Humoral immune response to C. kefirresidentii and S. epidermidis as pathobiotic components of tuberculosis foci
- Authors: Orlova E.A.1, Ogarkov O.B.1, Kolesnikova L.I.1
-
Affiliations:
- Scientific Center for Family Health and Human Reproduction Problems
- Issue: Vol 28, No 3 (2025)
- Pages: 773-778
- Section: SHORT COMMUNICATIONS
- Submitted: 03.06.2025
- Accepted: 07.06.2025
- Published: 18.09.2025
- URL: https://rusimmun.ru/jour/article/view/17280
- DOI: https://doi.org/10.46235/1028-7221-17280-HIR
- ID: 17280
Cite item
Full Text
Abstract
The role of lung microbiota in tuberculosis has attracted increasing attention, particularly in the context of its interaction with the immune system and its contribution to systemic chronic inflammation. Microorganisms constituting the local microbial environment of tuberculosis lesions may not only generate specific immune signals but also participate in the immunopathogenesis of infection through cross-interactions with the host immune system. In a previously conducted large-scale microbiological screening of facultative anaerobic microbiota in tuberculosis lesions, we isolated two bacterial strains – Corynebacterium kefirresidentii and Staphylococcus epidermidis – from the caseous material of tuberculomas. Based on their microbiological and biochemical characteristics, as well as identified resistance to several first-line antituberculosis drugs, these microorganisms are considered elements of the pathobiota that may contribute to the maintenance of local inflammation in tuberculosis. Cell lysates of these microorganisms were used as sources of potential antigens to assess immune responses. In the present study, a laboratory approach was developed and tested to comparatively evaluate the humoral immune response to components of nonspecific microbiota associated with tuberculosis lesions. The analysis was carried out using a semi-quantitative ELISA with blood serum samples obtained from patients with pulmonary tuberculosis (n = 90) and healthy donors (n = 90). Seroprevalence and levels of specific IgG against C. kefirresidentii were significantly higher in tuberculosis patients compared to the control group (p < 0.05), suggesting a possible involvement of this microorganism in the immunopathogenesis of the disease. In contrast, no statistically significant differences were observed between groups for S. epidermidis, which is likely related to its high prevalence in the general population as a common skin commensal. Although the role of immune responses to S. epidermidis in tuberculosis has not been previously considered, some studies indicate the involvement of certain strains in the pathogenesis of common dermatological disorders. A positive correlation between antibody levels to both microorganisms, observed only in tuberculosis patients (p = 0.001), may indicate a pathological nature of immune interactions in pulmonary tuberculosis. These findings highlight the importance of evaluating humoral responses to microbiota components in the context of tuberculosis and expand our understanding of immune mechanisms accompanying this infectious process.
Full Text
Введение
Гуморальный иммунитет при туберкулезе (ТБ) длительное время считался малозначимым, поскольку Mycobacterium tuberculosis является облигатным внутриклеточным патогеном. Однако более поздние исследования продемонстрировали участие антител в защите от инфекции [7, 9]. Иммунный ответ может также модифицироваться под влиянием неспецифических микроорганизмов, способных вызывать и поддерживать хроническое воспаление в легочной ткани [8]. На этом фоне сателлитная микробиота казеозных очагов в пораженных легких рассматривается как потенциально значимый, но недостаточно изученный фактор, влияющий на патогенез и иммунологические особенности ТБ [3]. Известно, что микробиота кишечника модулирует гуморальный иммунный ответ при системных воспалительных заболеваниях [5, 11], однако данные о гуморальной иммуногенности легочной микробиоты при ТБ отсутствуют.
Ранее в рамках масштабного микробиологического скрининга факультативно-анаэробной микробиоты туберкулем нами были выделены два бактериальных штамма – Corynebacterium kefirresidentii и Staphylococcus epidermidis [2, 4]. С учетом их микробиологических и биохимических характеристик, а также устойчивости к некоторым противотуберкулезным препаратам, данные микроорганизмы рассматриваются как элементы патобиоты, ассоциированной с локальным воспалением при ТБ.
Целью настоящего исследования стал анализ гуморального иммунного ответа у пациентов с ТБ и здоровых доноров к бактериальным антигенам – клеточным лизатам C. kefirresidentii и S. epidermidis.
