Аssessing feasibility of simultaneous evaluation of glycolysis and oxidative phosphorylation using Seahorse XF test kits
- Authors: Ponomareva V.N.1,2, Vlasova V.V.1,2
-
Affiliations:
- Institute of Ecology and Genetics of Microorganisms, Perm Federal Research Center, Ural Branch, Russian Academy of Sciences
- Perm State National Research University
- Issue: Vol 28, No 3 (2025)
- Pages: 573-578
- Section: SHORT COMMUNICATIONS
- Submitted: 28.03.2025
- Accepted: 25.05.2025
- Published: 18.09.2025
- URL: https://rusimmun.ru/jour/article/view/17152
- DOI: https://doi.org/10.46235/1028-7221-17152-AFO
- ID: 17152
Cite item
Full Text
Abstract
Metabolism is essential for proliferation and function of immune cells. Many enzymatic processes, primarily glycolysis and oxidative phosphorylation (OXPHOS), enable energy production and generate intermediates critical for synthesizing proteins, lipids, and nucleotides. Modern metabolic studies increasingly employ the Seahorse XF analyzer which measures extracellular acidification and oxygen consumption in real time, providing dynamic insights into glycolytic and OXPHOS rates. To assess these parameters, researchers typically use the Glycolytic Rate Assay Kit and Cell Mito Stress Test Kit. While these kits share some components, their simultaneous use for multi-pathway analysis is not standardized, resulting in increased labor, costs and sample requirements, as well as higher risks of data processing errors. The aim of this study was to evaluate the feasibility of combining these kits in order to measure glycolysis and OXPHOS in simultaneous mode using the Seahorse XF assay kits. Three experimental approaches were tested: 1) Glycolytic Rate Assay; 2) Cell Mito Stress Test; 3) combined protocol involving sequential addition of inhibitor solutions from both kits. Our experiments have shown that combining the tests does not affect the baseline measurements of glycolysis and OXPHOS. Other parameters, such as the maximum glycolytic and respiration rates, compensatory glycolysis, and reserved respiratory capacity, were also comparable to individual assay results in combined analyses. When combining the reagent components from Glycolytic Rate Assay Kit and Cell Mito Stress Test Kit, one may perform simultaneous analysis of a wide range of metabolic parameters in immune cells, ranging from baseline glycolysis and OXPHOS values to its peak values, as well as reserve glycolysis and OXPHOS capacities. This approach provides data quality while reducing the required sample material and minimizing processing errors. The use of a combined protocol creates an opportunity for in-depth studies of metabolic aspects of immune cell activation and proliferation as well as tumor cell biology.
Full Text
Введение
Метаболизм поддерживает функциональную активность и пролиферацию всех клеток организма, в том числе клеток иммунной системы [8]. Он представляет собой комплекс ферментативных реакций, объединенных в различные обменные процессы, такие как гликолиз, цикл трикарбоновых кислот, окислительное фосфорилирование, пентозофосфатный цикл, цикл метионина и многие другие [6]. Эти в основном взаимозависимые метаболические пути позволяют клеткам производить энергию, а также компоненты для синтеза белков, липидов и нуклеотидов, необходимые для эффективного функционирования иммунных клеток. При этом магистральными биоэнергетическими путями иммуноцитов являются гликолиз и окислительное фосфорилирование.
Для анализа показателей гликолиза и окислительного фосфорилирования разработаны различные методы [1, 5, 7]. Среди них новейшим является детекция внеклеточных потоков с использованием анализатора Seahorse XF (Agilent Technologies, США). Данный прибор способен в режиме реального времени оценивать уровень внеклеточного закисления (англ. extracellular acidification rate, ECAR) и потребления кислорода (англ. oxygen consumption rate, OCR) – показатели, отражающие интенсивность гликолиза и окислительного фосфорилирования соответственно.
Для исследования гликолиза на анализаторе Seahorse XF производителем разработан специальный тест-набор Glycolytic Rate Assay Kit (Agilent Technologies, США) [4]. В его состав входят ротенон (Rot), антимицин А (АА) и 2-дезокси-D-глюкоза (2-DG). В ходе исследования анализатор Seahorse XF фиксирует базальные показатели ECAR, после чего автоматически вносит к клеткам раствор, содержащий смесь Rot/AA – ингибиторов комплексов I и III электорон-транспортной цепи (ЭТЦ) митохондрий. Эти вещества подавляют митохондриальное дыхание, что обычно приводит к увеличению скорости гликолиза до максимально возможных для исследуемых клеток значений. Затем к клеткам вносится аналог глюкозы 2-DG, который ограничивает скорость гликолиза до минимальных значений путем конкурентного связывания с гексокиназой. Разница между максимальными и минимальными показателями закисления среды отражает гликолитический потенциал клеток.
