In vitro positive modification of effector functions and subsets of CD64+CD32+CD16+CD11b+ and CD64-CD32+CD16+CD11b+ neutrophil granulocytes from immunocompromised patients with immunosenescence induced by arginyl-α-aspartyl-lysyl-valyl-tyrosyl-arginine
- Authors: Kovaleva S.V.1, Poezzhaev E.A.1, Teterin Y.V.1, Pikturno S.N.1
-
Affiliations:
- Kuban State Medical University
- Issue: Vol 28, No 4 (2025)
- Pages: 893-900
- Section: SHORT COMMUNICATIONS
- Submitted: 30.04.2025
- Accepted: 22.06.2025
- Published: 28.09.2025
- URL: https://rusimmun.ru/jour/article/view/17265
- DOI: https://doi.org/10.46235/1028-7221-17265-IVP
- ID: 17265
Cite item
Full Text
Abstract
The increasing proportion of elderly and senile individuals in human population causes a problem of age-associated diseases, with immunosenescence playing a key role. Neutrophil granulocytes (NG) are largely susceptible to this process, which requires studying changes in their functioning during immunosenescence and developing methods for experimental correction of NG dysfunctions. Our objective was to clarify the nature of NG dysfunctions during immunosenescence, and to evaluate the effect of synthetic thymic hexapeptide (HP) on the effector functions and CD64+CD32+CD16+CD11b+ and CD64-CD32+CD16+CD11b+ subsets of NG in elderly and senile individuals. The study involved 15 immunocompromised patients aged 60-78 years with chronic obstructive lung disease (COPD), with prolonged and frequent exacerbations (study group 1, SG1), and 30 conditionally healthy volunteers aged 60-74 years (comparison group, CG). We have evaluated the NG subsets (%), i.e., cell subpopulations with CD64, CD32, CD16, CD11b receptors, expression density of these receptors (MFI), phagocytic and microbicidal functions of NG in intact peripheral blood (SG1) and after incubation with tested hexapeptide (10-6 g/L) for 60 minutes at 37 °C (SG1a). We have revealed an increased contents of CD64+CD32+CD16+CD11b+NG subset and a reduced content of the CD64-CD32+CD16+CD11b+NG subset in SG1 patients in comparison to comparison group, an increased density of CD16 expression along with decreased density of CD11b expression on NG of both subsets. Moreover, an impairment in phagocytic and NADPH-oxidase activity of NG was determined in SG1. Under the influence of the hexapeptide, we have noted a pronounced effect, i.e., a decreased content of CD64+CD32+CD16+CD11b+NG and increased number of CD64-CD32+CD16+CD11b+NG, higher MFI of CD11b on NG of both subsets, digestive functions, stimulated NADPH oxidase activity. The average effect was determined as a decreased MFI of CD16, and an increase in actively phagocyting NG. Low-level effect was registered by the absorption processes, and spontaneous NADPH-oxidase activity of NG. Positive modification of NG functioning under the influence of hexapeptide was shown in vitro upon incubation of NG from immunocompromised patients with immunosenescence.
Full Text
Введение
Неуклонное увеличение доли лиц пожилого и старческого возраста в человеческой популяции делает все более актуальной проблему профилактики, диагностики и лечения возраст-ассоциированных заболеваний и гериатрических синдромов, обусловливающих снижение качества жизни, способности к самообслуживанию и сокращение продолжительности жизни [7]. Известно, что одним из главных факторов, приводящих к старению и определяющих его характер, является возрастное изменение функционирования клеток и органов иммунной системы – иммуностарение. При этом оно может быть успешным (физиологическим) и характеризоваться высокой степенью адаптации иммунной системы к возраст-ассоциированным изменениям и патологическим, приводящим к возникновению вторичного иммунодефицита, который обусловливает развитие и утяжеляет течение возраст-ассоциированных заболеваний [3]. Одними из эффекторных клеток врожденного иммунитета являются нейтрофильные гранулоциты (НГ), претерпевающие значительные изменения в процессе старения. Так, известно, что с возрастом нарушаются эффекторные функции НГ [9]. Однако сведения о характере наблюдаемых изменений остаются противоречивыми и не позволяют судить о вариантах их дисфункций при иммуностарении. Кроме того, достаточно слабо изучен характер возможных фенотипических изменений НГ, ассоциированных с пожилым и старческим возрастом, что затрудняет поиск возможных точек приложения для фармакологического воздействия, направленного на коррекцию дисфункций НГ при иммуностарении. Именно поэтому является актуальным уточнение вариантов изменений функционирования НГ, связанных с иммуностарением, выявление потенциальных мишеней для иммунотерапевтического воздействия и исследование возможностей коррекции возникших дисфункций НГ в системе in vitro, что послужит экспериментальной моделью и обоснованием для последующих клинических исследований терапевтической эффективности иммунотропных лекарственных препаратов при иммуностарении.