Материалы и методы
Исследование одобрено локальным этическим комитетом ФГБНУ НЦ ПЗСРЧ (протокол № 4 от 16.11.2020). Все участники подписали информированное согласие.
Микробиологические штаммы C. kefirresidentii и S. epidermidis получены ранее из образцов казеозного некроза от пациентов с ТБ и идентифицированы полногеномным секвенированием [2, 4]. Оба штамма демонстрировали ограниченную устойчивость к антимикобактериальным препаратам первого ряда и обладали характерной ферментативной активностью (липазной – C. kefirresidentii, уреазной и желатиназной – S. epidermidis). Для культивирования микроорганизмов использовали среды LB (Difco, США), BHI Broth (HiMedia, Индия) и Nutrient Broth (Merck, Германия), дополненные 0,1% Tween-80. К 100 мл питательной среды добавляли 1 мл предварительно подготовленных культур и инкубировали при 37 °C в течение ночи с аэрацией при 250 об/мин. Клетки дважды промывали в PBS и подвергали лизису. Для получения клеточных лизатов из-за низкой эффективности стандартного протокола с лизоцимом, подтвержденного методом Брэдфорд и профилем белков при электрофорезе в ПААГ, применяли механическое разрушение клеток в PBS размольными шарами диаметром 0,1 и 0,5 мм из набора ZR BashingBead Lysis Tubes (ZymoResearch, США). Максимальный выход и разнообразие белкового профиля были достигнуты при культивировании C. kefirresidentii на BHI Broth и S. epidermidis на Nutrient Broth. Клеточные лизаты очищали центрифугированием и фильтрацией через 0,22 мкм бактериальные фильтры, концентрацию белков определяли методом Брэдфорд и выравнивали до 1 мг/мл. Полученные лизаты применялись как смеси потенциальных антигенов.
Для оценки гуморального иммунитета в исследование были включены две скрининговые группы без ограничения по полу и возрасту: пациенты с ТБ (n = 90) и здоровые добровольцы (n = 90), не имевшие в анамнезе ТБ или других хронических инфекций. В каждой группе были собраны по 4 парных образца с интервалом не менее 2 месяцев. Кровь центрифугировали, сыворотку отбирали и хранили при -80 °C до момента проведения лабораторного анализа.
Для полуколичественной оценки продукции IgG в ответ на бактериальные антигены штаммов C. kefirresidentii и S. epidermidis использовали метод иммуноферментного анализа (ИФА). 100 мкл клеточных лизатов наносили в лунки планшета в буфере NaHCO3 (0,1 М) и инкубировали при 4 °C на протяжении ночи для сорбции. Блокировка проводилась 10% раствором БСА (37 °C, 1 ч, 500 об/мин). ИФА проводили согласно протоколу тест-системы (Вектор-Бест, Россия). Для подбора оптимальных условий тестирования было проведено титрование антигенов (37,5-2400 нг/ лунку) и сыворотки крови (разведение от 1:12,5 до 1:800) с использованием пулированной сыворотки крови.
Для определения пороговых значений оптической плотности (ОП) использовался алгоритм change-point анализа, основанный на методике, предложенной F. Lardeux и соавт. [6]. Этот метод позволяет объективно разделить распределение значений сигнала ОП на зоны, соответствующие отрицательной, пограничной и положительной реакции. В отличие от классических подходов, где порог задается эмпирически, change-point анализ использует статистические критерии для определения точек излома – значимых изменений в структуре распределения данных. Алгоритм предполагает ранжирование всех значений ОП по возрастанию, после чего оценивается вероятность того, что данные можно разбить на сегменты с разной средней величиной. Оптимальное разбиение определяется на основании максимизации апостериорной вероятности модели.
Таким образом, были сформированы три диапазона: значения ниже первой точки излома (отрицательные реакции), значения между первой и второй точками (неопределенные реакции), значения выше второй точки излома (положительные реакции). Анализ проводился в среде R с использованием пакета BEAST, как рекомендовано в оригинальной работе. Такой подход обеспечивает статистически обоснованную и воспроизводимую интерпретацию результатов ИФА при отсутствии эталонных контрольных значений. Статистический анализ проводили с использованием χ2-критерия и U-критерия Манна–Уитни. Нормальность распределения оценивалась по критерию Шапиро–Уилка. Различия считали статистически значимыми при p < 0,05.