Для исследования окислительного фосфорилирования на анализаторе Seahorse XF производителем также разработан тест-набор Cell Mito Stress Test Kit (Agilent Technologies, США) [4]. В его состав входят олигомицин, карбонилцианид-4 (трифторметокси) фенилгидразон (FCCP) и смесь Rot/AA. В процессе исследования анализатор Seahorse XF фиксирует показатель OCR на базальном уровне, после чего автоматически вносит к клеткам ингибитор АТФ-синтазы – олигомицин. В его присутствии интенсивность дыхания, сопряженного с синтезом АТФ, снижается, а скорость потребления кислорода падает. Последующее добавление протонофора FCCP приводит к утечке протонов и снижению трансмембранного потенциала митохондрий, в результате чего потребление кислорода усиливается до максимально возможного для этих клеток значений. На последнем этапе смесь ингибиторов Rot/ AA угнетает работу ЭТЦ. Такое исследование позволяет получить информацию не только об активности окислительного фосфорилирования, но и о резервной дыхательной емкости клеток.
Хотя некоторые компоненты двух наборов идентичны друг другу, их комбинирование для единовременного исследования нескольких метаболических путей не предусмотрено, что увеличивает трудоемкость и стоимость разностороннего исследования, повышает требования к количеству биоматериала и вероятность ошибки при его обработке. Цель работы – оценить возможность одновременного исследования гликолиза и окислительного фосфорилирования с использованием тест-наборов Seahorse XF.
Материалы и методы
В исследовании приняли участие здоровые добровольные доноры крови (n = 4) в возрасте 25-32 лет. Были использованы три варианта тестов: 1) Glycolytic Rate Assay; 2) Cell Mito Stress Test; 3) комбинированный тест, подразумевающий последовательное внесение 4 растворов ингибиторов: олигомицина, FCCP, Rot/AA и 2-DG.
Кровь в объеме до 36 мл забирали из локтевой вены в пробирки, обработанные этилендиаминтетрауксусной кислотой (Guangzhou Improve Medical Instruments Co., Ltd, Китай). Мононуклеарные клетки выделяли с использованием стандартного протокола путем центрифугирования периферической крови в градиенте плотности Диаколла (1,077 г/мл, ООО «Диаэм», Россия) и отмывания полученных образцов раствором фосфатно-солевого буфера Дульбекко (DPBS; Gibco, США). Для проведения исследования клетки ресуспендировали в среде XF RPMI Medium (Agilent Technologies, США), содержащей 10 мМ глюкозы (Sigma, США), 2 мМ глутамина (ООО «Диаэм», Россия) и 1 мМ пирувата натрия (Sigma, США). Затем вносили по 40 мкл (200 тыс.) ресуспендированных клеток в лунки микропланшета Seahorse XF (Agilent Technologies, США), предварительно обработанные поли-D-лизином (Sigma, США): в среднем по 8 лунок для каждого донора на один тест. Для образования монослоя клеток планшет центрифугировали в течение 4 мин при 200 g (Ac 4, Dc 1). После этого доводили объем до 150 мкл средой XF RPMI Medium. Планшет инкубировали 60 мин при +37 °С в термостате. Растворы ингибиторов загружали в порты гидратированного сенсорного картриджа согласно схеме (табл. 1).
Таблица 1. Схема загрузки портов картриджа для трех тестов
Table 1. Cartridge port loading scheme for three tests
Порт картриджа Cartridge port | Анализ гликолитической скорости Glycolytic Rate Assay | Тест на стресс митохондрий Cell Mito Stress Test | Комбинированный тест Combined test | |||
Ингибитор Inhibitor | Конечная концентрация, мкМ Final concentration, µM | Ингибитор Inhibitor | Конечная концентрация, мкМ Final concentration, µM | Ингибитор Inhibitor | Конечная концентрация, мкМ Final concentration, µM | |
Порт A Port A | Rot/AA | 0,5 | Олигомицин Oligomycin | 2,0 | Олигомицин Oligomycin | 2,0 |
Порт B Port B | 2-DG | 50,0 | FCCP | 2,5 | FCCP | 2,5 |
Порт C Port C | – | – | Rot/AA | 0,5 | Rot/AA | 0,5 |
Порт D Port D | – | – | – | – | 2-DG | 50,0 |
Примечание. Rot/AA – ротенон/антимицин А; 2-DG – 2-дезокси-D-глюкоза; FCCP – карбонилцианид-4 (трифторметокси)фенилгидразон.
