Comparison of immunomodulatory effects induced by holothurian extract and macrophage polarization drivers using model of phagocytes of injured Eupentacta fraudatrix
- Authors: Dolmatova L.S.1
-
Affiliations:
- Ilyichev Pacific Oceanological Institute of the Far Eastern Branch of the Russian Academy of Sciences
- Issue: Vol 28, No 3 (2025)
- Pages: 521-528
- Section: SHORT COMMUNICATIONS
- Submitted: 30.03.2025
- Accepted: 31.05.2025
- Published: 18.09.2025
- URL: https://rusimmun.ru/jour/article/view/17207
- DOI: https://doi.org/10.46235/1028-7221-17207-COI
- ID: 17207
Cite item
Full Text
Abstract
Holothurians (sea cucumbers) are known for their high regenerative ability. Extract from Far-Eastern holothurian tissues (EH) is able to accelerate wound healing. In vertebrates, two types of macrophages display different roles in regulation of healing at its different stages. In holothurians, two enriched fractions of phagocytes (P1 and P2) are also identified being the analogues to macrophages. The mechanisms of EH influence on separate types of phagocytes in the wound healing remains unexplored. It was of interest to study the effect of EH in model experiments, in comparison with substances known as inducers of macrophage polarization The aim of this work was to study the effect of EH on the number and phenotype of phagocytes P1 and P2 in the wounded holothurian Eupentacta fraudatrix in comparison with efficiency of granulocyte-macrophage colony-stimulating factor (GM-CSF) and tumor necrosis factor α (TNFα). The experimental animals (n = 4 to 6) received a superficial wound with a lancet. Some animals were additionally injected with GM-CSF, TNFα or EH. After 0 min and 1 day phagocytes P1 and P2 were isolated by centrifugation of coelomic fluid in a density gradient of Ficoll-Verographin. The concentration of coelomocytes and content of phagocytes P1 and P2 were determined by light microscopy. The binding of cells to FITC-labeled lectins from Dolichos biflorus (DBA), Canavalia ensiformis (conA) and Glycine max (SBA) was assessed using a fluorescence microscope. The wound length was measured at initial time point (0 min.) and 72 h. Surface damage of the holothurian body caused an increase in concentration of coelomocytes and contents of P1 phagocytes, but decreased the number of P2 phagocytes. Changed cell numbers in coelomic fluid of wounded animals and decrease in their differentiation, assessed by DBA lectin binding upon exposure to the test substances indicate that the cytokines apparently caused a shift in the ratio of tissue phagocytes in favor of P1 phagocytes, while EH promoted P2 phagocytic population. Evaluation of ConA cell binding revealed that cytokines suppressed the functional activity of P1 phagocytes upon wound injury. EH did not only suppress the functional activity of P1 phagocytes, but also stimulated the activity of P2 phagocytes, and promoted wound healing, as compared to cytokines. Acceleration of wound healing under the influence of EH is associated with preferential activation of P2 phagocytes and their recruitment into tissues. This finding suggests an important role of P2 phagocytes in tissue repair.
Full Text
Введение
Морские беспозвоночные животные голотурии (Holothuroidea, Echinodermatа) известны своей высокой способностью к регенерации утраченных частей тела и эффективному заживлению ран [5]. Ранее полученный из тканей голотурий дальневосточных видов экстракт (ЭГ) обладает выраженными бактерио- и фунгистатическими эффектами, а также способствует ускорению заживления ран [1]. Отмечены его иммуномодулирующие свойства на модели фагоцитов голотурий, являющихся аналогами макрофагов, in vitro [2]. В исследованиях на позвоночных животных установлена ведущая роль отдельных типов макрофагов (M1 или М2) в регуляции заживления на его разных стадиях [15]. М1- и М2-макрофаги имеют ряд фенотипических отличий, в частности М1-макрофаги несут поверхностные маркеры CD64 и CD80, а М2-макрофаги характеризуются наличием CD64 и CD209. Кроме того, в макрофагах М1 высок уровень продукции оксида азота (NO), а М2-клетки отличает высокая активность аргиназы. Макрофаги принимают тот или иной фенотип («поляризуются») под влиянием микроокружения. Для стимуляции их поляризации по М1-пути могут использоваться некоторые препараты. Такие цитокины, как гранулоцитарно-макрофагальный колониестимулирующий фактор (GM-CSF) и фактор некроза опухолей α (TNFα) считаются индукторами поляризации по М1-типу [9]. В то же время есть данные о способности этих цитокинов стимулировать заживление ран [3].