В свете изложенного представляется перспективным ремоделирование дисфункций НГ при иммуностарении синтетическим тимическим гексапептидом аргинил-α-аспартил-лизил-валил-тирозил-аргинином (ГП), представляющим собой структурный аналог активного центра тимопоэтина. ГП оказывает плейотропное действие на различные клетки иммунной системы [1]. Подобно тимопоэтину, ГП взаимодействует с HLA-DR и никотиновыми ацетилхолиновыми рецепторами (nAChRs) нейронального типа на поверхности НГ, что модулирует их функциональную активность [10]. Кроме того, ГП обладает антиоксидантным эффектом [2], что является несомненным преимуществом для его применения у лиц пожилого и старческого возраста, так как известно, что одним из механизмов старения является оксидативный стресс [6].
Цель исследования – уточнить характер дисфункций НГ при иммуностарении и оценить эффект влияния синтетического тимического гексапептида на эффекторные функции и субпопуляции НГ CD64+CD32+CD16+CD11b+ и CD64-CD32+CD16+CD11b+ у лиц пожилого и старческого возраста.
Материалы и методы
В исследование были включены 15 иммунокомпрометированных пациентов в возрасте 60-78 лет с хронической обструктивной болезнью легких (ХОБЛ) с затяжными и частыми обострениями – 2-3 раза в год (группа исследования 1, ГИ1), а также 30 условно здоровых добровольцев в возрасте 60-74 лет (группа сравнения, ГС). Проведено комплексное тестирование системы НГ периферической крови каждого исследуемого. Определялось процентное содержание субпопуляций НГ, одновременно экспрессирующих рецепторы CD64, CD32, CD16, CD11b, отвечающие за реализацию адгезии, фагоцитоза, дегрануляции: CD64+CD32+CD16+CD11b+, CD64-CD32+CD16+CD11b+. Плотность экспрессии изучаемых рецепторов оценивалась по значению среднего индекса флуоресценции (Mean fluorescence index, MFI).
Исследование фагоцитарной активности НГ включало в себя оценку процентного количества активно фагоцитирующих НГ (%ФАН), поглотительной способности НГ (фагоцитарное число (ФЧ), фагоцитарный индекс (ФИ)), переваривающей способности НГ (процент переваривания (% П), индекс переваривания (ИП)).
NADPH-оксидазная активность НГ оценивалась путем подсчета клеток с восстановленным формазаном на 100 НГ в спонтанном и стимулированном (индукция лабораторным штаммом № 209 S. aureus) NBT-тесте (%ФПКсп, %ФПКст) и расчета коэффициента мобилизации (КМ), определяемого как отношение %ФПКст к %ФПКсп. Изучаемые параметры функционирования НГ в ГИ определялись в интактной крови – ГИ1, а также после инкубации в течение 60 минут при температуре 37 °C с ГП (10-6 г/л) – ГИ1а.
