цельной крови, при 1500g в течение 15 минут и хранили при температуре -40 °C до использования.
Определение уровней (пг/мл) интерлейкинов IL-1α, IL-1β, IL-1ra, IL-2, IL-3, IL-4, IL-5, IL-6, IL- 7, IL-8 (CXCL8), IL-9, IL-10, IL-12p40, IL- 12p70, IL-13, IL-15, IL-17A, IL-17E/IL-25, IL- 17F, IL-18, IL-22, IL-27 и факторов роста G-CSF (колониестимулирующий фактор гранулоцитов), M-CSF (макрофагальный колониестимулирующий фактор), GM-CSF (гранулоцитарно-макрофагальный колониестимулирующий фактор), VEGF-A (васкулоэндотелиальный фактор роста), PDGF-AA, AB/BB (факторы роста тромбоцитов), FGF-2 (фактор роста фибробластов-2), EGF (эпидермальный фактор роста) и TGFα (трансформирующий фактор роста) в образцах плазмы крови, полученных от 28 новорожденных без НЭК и 10 новорожденных с НЭК, проводили с использованием набора MILLIPLEX Human Cytokine/Chemokine/Growth Factor Panel A (MilliporeSigma, США) на приборе MAGPIX (Luminex, США).
Выделение РНК из образцов плазмы крови, полученных от 14 новорожденных без НЭК и 10 новорожденных с НЭК, проводили реагентом TRIzol LS (Thermo Fisher Scientific, США) с добавлением внешнего синтетического контроля cel-miR-39-3p для последующей нормализации данных, как описано ранее [8]. Определение уровней экспрессии микроРНК-155-5р, микроРНК-221-3р и микроРНК-451а проводили наборами The TaqMan MicroRNA Reverse Transcription Kit (Thermo Fisher Scientific, США) и TaqMan MicroRNA Assays (Assay ID 002623, 000524, 001141 и 000200) (Life Technologies, США). Для расчета применяли метод 2-ΔΔCt.
Статистическую обработку данных выполняли в программах Statistica 10.0 (StatSoft, США), MedCalc 23.0.2 (MedCalc Software Ltd, Бельгия) и Prism 9 (GraphPad, США). Качественные показатели представляли в виде абсолютных (n) и относительных (%) частот, количественные – в виде медианы (Me) и интерквартильного размаха (Q0,25-Q0,75). Статистическую значимость различий качественных переменных оценивали точным критерием Фишера, количественных – U-критерием Манна–Уитни. Оценку диагностической значимости биомаркеров проводили методом анализа ROC-кривых, рассчитывая значение площади под кривой (ППК) и пороговый уровень по индексу Юдена. Для разработки диагностических моделей применяли метод логистической регрессии. Различия считали статистически значимыми при р < 0,05.
Результаты и обсуждение
Статистический анализ не выявил достоверных отличий по полу, гестационному возрасту, весу при рождении, оценке Апгар, пороку сердца и по стандартным лабораторным показателям между новорожденными с ВПС и новорожденными с ВПС + НЭК (табл. 1).