Участие фагоцитов голотурий в заживлении ран было продемонстрировано ранее [13]. Вместе с тем, выделение обогащенных фракций фагоцитов, получивших название Ф1 и Ф2, которые имеют высокий уровень NO или высокую активность аргиназы соответственно [8], позволяет выделить среди фагоцитов голотурий две субпопуляции, подобные М1- и М2-макрофагам.
Было также показано, что количество Ф1- и Ф2-фагоцитов и их соотношение меняются в процессе заживления раны, что позволило предположить их различную роль [7]. Одним из факторов, затрудняющих дальнейшие исследования, является отсутствие у фагоцитов голотурий поверхностных маркеров, известных для позвоночных. Однако Ф1- и Ф2-фагоциты голотурий отличаются по уровню связывания их поверхностных рецепторов с растительными лектинами [6], что позволяет характеризовать различия в их фенотипе.
Механизмы влияния ЭГ на отдельные типы фагоцитов в процессе ранозаживления в модельных экспериментах оставались неизученными. Представляло интерес исследование влияния экстракта в сравнении с препаратами, известными как индукторы поляризации макрофагов.
Целью данной работы явилось изучение влияния ЭГ на численность и фенотип фагоцитов Ф1 и Ф2 при поверхностном ранении голотурии Eupentacta fraudatrix в сравнении с таковым GM- CSF и TNFα.
Материалы и методы
Экземпляры голотурии E. fraudatrix с длиной тела 4-6 см собирали в феврале-марте в зал. Восток (зал. Петра Великого, Японское море) легко-водолазным методом. ЭГ получали из тканей голотурий, собранных в б. Алексеева (зал. Петра Великого, Японское море), на МЭС ТОИ ДВО РАН «о. Попова», по методу, описанному ранее [1].
Поверхностный надрез производили скальпелем. Одновременно животным (n = 4-6) с помощью шприца вводили в целомическую полость фосфатно-солевой буфер с добавлением 36 г/л NaCl (ФСБН) или один или два препарата: GM-CSF (0,02 мкг/г, ГНЦ ИБХ РАН, Россия), TNFα (0,02 мкг/г, «Цитокин», Россия) и ЭГ(0,3 мкг/г). Кроме того, интактным животным инъецировали ФСБН (контроль) или другие препараты. Через 0 мин или 24 ч от начала эксперимента у животных отбирали целомическую жидкость (ЦЖ), из которой выделяли фагоциты двух типов центрифугированием в градиенте фиколл-верографина [6]. Определяли концентрацию клеток в камере Горяева. Окрашивание клеток ФИТЦ-мечеными лектинами (ICN Biomedicals, Eschwege, Germany) из Dolichos biflorus (DBA), Canavalia ensiformis (conA) и Glycin max (SBA), проводили по методу, описанному McKenzie, Preston [11]. Исследование флуоресценции конъюгатов проводили с использованием микроскопа Leica DM 4500 (Weltzlar, Германия). Измерение длины раны проводили немедленно и через 72 ч после нанесения раны. Различия между группами определяли методом одновариантного анализа (one-way ANOVA) с использованием t-критерия Стьюдента. Разницу между группами считали достоверной при p < 0,05.