Статистическая обработка полученных данных осуществлялась с помощью компьютерной программы Microsoft Excel 2016 и свободной программной среды вычислений R (v. 4.2.2). Количественные показатели проверялись на нормальность распределения с использованием критерия Шапиро–Уилка. Так как исследуемые данные не были нормально распределены, они представлены в виде медианы с верхним и нижним квартилями (Me (Q0,25-Q0,75)), а для сравнения количественных показателей в исследуемых выборочных совокупностях были использованы методы непараметрической статистики: U-критерий Манна–Уитни для сравнения независимых выборок и W-критерий Вилкоксона для сравнения зависимых выборок. Для корректировки значения p с учетом множественных сравнений был применен контроль частоты ложных обнаружений по процедуре Бенджамини–Иекутиели. Различия считали статистически значимыми при p < 0,05. Кроме того, была оценена величина эффекта с помощью вычисления коэффициента ранговой бисериальной корреляции для связанных выборок. При его значении, равном 0, констатировалось отсутствие эффекта, при значениях 0,1-0,3 величина эффекта оценивалась как низкая, 0,31-0,5 – как средняя, более 0,5 – как высокая.
Результаты и обсуждение
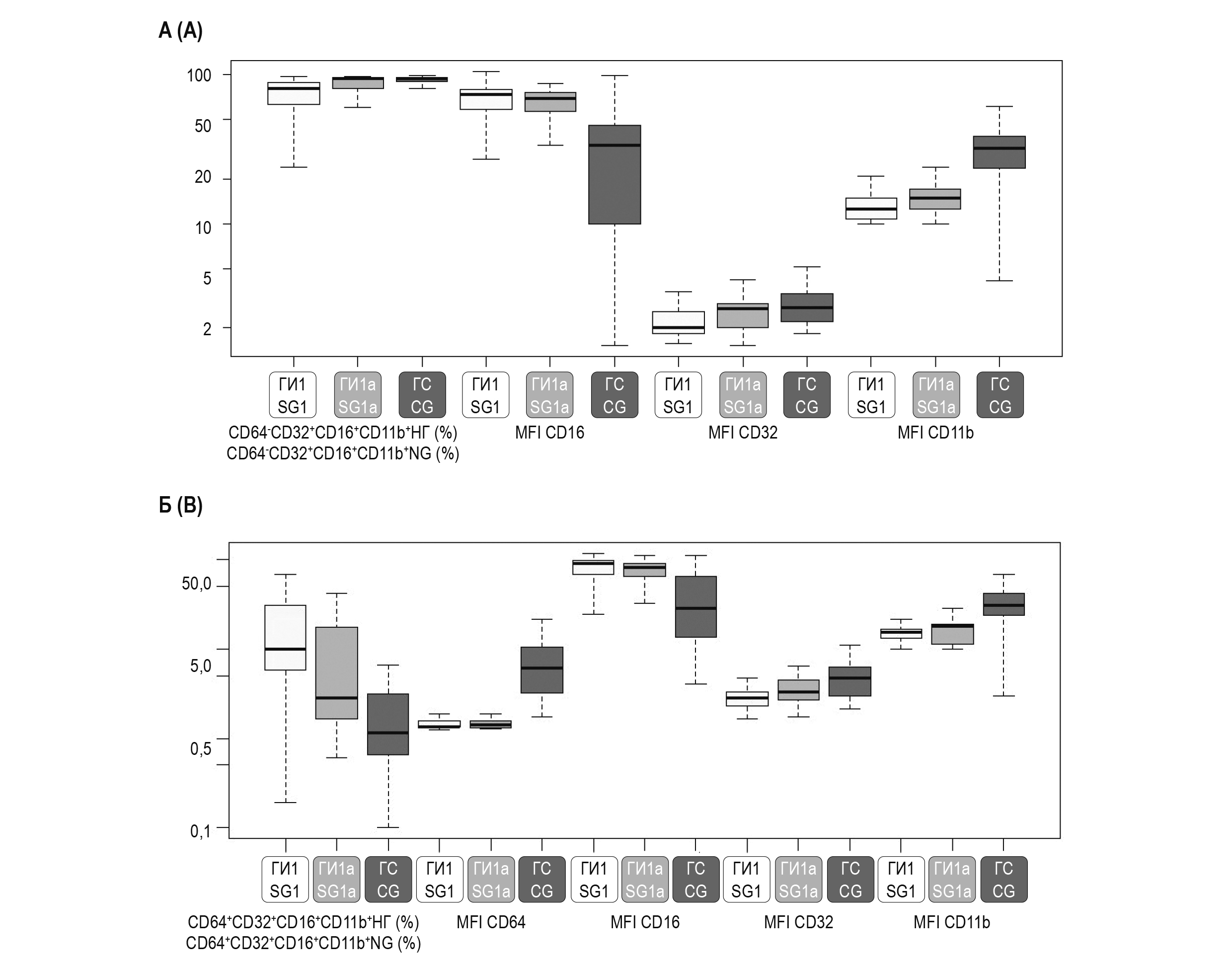
В результате изучения экспрессии рецепторов CD64, CD32, CD16, CD11b на НГ были выявлены две субпопуляции НГ: CD64+CD32+CD16+CD11b+ и CD64-CD32+CD16+CD11b+ (рис. 1). Содержание субпопуляции CD64-CD32+CD16+CD11b+НГ – мажорной, так как количество именно этой субпопуляции преобладает в ГС (94,34 (89,61- 95,95)%), в ГИ1 составляет 81 (62,81- 88,75)%, что статистически значимо ниже (p = 0,0059), чем в ГС. Содержание субпопуляции CD64+CD32+CD16+CD11b+НГ – минорной, присутствующей в минимальных количествах в ГС (1,15 (0,65-3,1)%), в ГИ1 было статистически значимо выше, чем в ГС – 10 (5,8- 31,3)% (p = 0,0012). Данные изменения соотношения субпопуляций НГ указывают на активацию НГ в условиях бактериальной инфекции. При этом характерна более