Таблица 1. Клинико-лабораторная характеристика доношенных новорожденных с дуктус-зависимыми ВПС в зависимости от развития НЭК в послеоперационном периоде
Table 1. Clinical and laboratory characteristics of term newborns with ductus-dependent congenital heart defects depending on the NEC development in the postoperative period
Параметры / Parameters | ВПС / CHD (n = 28) | ВПС + НЭК / CHD + NEC (n = 10) | p | |
Клинические данные / Clinical data | ||||
Пол Sex | Девочка (11) Girl (11) | 10 (36%) | 1 (10%) | 0,225 |
Мальчик (27) Boy (27) | 18 (64%) | 9 (90%) | ||
Гестационный возраст, недели (38) Gestational age, wk (38) | 39 (38-40) | 39 (38-39) | 0,334 | |
Вес при рождении, г (38) Birth weight, g (38) | 3495 (3000-3815) | 3235 (3020-3620) | 0,334 | |
Оценка по Апгар на 1-й минуте (38) Apgar score at the 1st minute (38) | 7 (7-7) | 7 (7-7) | 1,0 | |
Оценка по Апгар на 5-й минуте (38) Apgar score at the 5th minute (38) | 8 (7-8) | 8 (8-8) | 0,286 | |
Порок сердца Heart defect | Цианотический (25) Cyanotic (25) | 18 (64%) | 7 (70%) | 1,0 |
Ацианотический (13) Acyanotic (13) | 10 (36%) | 3 (30%) | ||
Лабораторные показатели / Laboratory parameters | ||||
Гемоглобин, г/л Hemoglobin, g/L | 134 (119-149) | 123 (109-143) | 0,334 | |
Эритроциты, × 1012/л Erythrocytes, × 1012/L | 4,3 (3,8-4,8) | 4,0 (3,6-4,9) | 0,482 | |
Тромбоциты, × 109/л Platelets, × 109/L | 325 (210-472) | 302 (232-421) | 0,660 | |
Лейкоциты, × 109/л Leukocytes, × 109/L | 12,8 (11,5-15,4) | 11,3 (8,5-19,4) | 0,613 | |
Палочкоядерные нейтрофилы, % Band neutrophils, % | 1,0 (0,5-3,0) | 1,0 (1,0-2,0) | 0,404 | |
Сегментоядерные нейтрофилы, % Segmented neutrophils, % | 56,5 (45,5-64,5) | 50,0 (44,0-58,0) | 0,442 | |
Эозинофилы, % Eosinophils, % | 3,0 (1,5-6,5) | 5,0 (0,0-10,0) | 0,935 | |
Лимфоциты, % Lymphocytes, % | 25,0 (16,0-32,0) | 23,5 (14,0-30,0) | 0,660 | |
С-реактивный белок, мг/л C-reactive protein, mg/L | 9,1 (5,5-19,7) | 4,9 (2,8-18,0) | 0,194 | |
Иммунологические показатели / Immunological parameters | ||||
IL-8, пг/мл IL-8, pg/mL | 5,87 (4,39-10,06) | 9,18 (7,36-20,51) | 0,037 | |
M-CSF, пг/мл M-CSF, pg/mL | 5,71 (0,00-61,62) | 71,71 (47,47-152,14) | 0,006 | |
miR-451a, у. е. miR-451a, c. u. | 0,25 (0,12-0,55) | 0,05 (0,02-0,11) | 0,014 | |
Примечание. Достоверность различий качественных переменных оценивали точным критерием Фишера, количественных – по U-критерию Манна–Уитни – p < 0,05
Note. The reliability of differences in qualitative variables was assessed using Fisher’s exact test, and quantitative variables were assessed using the Mann–Whitney U test, p < 0.05.
Анализ уровня 31 цитокина плазмы крови показал, что IL-1β, IL-3, IL-22 и GM-CSF в более 80% образцов имели значения ниже определяемого уровня. Среди оставшихся 27 цитокинов только уровни IL-8 и M-CSF были статистически значимо выше в 1,6 (р = 0,037) и 12,6 (р = 0,006) раз соответственно, у новорожденных с ВПС + НЭК по сравнению с новорожденными с ВПС без НЭК (табл. 1).
IL-8 – провоспалительный хемокин, ключевая роль которого состоит в привлечении нейтрофилов в очаг воспаления [2]. M-CSF регулирует поляризацию макрофагов в сторону противовоспалительного фенотипа, а также стимулирует дифференцировку и созревание ворсинок кишечника, удлиняя их поверхность [3, 10]. Таким образом, можно предположить, что повышение уровня IL-8 у новорожденных с ВПС + НЭК может влиять на более активное привлечение нейтрофилов в очаг воспаления, формирование нейтрофильных ловушек и усиление воспалительного ответа; а высокий уровень M-CSF за счет стимуляции роста ворсинок кишечника может способствовать увеличению области воспаления. Повышение уровня IL-8 у недоношенных новорожденных в раннем неонатальном периоде было также ассоциировано с риском развития НЭК [1].
Анализ уровня экспрессии микроРНК в образцах плазмы крови показал, что две группы новорожденных отличались друг от друга только по уровню экспрессии miR-451a, которая была в 5 раз ниже (р = 0,014) у новорожденных с НЭК (табл. 1).