Результаты и обсуждение
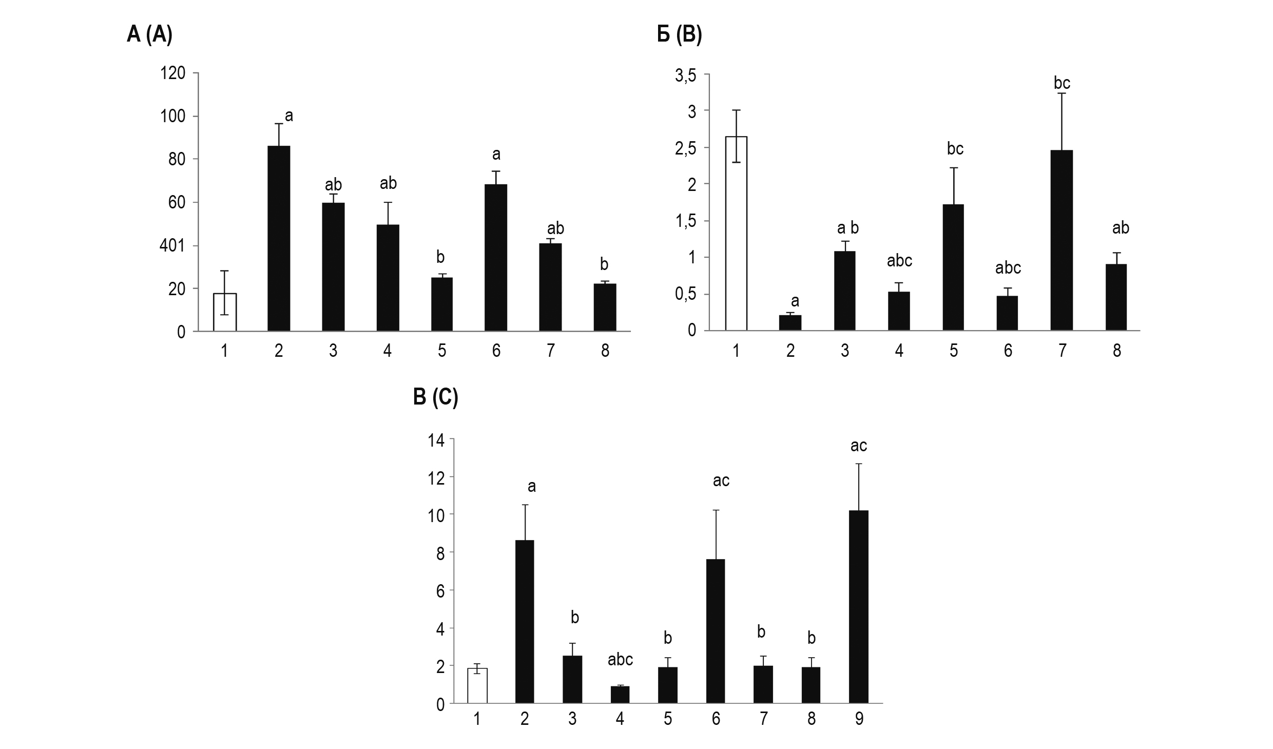
Ранение вызывало увеличение концентрации клеток в целомической жидкости через 1 сут. в 4,8 раза по сравнению с контролем (рис. 1А). Повышение уровня циркулирующих целомоцитов через 1 сут. после ранения голотурии было показано и ранее [7]; оно сопровождает падение количества клеток в первые часы после ранения и, по-видимому, связано с необходимостью пополнения пула клеток, рекрутируемых в ткани.
Рисунок 1. Концентрация клеток целомической жидкости при ранении и инъекции препаратов, M ± Σ
Примечание. А – целомоциты, 1 сут. 1 – ФСБН, 2 – ранение + ФСБН, 3 – GM-CSF, 4 – ранение + GM-CSF, 5 – ранение + TNFα, 6 – ЭГ, 7 – ранение + ЭГ, 8 – ранение + ЭГ + GM-CSF. По оси ординат-концентрация клеток, кл. × 106/мл. Достоверность различий между контролем (ФСБН) и ранением (a) и между ранением и другими экспериментальными группами (b) соответствует p < 0,05. n = 6. Б и В – содержание фагоцитов Ф1 (Б) и Ф2 (В). 1 – ФСБН, 0 мин, 2 – ФСБН 1 сут., 3 – ранение + ФСБН 1 сут., 4 – GM-CSF 1 сут., 5 – ранение+GM-CSF 1 сут., 6 – ранение + TNFα, 1 сут., 7 – ранение + ЭГ 1 сут., 8 – ранение + ЭГ + GM-CSF 1 сут., 9 – ЭГ, 1 сут. По оси ординат-количество фагоцитов, кл. × 106/экземпляр. Достоверность различий между контролем на 0 мин и группами на 1 сут. (a) и между контролем на 1 сут. и экспериментальными группами на 1 сут. (b), а также между ранением и другими экспериментальными группами (c) соответствует p < 0,05. n = 6.