высокая плотность экспрессии CD16 как в мажорной субпопуляции НГ (74,1 (58,25-79,25) против 33,6 (9,97-45,4) в ГС, p = 0,006), так и в минорной субпопуляции НГ (91,6 (68,25-98,45) против 28,4 (13,7-65,44) в ГС, p = 0,0048). С одной стороны, это свидетельствует о повышенной цитотоксической активности НГ [4], что может служить компенсаторным изменением в ответ на сниженную фагоцитарную функцию, а с другой стороны, плотность экспрессии CD16 положительно коррелирует со степенью зрелости НГ, и ее повышение в совокупности со снижением плотности экспрессии CD62L указывает на старение НГ [8].
Рисунок 1. Процентное содержание и фенотипические характеристики CD64-CD32+CD16+CD11b+НГ (А) и CD64+CD32+CD16+CD11b+НГ (Б)
Figure 1. Percentage and phenotypic characteristics of CD64-CD32+CD16+CD11b+NG (A) and CD64+CD32+CD16+CD11b+NG (B)
Кроме того, в ГИ1 отмечается более низкая плотность экспрессии CD11b в обеих субпопуляциях НГ: в мажорной субпопуляции – 12,6 (10,8- 14,78) против 32,3 (23,55-38,85) в ГС (p = 0,0019), в минорной субпопуляции – 15,3 (13,15-16,55) против 31,1 (23,95-42,1) в ГС (p = 0,0004), что свидетельствует о нарушении способности НГ к хемотаксису, миграции, адгезии, а при совместной работе с другими рецепторами к фагоцитозу и антителозависимой клеточной цитотоксичности, что в совокупности приводит к дисрегуляции функциональной активности НГ [5].
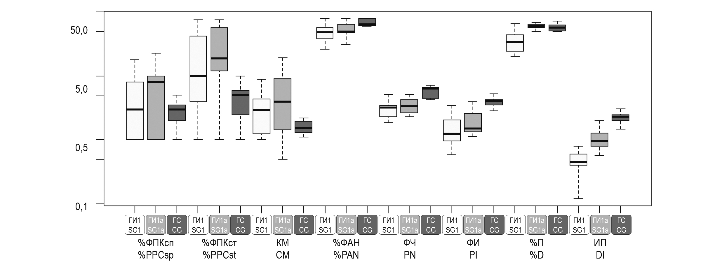
Показатели фагоцитарной активности НГ пациентов ГИ1 также демонстрируют значительные изменения по сравнению с ГС (рис. 2). Так, выявлено статистически значимое снижение %ФАН (49 (38-58) %, p = 0,006), ФЧ (3,19 (2,28-3,43), p = 0,0025), ФИ (1,26 (0,96-2,05), p = 0,0002), %П (34 (24,59-44,67) %, p = 0,0029) и ИП (0,45 (0,4- 0,6), p = 0,0009) у пациентов ГИ1 относительно ГС (65 (62-79,5) %; 6,3 (4,5-6,7); 4,026 (3,538-4,241); 58 (51,5-63) %; 2,28 (2,02-2,45) соответственно), что свидетельствует о нарушении как поглотительной, так и переваривающей способности НГ в ГИ1.