МiR-451 является важнейшим регулятором многочисленных сигнальных путей, в том числе участвует в эритропоэзе и модулирует продукцию цитокинов дендритными клетками [9]. На мышиной модели ревматоидного артрита установлено, что повышенные уровни miR-451a ингибируют хемотаксис нейтрофилов [6]. На клетках микроглии доказано, что miR-451a оказывает противовоспалительные эффекты посредством ингибирования NLRP3-индуцированных провоспалительных каскадов [4]. Таким образом, можно предположить, что высокий уровень miR- 451a снижает воспаление и может служить защитным механизмом против развития НЭК у доношенных новорожденных с ВПС.
Повышенный уровень miR-451 был обнаружен в тканях кишечника недоношенных новорожденных с НЭК [7]. Учитывая, что у недоношенных, кишечник функционально незрелый, молекулярные механизмы НЭК у доношенных новорожденных с ВПС могут значительно отличаться от таковых у недоношенных новорожденных, а повышенные уровни miR-451, у недоношенных новорожденных, вероятно, связаны с продолжающимся формированием функционально зрелого кишечника.
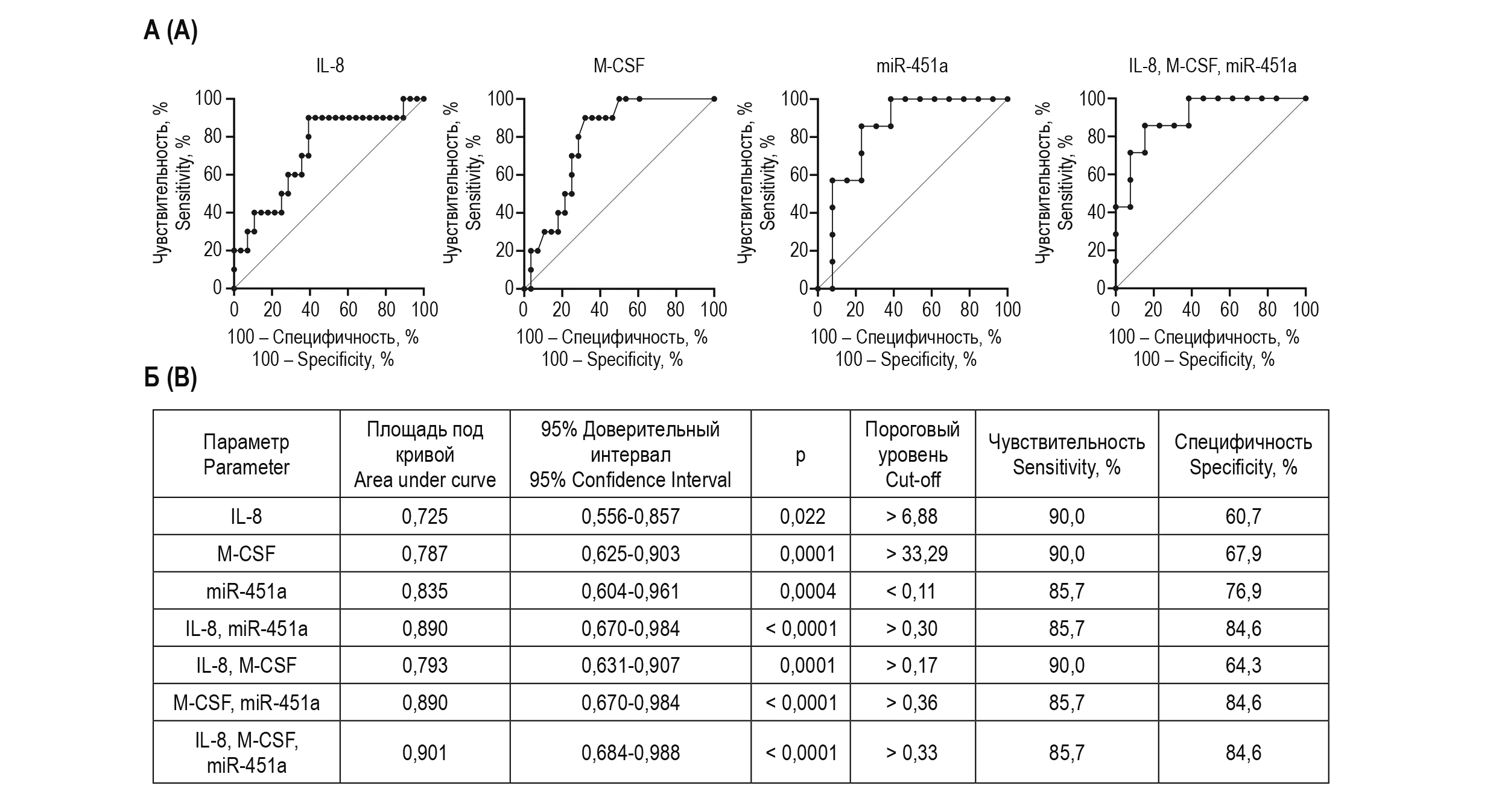
С целью определения диагностической значимости идентифицированных биомаркеров был проведен ROC-анализ, с определением пороговых уровней и соответствующих им значений чувствительности и специфичности (рис. 1). Наибольшую диагностическую ценность продемонстрировала модель, включающая все 3 биомаркера (ППК = 0,901, с чувствительностью 85,7% и специфичностью 84,6%. Тогда как модель, включающая только цитокины IL-8 и M-CSF, имела уровень ППК = 0,793 с чувствительностью 90,0%, но низкой специфичностью – 64,3%.
Рисунок 1. ROC-анализ уровней IL-8, M-CSF, miR-451a и их комбинации у доношенных новорожденных с ВПС и ВПС + НЭК
Выводы
Модель, включающая три биомаркера miR- 451a, IL-8 и M-CSF, обладает высоким диагностическим потенциалом (ППК = 0,901 с чувствительностью 85,7% и специфичностью 84,6%) для диагностики НЭК в рутинной клинической практике.
About the authors
E. K. Zaikova
V. Almazov National Medical Research Centre
Author for correspondence.
Email: Catherine3452@yandex.ru
Junior Researcher of the Research Institute of Microvesicular Signaling, Institute of Molecular Biology and Genetics
Russian Federation, St. PetersburgA. V. Kaplina
V. Almazov National Medical Research Centre