Figure 1. Concentration of coelomic fluid cells during injury and drug injection, M ± Σ
Note. A, coelomocytes, 1 day. 1, bufferd saline, BSN; 2, injury + BSN; 3, GM-CSF; 4, injury + GM-CSF; 5, injury + TNFα; 6, EH; 7, injury + EH; 8, injury + EH + GM-CSF. The ordinate axis shows cell concentration, cells × 106/mL. Note: the significance of differences between the control (BSN) and wound (a) and between wound and other experimental groups (b) corresponds to p < 0.05. n = 6. (B) and (C): Content of phagocytes P1 (B) and P2 (C). 1, BSN; 0 min; 2, BSN 1 day; 3, wound + BSN 1 day; 4, GM-CSF 1 day; 5, wound + GM-CSF 1 day; 6, wound + TNFα, 1 day; 7, wound + EH 1 day; 8, wound + EH + GM-CSF 1 day; 9, EH, 1 day. The ordinate axis shows the number of phagocytes, cells × 106/specimen. Note: the significance of differences between the control at 0 min and the groups on day 1 (a) and between the control on day 1 and the experimental groups on day 1 (b), as well as between injury and other experimental groups (c) corresponds to p < 0.05. n = 6.
При этом GM-CSF и ЭГ также повышали концентрацию целомоцитов по сравнению с контролем, как у интактных, так и раненых животных, однако это повышение в последнем случае было ниже, чем при одном ранении. Введение TNFα раненым животным возвращало этот показатель к контрольным значениям. По-видимому, ЭГ и GM-CSF стимулируют рекрутирование целомоцитов в ткани, что снижает количество целомоцитов в ЦЖ. TNFα способен стимулировать рекрутирование целомоцитов при ранении в еще большей степени, чем GM-CSF и ЭГ. Совместное введение GM-CSF и ЭГ также предотвращало повышение концентрации целомоцитов при ранении.
Содержание фагоцитов Ф1 (рис. 1Б) и Ф2 (рис. 1В) было одинаковым в начальный момент (0 мин) после инъекции ФСБН. Но через сутки содежание Ф2-фагоцитов значительно превышало таковое Ф1-фагоцитов, что свидетельствует о преимущественном рекрутировании в ткани Ф1-фагоцитов. Как и в случае целомоцитов, ранение повышало содержание Ф1-фагоцитов в целомической жидкости по сравнению с контролем. ЭГ стимулировал рост содержания Ф1 при ранении по сравнению с одним ранением. Напротив, TNFα и GM-CSF снижали повышение содержания Ф1 при ранении, хотя GM-CSF повышал содержание этих клеток у интактных животных. По-видимому, цитокины увеличивают, а ЭГ подавляет рекрутирование этих клеток в ткани. Эффект одновременного введения GM-CSF и ЭГ на содержание Ф1-фагоцитов, как и в случае целомоцитов, демонстрирует наличие разных механизмов их действия на эти клетки.
Напротив, содержание Ф2-фагоцитов (рис. 1В) снижалось при ранении по сравнению с контролем через 1 сут. Действие TNFα было направлено на снижение рекрутирования Ф2-фагоцитов в ткани раненых животных. Ни ЭГ, ни GM-CSF, не влияли на содержание Ф2-фагоцитов при ранении, что свидетельствует о том, что их действие связано преимущественно с влиянием на Ф1-фагоциты. Соответственно, цитокины, по-видимому, вызывали сдвиг соотношения фагоцитов двух типов в тканях в сторону преобладания Ф1-фагоцитов, а ЭГ – Ф2-фагоцитов.