Рисунок 2. Показатели фагоцитарной и микробицидной эффекторных функций НГ в ГИ1, ГИ1а и ГС
Figure 2. Indicators of phagocytic and microbicidal effector functions of NG in SG1, SG1a and CG
При этом показатели NADPH-оксидазной активности НГ в ГИ1 соответствуют уровню, отмечаемому в ГС. Так, %ФПКсп в ГИ1 (3 (1-8) %) по сравнению с ГС (3 (2-3,25) % статистически значимо не отличался (p = 1,00), в отношении %ФПКст была отмечена статистически незначимая (p = 0,397) тенденция к повышению в ГИ1 (10 (4-42) %) по сравнению с ГС (5 (2,75-6) %), коэффициент мобилизации в ГИ1 (2,94 (1,25- 4,33)) также статистически значимо не отличался (p = 0,5516) от показателя ГС (1,55 (1,3-1,925)), что, учитывая наличие признаков бактериальной инфекции, говорит о неадекватном ответе микробицидных систем НГ и нарушении продукции активных форм кислорода, отсутствии резервного мобилизационного потенциала.
После инкубации с ГП процентное содержание мажорной субпопуляции НГ в ГИ1а повысилось (p = 0,0492, rrb = 0,73 (95% ДИ: 0,42-1,00)) и составило 93,56 (81,19-95,00) %, статистически значимо не отличаясь от показателя ГС (p = 0,756). Процентное содержание минорной субпопуляции НГ после инкубации снизилось с высокой величиной эффекта (rrb = 0,63 (95% ДИ: 0,26- 1,00), p = 0,1198) и соответствовало уровню ГС (p = 0,066), что указывает на позитивный эффект в виде изменения соотношения субпопуляций НГ под действием ГП в сторону преобладания мажорной субпопуляции НГ, как и в ГС.
Кроме того, в ГИ1а отмечалась высокая величина эффекта – повышение плотности экспрессии CD11b на НГ субпопуляции CD64-CD32+CD16+CD11b+ (14,78 (12,62-17,16), p = 0,2273, rrb = 0,6 (95% ДИ: 0,21-1,00)) и субпопуляции CD64+CD32+CD16+CD11b+НГ (18,1 (11,49-19,11), p = 0,3408, rrb = 0,56 (95% ДИ: 0,15-1,00)), которое, однако, не достигло уровней ГС.
Также выявлено статистически незначимое снижение MFI CD16 в ГИ1а со средней величиной эффекта как на НГ субпопуляции CD64-CD32+CD16+CD11b+ (69,50 (56,50-75,95), p = 0,7841, rrb = 0,33 (95% ДИ: -0,14-1,00)), так и на НГ субпопуляции CD64+CD32+CD16+CD11b+ (82,80 (65,75-90,55), p = 0,614, rrb = 0,38 (95% ДИ: -0,08-1,00)).
Важно отметить, что инкубация с ГП способствовала частичному восстановлению фагоцитарной функции НГ, о чем свидетельствует статистически значимое выраженное повышение переваривающей способности НГ: %П (60 (56,95- 64,24) %, p = 0,0049, rrb = 0,96 (95% ДИ: 0,88-1,00)) и ИП (0,96 (0,8-1,29), p = 0,004, rrb = 0,98 (95% ДИ: 0,94-1,00)). При этом повышение %ФАН (50 (47- 65) %, p = 0,6366, rrb = 0,4 (95% ДИ: -0,1-1,00)) имело среднюю степень выраженности эффекта, а повышение ФЧ (3,39 (2,65- 4,26), p = 1,00, rrb = 0,25 (95% ДИ: 0,25- 1,00)) и ФИ (1,51 (1,35-2,59), p = 1,00, rrb = 0,25 (95% ДИ: -0,25-1,00)) имело низкую величину и не являлось статистически значимым, что может быть обусловлено сохраняющимся нарушением процессов захвата бактериального антигена у пациентов ГИ1а.