Email: Catherine3452@yandex.ru
Junior Researcher of the Research Laboratory of Physiology and Diseases of Newborns, Institute of Perinatology and Pediatrics, Neonatologist of Department of Neonatal Physiology with an ICU Ward, Perinatal Centre
Russian Federation, St. PetersburgN. A. Petrova
V. Almazov National Medical Research Centre
Email: Catherine3452@yandex.ru
PhD, Associate Professor, Head of the Research Laboratory of Physiology and Diseases of Newborns, Institute of Perinatology and Pediatrics
Russian Federation, St. PetersburgTatiana M. Pervunina
V. Almazov National Medical Research Centre
Email: Catherine3452@yandex.ru
MD, Professor, Director of the Institute of Perinatology and Pediatrics
Russian Federation, St. PetersburgA. A. Kostareva
V. Almazov National Medical Research Centre
Email: Catherine3452@yandex.ru
MD, Professor of the Department of Faculty Therapy with the Clinic of the Institute of Medical Education, Director of the Institute of Molecular Biology and Genetics
Russian Federation, St. PetersburgO. V. Kalinina
V. Almazov National Medical Research Centre; Saint Petersburg Pasteur Institute
Email: Catherine3452@yandex.ru
DSc., Professor of the Department of Laboratory Medicine with Clinic of the Institute of Medical Education, Leading Researcher of the Institute of Molecular Biology and Genetics, Leading Researcher of the Research Laboratory of Molecular Epidemiology and Genetics Evolution
Russian Federation, St. Petersburg; St. PetersburgReferences
- Никитина И.В., Ленюшкина А.А., Крог-Йенсен О.А., Пупышева А.Ф., Кречетова Л.В., Инвияева Е.В., Савельева Е.И., Зубков В.В., Дегтярев Д.Н., Байбарина Е.Н. Прогностическая значимость исследования уровня цитокинов плазмы крови в раннем неонатальном периоде в отношении некротизирующего энтероколита у недоношенных новорожденных // Неонатология: новости, мнения, обучение, 2024. Т. 12, № 4. С. 8-22. [Nikitina I.V. Lenyushkina A.A., Krogh-Jensen O.A., Pupysheva A.F., Krechetova L.V., Inviyaeva E.V., Savelyeva E.I., Zubkov V.V., Degtyarev D.N., Baybarina E.N. The value of plasma cytokines within the early neonatal period for predicting necrotizing enterocolitis in preterm infants. Neonatologiya: novosti, mneniya, obuchenie = Neonatology: News, Opinions, Training, 2024, Vol. 12, no. 4, pp. 8-22. (In Russ.)]