Свежевыделенные фагоциты Ф1 и Ф2 связывали сonА в одинаковой пропорции (табл. 1), при этом отмечена тенденция к более низкому связыванию DBA в Ф2-фагоцитах по сравнению с Ф1-клетками. Ранение вызывало в Ф1-фагоцитах достоверное увеличение связывания conA, но не DBA.
Таблица 1. Связывание растительных лектинов поверхностными рецепторами фагоцитов Ф1 и Ф2 через 1 сут. после ранения и инъекции препаратов, M ± Σ
Table 1. Binding of plant lectins to surface receptors of phagocytes P1 and P2 1 day after injury and injection of preparations, M ± Σ
Тип воздействия Group | Лектины, % связывания Lectins, % of binding | |||
Con A | DBA | |||
Ф1 P1 | Ф2 P2 | Ф1 P1 | Ф2 P2 | |
Контроль Control | 16,9 ± 6,8 | 18,1 ± 1,8 | 25,9 ± 3,4 | 31,7 ± 5,4 |
Рана Wound | 40,9 ± 5,6* | 22,4 ± 3,5 | 23,9 ± 8,2 | 22,3 ± 5,1 |
Рана + GM-CSF Wound + GM-CSF | 28,1 ± 11,1 | 22,4 ± 3,4 | 10,5 ± 2,3* | 13,0 ± 3,9* |
GM-CSF | 25,8 ± 3,6* | 32,4 ± 4,2* | 24,7 ± 0,3 | 28,6 ± 0,7 |
Рана + ЭГ Wound + EH | 27,7 ± 1,8* | 31,9 ± 6,1* | 24,2 ± 4,6 | 13,3 ± 0,4* |
ЭГ EH | 35,6 ± 4,7* | 40,3 ± 3,8* | 28,6 ± 1,9 | 43,1 ± 12,5 |
Рана + TNFα Wound + TNFα | 17,1 ± 1,9 | 15,4 ± 0,8 | 5,9 ± 0,7* | 29,4 ± 1,7 |
Рана + ЭГ + GM-CSF Wound + EH + GM-CSF | 34,5 ± 7,3 | 18,5 ± 3,5 | – | – |
Примечание. * – p < 0,05 по сравнению с контролем. n = 4.
Note. *, p < 0.05 compared to control. n = 4.
В Ф2-фагоцитах, напротив, связывание DBA, но не conA, снизилось на 30%. Известно, что рецепторы к сonА экспрессируются при апоптозе или аутофагии [14] в ответ на увеличение продукции активных форм кислорода (АФК), поэтому увеличение связывания этого лектина при ранении указывает на активацию Ф1-фагоцитов. Изменения в связывании сonА в Ф1-фагоцитах при действии препаратов свидетельствуют о том, что ЭГ и GM-CSF, по-видимому, стимулируют функциональную активность Ф1-фагоцитов у интактных животных, но при ранении достоверного эффекта по сравнению с действием самого ранения не оказывают, а TNFα даже ингибирует повышение функциональной активности, вызываемое самим ранением. По-видимому, это связано с тем, что, несмотря на то, что GM-CSF и TNFα известны свой способностью вызывать поляризацию макрофагов по М1-пути, их эффекты могут регулироваться по механизму обратной связи [4].
TNFα и GM-CSF снижали связывание DBA в Ф1-фагоцитах у раненых животных по сравнению с ранением, хотя GM-CSF не влиял на показатель у интактных животных. ЭГ не влиял на связывание DBA в Ф1-фагоцитах ни у интактных, ни у раненых животных. Связывание DBA с поверхностными рецепторами характеризует диффенцирующиеся клетки [12], и полученные результаты свидетельствуют о возможном снижении уровня дифференцированных клеток Ф1 в общем пуле в связи с необходимостью их восполнения вследствие рекрутирования в поврежденные ткани. Это предположение подтверждается тенденцией к снижению в 1,4 раза связывания в Ф1-фагоцитах раненых животных лектина из Glycine max (SBA), с 26,6 ± 2,0% до 18,7 ± 3,1% (p > 0,05). Уровень SBA находится в прямом соотношении со зрелостью клеток [10]. Снижение числа дифференцированных клеток при инъекции GM-CSF и TNFα подтверждает, что эти цитокины ускоряют рекрутирование Ф1-фагоцитов в ткани раненых животных. Отсутствие же эффекта ЭГ на уровень зрелости клеток, по-видимому, связано с тем, что он не влиял на рекрутирование Ф1-фагоцитов.