Инкубация с ГП не привела к существенным изменениям NADPH-оксидазной активности НГ в спонтанном NBT-тесте, на что указывает отсутствие статистически значимых различий между %ФПКсп в ГИ1 до (3 (1-8) %) и после инкубации (8 (1-10) %, p = 1,00, rrb = 0,22 (95% ДИ: 0,28-1,00)). Однако под влиянием ГП NADPH-оксидазная активность НГ в ответ на стимуляцию улучшилась, о чем говорит высокая величина повышения %ФПКст в ГИ1а (19 (12-58) %, p = 0,4817, rrb = 0,5 (95% ДИ: 0,03-1,00)) и наметилась тенденция к восстановлению резервного микробицидного потенциала.
Заключение
Таким образом, у иммунокомпрометированных пациентов пожилого и старческого возраста с ХОБЛ выявлено изменение соотношения субпопуляций НГ, выражающееся в увеличении доли минорной субпопуляции CD64+CD32+CD16+CD11b+НГ, свидетельствующей о наличии бактериальной инфекции и неблагоприятном течении ХОБЛ с частым рецидивированием и затяжным течением вследствие отсутствия своевременного клиренса бактериальных антигенов и поддержания воспалительного процесса. Фенотипические изменения субпопуляций НГ CD64+CD32+CD16+CD11b+ и CD64-CD32+CD16+CD11b+ ассоциированы с повышением плотности экспрессии CD16 – рецептора, увеличение экспрессии которого может свидетельствовать об активации клеток и в то же время быть признаком зрелости НГ, а также снижением плотности экспрессии CD11b. Перераспределение экспрессии поверхностных мембранных рецепторов на НГ существенно влияет на функциональный эффекторный потенциал НГ, снижая фагоцитарную и микробицидную функции у пациентов с ХОБЛ. При оценке величины эффекта влияния ГП в системе in vitro на НГ отмечалась высокая величина эффекта – повышение содержания мажорной субпопуляции НГ и снижение содержания минорной субпопуляции НГ, повышение плотности экспрессии CD11b на НГ обеих субпопуляций, повышение переваривающей активности НГ (%П, ИП), повышение NADPH-оксидазной активности НГ в ответ на стимуляцию, средняя величина эффекта – снижение плотности экспрессии CD16 и повышение количества активно фагоцитирующих НГ, низкая величина эффекта выявлена в отношении параметров, характеризующих процессы захвата при фагоцитарной реакции, а также спонтанной NADPH-оксидазной активности НГ. Исследованиями продемонстрирована позитивная модификация функционирования НГ под влиянием ГП в эксперименте in vitro, сопровождающаяся восстановлением соотношения субпопуляций CD64+CD32+CD16+CD11b+НГ и CD64-CD32+CD16+CD11b+НГ и ремоделированием их фенотипа на фоне улучшения эффекторных функций НГ, что позиционирует возможность использования ГП для направленной коррекции дисфункций НГ при иммуностарении и дальнейшие перспективы для проведения клинических исследований по применению фармпрепарата ГП у иммунокомпрометированных пациентов пожилого и старческого возраста.
About the authors
Svetlana V. Kovaleva
Kuban State Medical University
Author for correspondence.