Note. Rot/AA, rotenone/antimycin A; 2-DG, 2-deoxy-D-glucose; FCCP, carbonyl cyanide-4 (trifluoromethoxy)phenylhydrazone.
Технические повторности для каждого донора усредняли. Достоверность различий между группами устанавливали с использованием t-критерия Уэлча. Различия считали статистически значимыми при р < 0,05. Проведение статистических расчетов осуществляли при помощи программного обеспечения GraphPad Prism 8 (GraphPad Software, США). Данные на графиках представлены в виде средних и стандартных ошибок средних.
Результаты и обсуждение
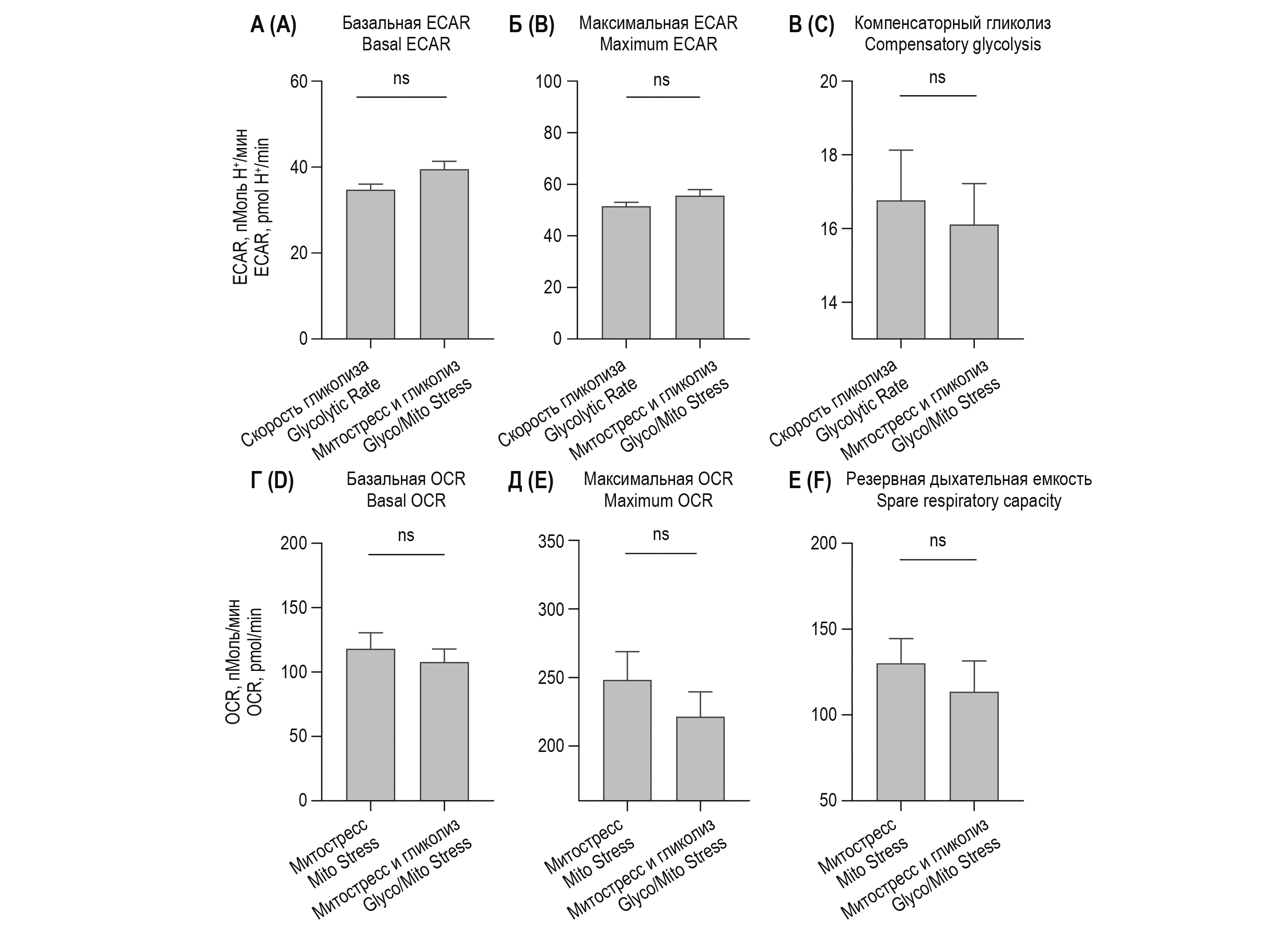
Было установлено, что объединение тестов Glycolytic Rate Assay и Cell Mito Stress Test не оказывает статистически значимого влияния на фиксируемые показатели гликолиза и окислительного фосфорилирования. Так, при оценке базальных значений – до воздействия ингибиторов – как ECAR, так и OCR в оригинальных тестах не отличались от комбинированного варианта (p < 0,05) (рис. 1А, Г). Базальные ECAR и OCR позволяют оценить потребность в энергии у клеток в исходных условиях. Отсутствие статистически значимых различий между результатами оригинального и комбинированного тестов подтверждает обоснованность использования данных, полученных после введения ингибиторов, для последующих сравнительных анализов.