В Ф2-фагоцитах, как и в Ф1, ЭГ и GM-CSF стимулировали связывание conA у интактных животных по сравнению с контролем. У раненых животных инъекция GM-CSF, как и TNFα, не вызывала такого повышения по сравнению с ранением, а ЭГ достоверно повышал уровень связывания. Это свидетельствует в пользу предположения о том, что GM-CSF стимулирует преимущественно активность Ф1-фагоцитов, а ЭГ – Ф2-клеток. Совместное введение ЭГ и GM-CSF раненым животным не приводило к стимуляции связывания conA по сравнению с контролем. Можно предположить наличие конкуренции между двумя препаратами за связывание с рецептором, содержащим остаток маннозы.
Ни ЭГ, ни GM-CSF не влияли на связывание DBA в Ф2-фагоцитах интактных животных по сравнению с контролем, но оба препарата снижали более чем в 2 раза этот показатель у раненых животных. Это свидетельствует об увеличении под их влиянием числа незрелых Ф2-фагоцитов. По-видимому, оба препарата способствуют ускорению рекрутирования Ф2-фагоцитов в ткани. TNFα у раненых животных не влиял на этот показатель по сравнению с контролем, что соответствует полученным данным об отсутствии изменений в содержании Ф2-фагоцитов в этой экспериментальной группе по сравнению с контролем и свидетельствует об отсутствии влияния TNFα на рекрутирование Ф2-фагоцитов.
Происходящие изменения активности фагоцитов при действии препаратов сопровождались различными эффектами на заживление раны. Так, при исходной длине разреза 5,8 ± 1,2 мм, при введении GM-CSF это значение составило 7,4 ± 1,3 мм, TNFα – 3,9 ± 0,8 мм, ЭГ-3,5 ± 0,4 мм. Только ЭГ достоверно (p < 0,05) снижал длину раны.
Таким образом, наблюдающееся при воздействии GM-CSF и TNFα преимушественное рекрутирование Ф1-фагоцитов в ткани раненых животных происходит наряду со снижением их функциональной активности. Это может свидетельствовать о возможной трансформации Ф1-фагоцитов в Ф2-фагоциты для поддержания баланса между про- и антивоспалительными эффектами ранения. В отличие от цитокинов, ЭГ не только подавлял функциональную активность Ф1-фагоцитов, но и стимулировал активность Ф2-фагоцитов и их рекрутирование в ткани. Основываясь на морфофункциональном сходстве между Ф2-фагоцитами и М2-макрофагами, можно предполагать, что такое действие ЭГ способствует заживлению раны в большей степени, чем при воздействии цитокинов.
Выводы
- GM-CSF и TNFα избирательно модулируют активность двух типов фагоцитов голотурии, с преимущественным влиянием на Ф1-клетки.
- Скорость заживления раны при воздействии ЭГ более высокая, чем при действии цитокинов, что, по-видимому, связано с его способностью вызывать преимущественную активацию Ф2-фагоцитов и их рекрутирование в ткани.
- Ф2-фагоциты играют важную роль в ранозаживлении.
About the authors
L. S. Dolmatova
Ilyichev Pacific Oceanological Institute of the Far Eastern Branch of the Russian Academy of Sciences
Author for correspondence.
Email: dolmatova@poi.dvo.ru
PhD (Biology), Leading Researcher at the Laboratory of Biochemistry
Russian Federation, VladivostokReferences
- Dolmatova L.S., Ulanova O.A. The effects of holothurian extract on rate of healing the body cover wound and dynamics of coelomocyte concentration in model experiment. Zdorovye. Meditsinskaya ecologiya. Nauka = Health. Medical Ecology. Science, 2014, no. 1, pp. 23-25. (In Russ.)