Email: 3483335@mail.ru
ORCID iD: 0000-0002-9604-5806
PhD, MD (Medicine), Senior Researcher of the Department of Clinical and Experimental Immunology and Molecular Biology, Central Research Laboratory,Professor of the Department of Clinical Immunology, Allergology and Laboratory Diagnostics
Russian Federation, 4 Mitrofan Sedin St, Krasnodar, 350063Elisey A. Poezzhaev
Kuban State Medical University
Email: epoezzhaev.ep@gmail.com
ORCID iD: 0009-0009-9203-6847
Postgraduate Student, Department of Clinical Immunology, Allergology and Laboratory Diagnostics
Russian Federation, 4 Mitrofan Sedin St, Krasnodar, 350063Yuriy V. Teterin
Kuban State Medical University
Email: yura.teterin.1989@mail.ru
ORCID iD: 0000-0002-3073-5070
Assistant Professor, Department of Clinical Immunology, Allergology and Laboratory Diagnostics
Russian Federation, 4 Mitrofan Sedin St, Krasnodar, 350063Svetlana N. Pikturno
Kuban State Medical University
Email: spikturno@yandex.ru
ORCID iD: 0000-0001-9376-3397
Assistant Professor, Department of Clinical Immunology, Allergology and Laboratory Diagnostics
Russian Federation, 4 Mitrofan Sedin St, Krasnodar, 350063References
- Ковалева С.В., Чапурина В.Н., Ломтатидзе Л.В., Лягуша Д.Э., Тетерин Ю.В., Барова Н.К., Мелконян К.И. Синтетический тимический гексапептид в коррекции нарушений антибактериальной иммунной защиты и нормализации профиля провоспалительных цитокинов у иммунокомпрометированных детей с местным неотграниченным острым перитонитом // Инфекция и иммунитет, 2024. Т. 14, № 3. С. 615-622. [Kovaleva S.V., Chapurina V.N., Lomtatidze L.V., Lyagusha D.E., Teterin Yu.V., Barova N.K., Melkonyan K.I. Synthetic thymic hexapeptide in the correction of alterations of antibacterial immune defense and normalization of the profile of proinflammatory cytokines in immunocompromized children with local unlimited acute peritonitis. Infektsiya i immunitet = Russian Journal of Infection and Immunity, 2024, Vol. 14, no. 3, pp. 615-622. (In Russ.)] doi: 10.15789/2220-7619-STH-16743.
- Маркова Т.П., Чувиров Д.Г. Имунофан в комплексном лечении детей c повторными респираторными заболеваниями и микоплазменной инфекцией // Эффективная фармакотерапия, 2022. Т. 18, № 12. С. 12-18. [Markova T.P., Chuvirov D.G. Imunofan in the complex treatment of children with recurrent respiratory diseases and mycoplasma infection. Effektivnaya farmakoterapiya = Effective Pharmacotherapy, 2022, Vol. 18, no. 12, pp. 12-18. (In Russ.)]
- Нестерова И.В., Ковалева С.В., Чудилова Г.А., Поезжаев Е.А., Пирогова А.И., Чапурина В.Н., Ломтатидзе Л.В., Тетерин Ю.В., Пиктурно С.Н., Сафонцева А.Д. Клеточные и гуморальные механизмы иммунного старения // Цитокины и воспаление, 2024. Т. 21, № 2. С. 82-91. [Nesterova I.V., Kovaleva S.V., Chudilova G.A., Poezzhaev E.A., Pirogova A.I., Chapurina V.N., Lomtatidze L.V., Teterin Y.V., Pikturno S.N., Safontseva A.D. Cellular and humoral mechanisms of immune aging. Tsitokiny i vospalenie = Cytokines and Inflammation, 2024, Vol. 21, no. 2, pp. 82-91. (In Russ.)]
- Нестерова И.В., Колесникова Н.В., Чудилова Г.А., Ломтатидзе Л.В., Ковалева С.В., Евглевский А.А., Нгуен Т.З.Л. Новый взгляд на нейтрофильные гранулоциты: переосмысление старых догм. Часть 2 // Инфекция и иммунитет, 2018. Т. 8, № 1. C. 7-18. [Nesterova I.V., Kolesnikova N.V., Chudilova G.A., Lomtatidze L.V., Kovaleva S.V., Evglevsky A.A., Nguyen T.Z.L. The new look at neutrophilic granulocytes: rethinking old dogmas. Part 2. Infektsiya i immunitet = Russian Journal of Infection and Immunity, 2018, Vol. 8, no. 1, pp. 7-18. (In Russ.)] doi: 10.15789/2220-7619-2018-1-7-18.