Результаты и обсуждение
Для оптимизации условий проведения ИФА было проведено титрование антигенов C. kefirresidentii и S. epidermidis и сывороток с использованием пулированной сыворотки крови больных ТБ. Концентрация антигенов варьировалась от 37,5 до 2400 нг/лунку, разведение сывороток – от 1:12,5 до 1:800. На основании анализа кривых «ОП – концентрация» (рис. 1) были выбраны оптимальные условия: концентрация антигенов 200 нг/лунку и разведение сыворотки 1:50, обеспечивающие линейность сигнала и оптимальное соотношение «сигнал/шум». Полученные параметры были использованы при последующем анализе индивидуальных образцов.
Рисунок 1. Оптимизация ИФА титрованием пулированной сыворотки крови больных туберкулезом (А) и лизатов C. kefirresidentii и S. epidermidis (Б)
Figure 1. Optimization of ELISA by titration of pooled blood serum from tuberculosis patients (A) and lysates of C. kefirresidentii and S. epidermidis (B)
Для каждого исследуемого антигена (C. kefirresidentii и S. epidermidis) были определены следующие показатели: доля серопозитивных пациентов (серопревалентность), среднее значение ОП для всех образцов и среднее ОП среди серопозитивных образцов, а также статистические сравнения между группами здоровых доноров и больных ТБ (рис. 2).
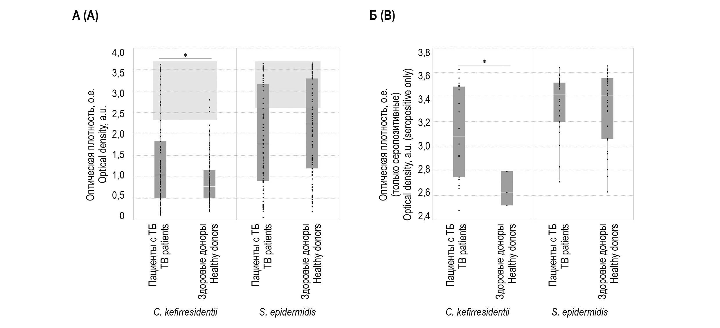
Рисунок 2. Различие серостатусов к лизатам C. kefirresidentii and S. epidermidis: все проанализированные образцы (А), светло-серой зоной обозначен диапазон ОП, соответствующий положительным реакциям по результатам change-point анализа, и только серопозитивные образцы (В)
Figure 2. Differences in serostatus to C. kefirresidentii and S. epidermidis lysates: all analyzed samples (A), with the light gray area indicating the optical density (OD) range classified as positive according to change-point analysis, and seropositive samples only (B)
В группе здоровых доноров при анализе реакции на лизат C. kefirresidentii средняя ОП по всем образцам составила 0,8 (0,5-1,2) о. е., в группе больных – 1,0 (0,5-1,9) о. е. (U = 3290; p = 0,029). Применение change-point анализа позволило распределить образцы на серопозитивные, серонегативные и неопределенные («серая зона»). В группе здоровых доноров серопозитивными оказались 3 человека, серонегативными – 75 человек, серопревалентность составила 3,5±3,9%. Среди больных ТБ серопозитивны – 18 человек, серонегативны – 68, серопревалентность – 20±8,3%, что значимо отличается от здоровых доноров (χ2 = 10,6; p = 0,001). При отдельном анализе образцов, рассматриваемых как серопозитивные, средняя ОП была также выше у больных ТБ и составила 3,1±0,4 о. е. по сравнению с 2,7±0,1 о. е. у здоровых доноров (U = 7; p = 0,049). Таким образом, результаты демонстрируют значимо более высокую частоту позитивных IgG-реакций и уровень сигнала при исследовании C. kefirresidentii у пациентов с ТБ по сравнению со здоровыми донорами. До настоящего времени данных о гуморальном иммунном ответе к данному виду микроорганизмов в литературе представлено не было, что подчеркивает новизну полученных результатов. Наличие у больных ТБ антител к C. kefirresidentii позволяет предположить участие этого микроорганизма в формировании системного иммунного ответа и, потенциально, его диагностическую значимость как маркера локальной бактериальной инфекции.