- Dolmatova L.S., Ulanova O.A., Dolmatov I.Yu. Comparative study of the effect of dexamethasone and new holothurians’ extract on the level of the cytokine similar substances in certain immune cell types in the holothurian Eupentacta fraudatrix. Tikhookeanskiy meditsinskiy zhurnal = Pacific Medical Journal, 2014, no. 1, pp. 13-17. (In Russ.)
- Zurochka A.V., Zurochka V.A., Dobrynina M.A., Gritsenko V.A. Immunobiological properties of granulocyte macrophage colony-stimulating factor and synthetic peptides of his active center. Meditsinskaya immunologiya = Medical Immunology (Russia), 2021, Vol. 23, no. 5, pp. 1031-1054. (In Russ.) doi: 10.15789/1563-0625-IPO-2216.
- Yarilin D.A. Role of tumor necrosis factor in the regulation of the inflammatory response of monocytes and macrophages. Immunologia = Immunologia, 2014, no. 4, pp. 195-201. (In Russ.)
- Dolmatov I.Y. Variability of regeneration mechanisms in echinoderms. Rus. J. Mar. Biol., 2020, Vol. 46, no. 6, pp. 391-404.
- Dolmatova L.S., Dolmatov I.Y. Lead induces different responses of two subpopulations of phagocytes in the holothurian Eupentacta fraudatrix. J. Ocean Univ. China, 2018, Vol. 17, pp. 1391-1403.
- Dolmatova L.S., Karaulova, E.P. Studies of the role of phagocytes in superficial wound healing in the holothurian Eupentacta fraudatrix. Paleontol. J., 2024, Vol. 58, Suppl. 3, pp. S258-S270.
- Dolmatova L.S., Smolina T.P. Morphofunctional features of two types of phagocytes in the holothurian Еupentacta fraudatrix (Djakonov et Baranova, 1958). J. Evol. Biochem. Physiol., 2022, Vol. 58, no 4, pp. 955-970.
- Fraternale A., Brundu S., Magnani M. Polarization and repolarization of macrophages. J. Clin. Cell. Immunol., 2015, Vol. 6, no. 2, 319. doi: 10.4172/2155-9899.100031.
- Krugluger W., Gessl A., Boltz-Nitulescu G., Förster O. Lectin binding of rat bone marrow cells during colony-stimulating factor type 1-induced differentiation: soybean agglutinin as a marker of mature rat macrophages. J. Leukoc. Biol., 1990, Vol. 48, pp. 541-548.
- McKenzie A.N.J., Preston T.M. Functional studies on Calliphora vomitoria haemocyte subpopulations defined by lectin staining and density centrifugation. Dev. Comp. Immunol., 1992, Vol. 16, pp. 19-30.
- Nash R., Neves L., Faast R., Pierce M., Dalton S. The lectin Dolichos biflorus agglutinin recognizes glycan epitopes on the surface of murine embryonic stem cells: a new tool for characterizing pluripotent cells and early differentiation. Stem Cells, 2007, Vol. 25, no. 4, pp. 974-982.
- Ramírez-Gómez F., Aponte-Rivera F., Méndez-Castaner L., García-Arrarás J.E. Changes in holothurian coelomocyte populations following immune stimulation with different molecular patterns. Fish Shellfish Immunol, 2010, Vol. 29, pp. 175-185.
- Seco-Rovira V., Beltrán-Frutos E., Ferrer C., Sánchez-Huertas M.M., Madrid J.F., Saez F.J., Pastor L.M. Lectin histochemistry as a tool to identify apoptotic cells in the seminiferous epithelium of Syrian hamster (Mesocricetus auratus) subjected to short photoperiod. Reprod. Domest. Anim., 2013, Vol. 48, no. 6, pp. 974-983.
- Wu J., Zhang L., Shi J., He R., Yang W., Habtezion A., Niu N., Lu P., Xue J. Macrophage phenotypic switch orchestrates the inflammation and repair/regeneration following acute pancreatitis injury. EbioMedicine, 2020, Vol. 58, 102920. doi: 10.1016/j.ebiom.2020.102920.
Supplementary files