- Akdis M., Burgler S., Crameri R., Eiwegger T., Fujita H., Gomez E., Klunker S., Meyer N., O’Mahony L., Palomares O., Rhyner C., Quaked N., Schaffartzik A., Van De Veen W., Zeller S., Zimmermann M., Akdis C.A. Interleukins, from 1 to 37, and interferon-γ: Receptors, functions, and roles in diseases. J. Allergy Clin. Immunol., 2011, Vol. 127, no. 3, pp. 701-721.
- Douglass T.G., Driggers L., Zhang J.G., Hoa N., Delgado C., Williams C.C., Dan Q., Sanchez R., Jeffes E.W.B., Wepsic H.T., Myers M.P., Koths K., Jadus M.R. Macrophage colony stimulating factor: Not just for macrophages anymore! A gateway into complex biologies. Int. Immunopharmacol., 2008, Vol. 8, no. 10, pp. 1354-1376.
- Hong Z., Cheng J., Ye Y., Chen X., Zhang F. MicroRNA-451 Attenuates the inflammatory response of activated microglia by downregulating nucleotide binding oligomerization domain-like receptor protein 3. World Neurosurg., 2022, Vol. 167, pp. e1128-e1137.
- Lau P.E., Cruz S.M., Ocampo E.C., Nuthakki S., Style C.C., Lee T.C., Wesson D.E., Olutoye O.O. Necrotizing enterocolitis in patients with congenital heart disease: A single center experience. J. Pediatr. Surg., 2018, Vol. 53, no. 5, pp. 914-917.
- Murata K., Yoshitomi H., Furu M., Ishikawa M., Shibuya H., Ito H., Matsuda S. MicroRNA-451 down-regulates neutrophil chemotaxis via p38 MAPK. Arthritis Rheumatol., 2014, Vol. 66, no. 3, pp. 549-559.
- Ng P.C., Chan K.Y.Y., Leung K.T., Tam Y.H., Ma T.P.Y., Lam H.S., Cheung H.M., Lee K.H., To K.F., Li K. Comparative MiRNA expressional profiles and molecular networks in human small bowel tissues of necrotizing enterocolitis and spontaneous intestinal perforation. PLoS One, 2015, Vol. 10, no. 8, e0135737. doi: 10.1371/journal.pone.0135737.
- Petrova T., Kalinina O., Aquino A., Grigoryev E., Dubashynskaya N., Zubkova K., Kostareva A., Golovkin A. Topographic Distribution of miRNAs (miR-30a, miR-223, miR-let-7a, miR-let-7f, miR-451, and miR-486) in the Plasma Extracellular Vesicles. Noncoding RNA, 2024, Vol. 10, no. 1, 15. doi: 10.3390/ncrna10010015.
- Rosenberger C.M., Podyminogin R.L., Navarro G., Zhao G.W., Askovich P.S., Weiss M.J., Aderem A. miR- 451 regulates dendritic cell cytokine responses to influenza infection. J. Immunol., 2012, Vol. 189, no. 12, pp. 5965-5975.
- Ushach I., Zlotnik A. Biological role of granulocyte macrophage colony-stimulating factor (GM-CSF) and macrophage colony-stimulating factor (M-CSF) on cells of the myeloid lineage. J. Leukoc. Biol., 2016, Vol. 100, no. 3, pp. 481-489.
- van der Heide M., Mebius M.J., Bos A.F., Roofthooft M.T.R., Berger R.M.F., Hulscher J.B.F., Kooi E.M.W. Hypoxic/ischemic hits predispose to necrotizing enterocolitis in (near) term infants with congenital heart disease: a case control study. BMC Pediatr., 2020, Vol. 20, no. 1, 553. doi: 10.1186/s12887-020-02446-6.
Supplementary files