Рисунок 1. Сравнение параметров гликолиза и окислительного фосфорилирования при проведении оригинальных и комбинированных тестов. Примечание. Указаны средние и стандартные ошибки средних. Достоверность различий между группами устанавливали с использованием t-критерия Уэлча.
Установлено, что максимальная скорость гликолиза, рассчитанная как разница между показателями, полученными после добавления Rot/AA и 2-DG, в комбинированном тесте не отличается от таковой в оригинальном тесте Glycolytic Rate Assay (p < 0,05; рис. 1Б). В свою очередь, максимальная скорость окислительного фосфорилирования, определяемая как разница между измерениями после введения FCCP и Rot/AA, в комбинированном тесте также не отличается от значений Cell Mito Stress Test (p < 0,05) (рис. 1Д).
Сравнительный анализ выявил отсутствие статистически значимых различий в параметрах компенсаторного гликолиза и резервной дыхательной емкости (англ. Spare respiratory capacity, SRC) между оригинальными и комбинированными тестами (p < 0,05; рис. 1В, Е). Оба показателя рассчитывались как разница между максимальными и базальными значениями.
Таким образом, с использованием системы Seahorse XF возможно проводить анализ гликолиза и окислительного фосфорилирования одновременно. Отсутствие статистически значимых различий между раздельными и комбинированными тестами подтверждает возможность их мультиплексирования без потери точности. Это приобретает особую значимость в контексте изучения патологических состояний клеток и организма, учитывая, что метаболические нарушения нередко свидетельствуют о клеточной дисфункции [3]. Так, измерение максимальной гликолитической и дыхательной емкости служит инструментом для оценки адаптационного потенциала клеток. В исследовании мутантных клеток PITX2, ассоциированных с мерцательной аритмией, анализ максимальных значений ECAR выявил сохранение гликолитического пути в мутантных кардиомиоцитах предсердий на уровне контроля [2]. Однако при воздействии FCCP или β-адренергической стимуляции эти клетки демонстрировали недостаточную биоэнергетическую эффективность, что указывает на нарушение функции митохондрий. Расчет компенсаторного гликолиза и SRC позволяет анализировать метаболические резервы клеток и их стрессоустойчивость. Например, в модели гиперинсулинемии и гипергликемии у клапанных интерстициальных клеток отмечено синхронное увеличение как компенсаторного гликолиза, так и резервной дыхательной емкости при нормальном уровне глюкозы с гиперинсулинемией, а также при изолированной гипергликемии [9]. Эти данные, наряду с базальными и максимальными значениями ECAR и OCR, позволили сделать вывод, что гликолитическая и митохондриальная функции клапанных интерстициальных клеток не нарушается в условиях диабета.
Выводы
Таким образом, одновременное использование компонентов тест-наборов Glycolytic Rate Assay Kit и Cell Mito Stress Test Kit обеспечивает комплексный анализ метаболических параметров иммунных клеток, включая базальные, максимальные и резервные показатели гликолиза и окислительного фосфорилирования. Комбинированный тест демонстрирует сохранение точности результатов при сокращении объема биологического материала и минимизации ошибок, связанных с его обработкой. Это, в свою очередь, может привести к снижению экономических затрат, оптимизации временных ресурсов и повышению эффективности метаболических исследований. Комплексный подход в измерении гликолиза и окислительного фосфорилирования может найти широкое применение в анализе функциональных различий между клеточными популяциями, а также в оценке влияния фармакологических агентов и других факторов на их метаболическую активность. Кроме того, комбинированный подход позволит эффективно исследовать метаболические аспекты активации и пролиферации иммунных клеток, а также клеток опухолей.