При анализе реакции на лизат S. epidermidis средняя ОП по всем образцам составила 2,3 (1,2- 3,3) о. е. у здоровых и 1,8 (0,9-3,2) о. е. у больных ТБ (U = 3497; p = 0,1). Согласно change-point анализу в группе здоровых доноров серопозитивными оказались 35 человек, серонегативными – 31 человек, серопревалентность – 38,9±10,1%. В группе больных ТБ серопозитивны – 28 человек, серонегативны – 44 человека, серопревалентность – 31,1±9,6% (χ2 = 2,2; p = 0,14). Среди серопозитивных образцов среднее ОП было одинаковым в обеих группах: 3,4 (3,1-3,6) о. е. у доноров и 3,4 (3,2-3,5) о. е. у больных (U = 487; p = 0,97).
Помимо этого, у пациентов с ТБ, но не у здоровых доноров, обнаружена слабая положительная корреляция между уровнями IgG к антигенам C. kefirresidentii и S. epidermidis (rs = 0,3, p = 0,001), которая может указывать на патологический характер иммунного взаимодействия при ТБ легких.
Полученные данные свидетельствуют о наличии гуморального иммунного ответа на компоненты C. kefirresidentii и S. epidermidis у значительной части больных ТБ. Особенно выражен ответ на C. kefirresidentii, что может быть связано с высокой антигенной нагрузкой или усилением воспаления в присутствии этого микроорганизма. Особенности клеточной стенки этих бактерий, включая наличие миколовых кислот (коринемиколатов) и других липидных компонентов, возможно, способствуют их длительной персистенции и устойчивости к иммунному контролю. Их участие в разжижении казеозного некроза и нарушении границ очага может способствовать прогрессированию инфекции.
Наличие ответа у части здоровых лиц на S. epidermidis, вероятно, связано с постоянным контактом с коагулазонегативными стафилококками на коже и слизистых [1]. Несмотря на свою комменсальную природу, S. epidermidis способен участвовать в патогенезе кожных заболеваний, включая атопический дерматит, благодаря способности к образованию биопленки и модуляции локального врожденного иммунного ответа [10].
Несмотря на полученные значимые результаты, ограничением исследования может быть возможная кросс-реактивность антител, поскольку применение клеточных лизатов может способствовать перекрестной реактивности с белками других представителей родов Corynebacterium и Staphylococcus, что необходимо учитывать при интерпретации полученных результатов.
Заключение
Проведенное исследование демонстрирует, что некоторые микроорганизмы, ассоциированные с туберкулезными очагами, в частности C. kefirresidentii, способны вызывать специфический гуморальный иммунный ответ у больных ТБ, что позволяет рассматривать антитела к ним как потенциальные иммуномаркеры патологического микробного взаимодействия.
About the authors
Elizaveta A. Orlova
Scientific Center for Family Health and Human Reproduction Problems
Author for correspondence.
Email: elizaveta.a.orlova@gmail.com
ORCID iD: 0000-0003-2169-0242
PhD (Biology), Junior Researcher, Laboratory of Epidemic and Social Infections
Russian Federation, 16 Timiryazev St, Irkutsk, 664003Oleg B. Ogarkov
Scientific Center for Family Health and Human Reproduction Problems
Email: obogarkov@mail.ru
ORCID iD: 0000-0002-3168-1983
PhD, MD (Medicine), Head, Institute of Epidemiology and Microbiology
Russian Federation, 16 Timiryazev St, Irkutsk, 664003Lyubov I. Kolesnikova
Scientific Center for Family Health and Human Reproduction Problems
Email: kolesnikova20121@mail.ru
ORCID iD: 0000-0003-3354-2992
PhD, MD (Medicine), Professor of the Russian Academy of Sciences, Full Member of the Russian Academy of Sciences, Scientific Supervisor
Russian Federation, 16 Timiryazev St, Irkutsk, 664003References
- Гульнева М.Ю. Особенности гуморального иммунного ответа на антигены оппортунистических микроорганизмов у больных системной красной волчанкой // Актуальные проблемы медицины, 2021. Т. 44, № 3. С. 278-285. [Gulneva M.Yu. Features of the humoral immune response to antigens of opportunistic microorganisms in patients with systemic lupus erythematosus. Aktualnye problemy mediciny = Challenges in Modern Medicine, 2021, Vol. 44, no. 3, pp. 278-285. (In Russ.)]