- Чудилова Г.А., Нестерова И.В., Павленко В.Н., Тетерин Ю.В., Барова Н.К., Тараканов В.А. Вариации фенотипа субпопуляций CD64-CD32+CD16+CD11b+ и CD64+CD32+CD16+CD11b+ нейтрофильных гранулоцитов, ассоциированные с нарушениями фагоцитарной и микробицидной активности при различных формах перитонита у детей // Аллергология и иммунология, 2021. Т. 22, № 1. С. 28-35. [Chudilova G.A., Nesterova I.V., Pavlenko V.N., Teterin Yu.V., Barova N.K., Tarakanov V.A. Variations in the phenotype of subpopulations CD64-CD32+CD16+CD11b+ and CD64+CD32+CD16+CD11b+ neutrophilic granulocytes associated with disorders of phagocytic and microbicidal activity at various forms of peritonitis in children. Allergologiya i immunologiya = Allergology and Immunology, 2021, Vol. 22, no. 1, pp. 28-35. (In Russ.)]
- Aging Biomarker Consortium; Bao H., Cao J., Chen M., Chen M., Chen W., Chen X., Chen Y., Chen Y., Chen Y., Chen Z., Chhetri J.K., Ding Y., Feng J., Guo J., Guo M., He C., Jia Y., Jiang H., Jing Y., Li D., Li J., Li J., Liang Q., Liang R., Liu F., Liu X., Liu Z., Luo O.J., Lv J., Ma J., Mao K., Nie J., Qiao X., Sun X., Tang X., Wang J., Wang Q., Wang S., Wang X., Wang Y., Wang Y., Wu R., Xia K., Xiao F.H., Xu L., Xu Y., Yan H., Yang L., Yang R., Yang Y., Ying Y., Zhang L., Zhang W., Zhang W., Zhang X., Zhang Z., Zhou M., Zhou R., Zhu Q., Zhu Z., Cao F., Cao Z., Chan P., Chen C., Chen G., Chen H.Z., Chen J., Ci W., Ding B.S., Ding Q., Gao F., Han J.J., Huang K., Ju Z., Kong Q.P., Li J., Li J., Li X., Liu B., Liu F., Liu L., Liu Q., Liu Q., Liu X., Liu Y., Luo X., Ma S., Ma X., Mao Z., Nie J., Peng Y., Qu J., Ren J., Ren R., Song M., Songyang Z., Sun Y.E., Sun Y., Tian M., Wang S., Wang S., Wang X., Wang X., Wang Y.J., Wang Y., Wong C.C.L., Xiang A.P., Xiao Y., Xie Z., Xu D., Ye J., Yue R., Zhang C., Zhang H., Zhang L., Zhang W., Zhang Y., Zhang Y.W., Zhang Z., Zhao T., Zhao Y., Zhu D., Zou W., Pei G., Liu G.H. Biomarkers of aging. Sci. China Life Sci., 2023, Vol. 66, no. 5, pp. 893-1066.
- Barbé-Tuana F., Funchal G., Schmitz C.R.R., Maurmann R.M., Bauer M.E. The interplay between immunosenescence and age-related diseases. Semin. Immunopathol., 2020, Vol. 42, no. 5, pp. 545-557.
- Fraser J.A., Kemp S., Young L., Ross M., Prach M., Hutchison G.R., Malone E. Silver nanoparticles promote the emergence of heterogeneic human neutrophil sub-populations. Sci. Rep., 2018, Vol. 8, no. 1, 7506. doi: 10.1038/s41598-018-25854-2.
- Liu Y., Xiang C., Que Z., Li C., Wang W., Yin L., Chu C., Zhou Y. Neutrophil heterogeneity and aging: implications for COVID-19 and wound healing. Front. Immunol., 2023, Vol. 14, 1201651. doi: 10.3389/fimmu.2023.1201651.
- Serov D., Tikhonova I., Safronova V., Astashev M. Calcium activity in response to nAChR ligands in murine bone marrow granulocytes with different Gr-1 expression. Cell Biol. Int., 2021, Vol. 45, no. 7, pp. 1533-1545.
Supplementary files