Благодарности
Авторы выражают глубокую благодарность заведующей лабораторией молекулярной иммунологии ИЭГМ УрО РАН Е.В. Сайдаковой.
About the authors
Valeria N. Ponomareva
Institute of Ecology and Genetics of Microorganisms, Perm Federal Research Center, Ural Branch, Russian Academy of Sciences; Perm State National Research University
Author for correspondence.
Email: ponomarievaVN@yandex.ru
Junior Researcher, Laboratory of Molecular Immunology; Laboratory Assistant, Department of Microbiology and Immunology
Russian Federation, Perm; PermV. V. Vlasova
Institute of Ecology and Genetics of Microorganisms, Perm Federal Research Center, Ural Branch, Russian Academy of Sciences; Perm State National Research University
Email: ponomarievaVN@yandex.ru
Junior Researcher, Laboratory of Molecular Immunology; Engineer, Department of Microbiology and Immunology
Russian Federation, Perm; PermReferences
- Радыгина Т.В., Петричук С.В., Курбатова О.В., Купцова Д.Г., Потапов А.С. Определение ферментов гликолиза и окислительного фосфорилирования в лимфоцитах у пациентов с иммунозависимыми заболеваниями. Аллергология и иммунология в педиатрии, 2023. № 2. С. 54-56. [Radygina T.V., Petrichuk S.V., Kurbatova O.V., Kuptsova D.G., Potapov A.S. Determination of enzymes of glycolysis and oxidative phosphorylation in lymphocytes in patients with immuno-dependent diseases. Allergologiya i immunologiya v pediatrii = Allergology and Immunology in Paediatrics, 2023, no. 2, pp. 54-56. (In Russ.)]
- Benzoni P., Da Dalt L., Elia N., Popolizio V., Cospito A., Giannetti F., Dell'Era P., Olesen M.S., Bucchi A., Baruscotti M., Norata G.D., Barbuti A. PITX2 gain-of-function mutation associated with atrial fibrillation alters mitochondrial activity in human iPSC atrial-like cardiomyocytes. Front. Physiol., 2023, Vol. 14, 1250951. doi: 10.3389/fphys.2023.1250951.
- Buck M.D., Sowell R.T., Kaech S.M., Pearce E.L. Metabolic instruction of immunity. Cell, 2017, Vol. 169, no. 4, pp. 570-586.
- Childers G., Harry G.J. Mitochondrial stress assay and glycolytic rate assay in microglia using agilent seahorse extracellular flux analyzers. In: Llorens J., Barenys M. (eds.). Experimental Neurotoxicology Methods. Neuromethods, Vol. 172. New York: Humana New York, 2021, pp. 305-324.
- Lee H.T., Lin C.S., Pan S.C., Wu T.H., Lee C.S., Chang D.M., Tsai C.-Y., Wei Y.-H. Alterations of oxygen consumption and extracellular acidification rates by glutamine in PBMCs of SLE patients. Mitochondrion, 2019, Vol. 44, pp. 65-74.
- Li X., Sun X., Carmeliet P. Hallmarks of endothelial cell metabolism in health and disease. Cell Metab., 2019, Vol. 30, no. 3, pp. 414-433.
- Li Z., Graham B.H. Measurement of mitochondrial oxygen consumption using a Clark electrode. Methods Mol. Biol., 2012, Vol. 837, pp. 63-72.
- Makowski L., Chaib M., Rathmell J.C. Immunometabolism: From basic mechanisms to translation. Immunol. Rev., 2020, Vol. 295, no. 1, pp. 5-14.
- Selig J.I., Ouwens D.M., Raschke S., Thoresen G.H., Fischer J.W., Lichtenberg A., Akhyari P., Barth M. Impact of hyperinsulinemia and hyperglycemia on valvular interstitial cells – A link between aortic heart valve degeneration and type 2 diabetes. Biochim. Biophys. Acta Mol. Basis Dis., 2019, Vol. 1865, no. 9, pp. 2526-2537.
Supplementary files