- Огарков О.Б., Суздальницкий А.Е., Кондратов И.Г., Букин Ю.С., Орлова Е.А., Синьков В.В., Жданова С.Н., Белькова Н.Л., Рычкова Л.В., Колесникова Л.И. Выделение и полногеномное секвенирование липофильной анаэробной бактерии, представителя видового комплекса Corynebacterium tuberculostearicum, из туберкулезного очага // Acta Biomedica Scientifica, 2023. Т. 8, № 4. С. 12-19. [Ogarkov O.B., Suzdalnitsky A.E., Kondratov I.G., Bukin Yu.S., Orlova E.A., Sinkov V.V., Zhdanova S.N., Belkova N.L., Rychkova L.V., Kolesnikova L.I. Isolation and whole genome sequencing of a lipophilic anaerobic bacterium, a representative of the species complex Corynebacterium tuberculostearicum, from a tuberculosis focus. Acta Biomedica Scientifica = Acta Biomedica Scientifica, 2023, Vol. 8, no. 4, pp. 12-19. (In Russ.)]
- Орлова Е.А., Огарков О.Б., Колесникова Л.И. Особенности микробиоты легких при туберкулезной инфекции // Бюллетень сибирской медицины, 2024. Т. 23, № 1. С. 166-175. [Orlova E.A., Ogarkov O.B., Kolesnikova L.I. Features of the lung microbiota in tuberculosis infection. Byulleten’ sibirskoj mediciny = Bulletin of Siberian Medicine, 2024, Vol. 23, no. 1, pp. 166-175. (In Russ.)]
- Синьков В.В., Орлова Е.А., Огарков О.Б., Суздальницкий А.Е., Кондратов И.Г., Белькова Н.Л., Рычкова Л.В. Геном Staphylococcus epidermidis из казеозного некроза туберкулемы // Генетика, 2024. Т. 60, № 10. С. 129-134. [Sinkov V.V., Orlova E.A., Ogarkov O.B., Suzdalnitsky A.E., Kondratov I.G., Belkova N.L., Rychkova L.V. The genome of Staphylococcus epidermidis isolated from Caseous Tuberculoma. Genetika = Russian Journal of Genetic, 2024, Vol. 60, no. 10, pp. 129-134. (In Russ.)]
- Henriksson G., Bredberg J., Wullt M., Lyrenäs E., Hindorf U., Ohlsson B., Grip O. Humoral response to Clostridium difficile in inflammatory bowel disease, including correlation with immunomodulatory treatment. JGH Open, 2018, Vol. 3, no. 2, pp. 154-158.
- Lardeux F., Torrico G., Aliaga C. Calculation of the ELISA’s cut-off based on the change-point analysis method for detection of Trypanosoma cruzi infection in Bolivian dogs in the absence of controls. Mem. Inst. Oswaldo Cruz, 2016, Vol. 111, no. 8, pp. 501-504.
- Matucci A., Maggi E., Vultaggio A. Cellular and humoral immune responses during tuberculosis infection: useful knowledge in the era of biological agents. J. Rheumatol. Suppl., 2014, Vol. 91, pp. 17-23.
- Ramírez-Labrada A.G., Isla D., Artal A., Arias M., Rezusta A., Pardo J., Gálvez E.M. The influence of lung microbiota on lung carcinogenesis, immunity, and immunotherapy. Trends Cancer, 2020, Vol. 6, no. 2, pp. 86-97.
- Rijnink W.F., Ottenhoff T.H.M., Joosten S.A. B-cells and antibodies as contributors to effector immune responses in tuberculosis. Front. Immunol., 2021, Vol. 12, 640168. doi: 10.3389/fimmu.2021.640168.
- Severn M.M., Horswill A.R. Staphylococcus epidermidis and its dual lifestyle in skin health and infection. Nat. Rev. Microbiol., 2023, Vol. 21, no. 2, pp. 97-111.
- Stoll M.L., Kumar R., Morrow C.D., Lefkowitz E.J., Cui X., Genin A., Cron R.Q., Elson C.O. Altered microbiota associated with abnormal humoral immune responses to commensal organisms in enthesitis-related arthritis. Arthritis Res. Ther., 2014, Vol. 16, no. 1, 486. doi: 10.1186/s13075-014-0486-0.
Supplementary files





