Blood myokine profile in anterior cruciate ligament injury of the knee joint with arthrogenic muscle inhibition
- Authors: Akhmetyanov .R.1,2, Sabiryanov A.R.2
-
Affiliations:
- Chelyabinsk Regional Clinical Hospital
- South Ural State Medical University
- Issue: Vol 28, No 3 (2025)
- Pages: 779-784
- Section: SHORT COMMUNICATIONS
- Submitted: 29.03.2025
- Accepted: 25.05.2025
- Published: 18.09.2025
- URL: https://rusimmun.ru/jour/article/view/17169
- DOI: https://doi.org/10.46235/1028-7221-17169-BMP
- ID: 17169
Cite item
Full Text
Abstract
Arthrogenic muscle inhibition is a poorly studied phenomenon that occurs in 30 to 50% of all capsular-ligamentous injuries in the knee joint. The study of the dynamics of myokine levels in the blood after the injury with development of arthrogenic muscle inhibition is important for understanding the processes of restoration of the motor segment structures. Objective of our study was to analyze the changes in blood myokine contents in patients with arthrogenic muscle inhibition (AMI) caused by traumatic injury to the anterior cruciate ligament (ACL) of knee joint. Materials and methods: The study included 58 men involved in aerobic sports (athletics, swimming, basketball) with ACL injury. To identify the AMI phenomenon, wee performed electromyographic (EMG) study of the straight head of the quadriceps femoris muscle of the injured limb using a 4-channel EMG/EP system “Viking Quest” (Nicolet, USA). Myokine levels in venous blood were determined using ELISA test systems: IL-6 (Vector-Best, Novosibirsk); concentration of transforming growth factor β, decorin, myostatin (Cloud-Clone Corp. (China); VEGF (BioKhimMak CJSC). The control group consisted of 12 healthy men, average age 34.2±2.4 years. Statistical processing of the material was carried out with Statistica. vers.10.0 package (StatSoft Inc., USA). Results. In patients with ACL injury and AMT phenomenon, a significant decrease in blood concentrations of IL-6, transforming growth factor β and proteoglycan – decorin were found like as increased amounts of VEGF and MSTN, which, along with TGF-β, belong to the group of growth factors when compared with the appropriate indices in patients with ACL injury without AMT phenomenon. Discussion: A decrease in the level of IL-6, decorin and VEGF may be a consequence of forced hypokinesia in ACL injury, and the AMT formation may also result from increased myostatin blood levels, which is a negative regulator of myogenesis. Conclusion: The changed myokine concentrations in peripheral blood during traumatic damage to the capsular-ligamentous apparatus of the knee joint clearly suggest an involvement of muscle secretome into traumatic tissue damage and development of arthrogenic muscle inhibition phenomenon.
Full Text
Введение
Ежегодная статистика показывает высокую распространенность травм передней крестообразной связки, достигающую согласно исследованиям 3-8 случаев на тысячу человек [1]. Механизм артрогенного мышечного торможения, развивающийся после повреждения структур коленного сустава, существенно ограничивает эффективность хирургического вмешательства и последующего реабилитационного процесса. По данным исследований [6, 8], нарушение произвольной активации четырехглавой мышцы бедра, значительно замедляет темпы восстановления пациентов после операции.
Патологические изменения афферентной импульсации от коленного сустава при разрыве передней крестообразной связки вызывают артрогенное мышечное торможение, модифицируя активность спинальных и надсегментарных структур, что приводит к снижению сократительной способности мускулатуры через модуляцию кортикальных механизмов. Недостаточное внимание к дисфункциональным изменениям квадрицепса способствует формированию стойкой мышечной гипотрофии, повышая вероятность повторных повреждений и дегенеративных изменений сустава [10]. Мышечное торможение артрогенного характера, возникающее при повреждении структур двигательного сегмента существенно влияет на активность мышечного секретома. Мониторинг концентрации миокинов в системном кровотоке после травм позволяет глубже понять механизмы регенерации соединительнотканных структур, их взаимосвязь с нейроэндокринными и иммунными процессами, особенности метаболических и морфофункциональных изменений в период деструкции и восстановления тканей.
Цель исследования – анализ направленности изменений содержания миокинов в периферической крови пациентов с артрогенным мышечным торможением вследствие травматического повреждения передней крестообразной связки коленного сустава.
Материалы и методы
В клиническом исследовании участвовали пятьдесят восемь спортсменов-мужчин (средний возраст обследуемых 35,2±2,3 года), специализирующихся на аэробных дисциплинах с повреждением передней крестообразной связки, давностью до четырех месяцев (диагноз по МКБ-10 S83.5). Пациенты поступили в травматологическое отделение Челябинской областной клинической больницы для проведения реконструктивной операции. Диагноз подтверждался на основании проведение тестов Лахмана, определении симптома переднего выдвижного ящика при сгибании под углом 90 градусов, рентгенографическим обследованием. Электромиографическая диагностика четырехглавой мышцы бедра поврежденной конечности выполнялась на аппарате Viking Quest производства Nicolet (США) с регистрацией суммарной поверхностной электромиограммы при максимальном произвольном мышечном сокращении с определением среднеквадратичной амплитуды в микровольтах. Результаты электромиографического исследования позволили распределить пациентов на две группы: двадцать восемь человек с артрогенным мышечным торможением и тридцать без данного феномена. Контрольные показатели были получены при обследовании двенадцати здоровых мужчин, средний возраст которых составил 34,2±2,4 года.
Забор венозной крови у пациентов осуществлялся при госпитализации, утром строго натощак. Определение сывороточной концентрации IL-6 проводилось методом иммуноферментного анализа с применением реагентов производства АО «Вектор-Бест» (г. Новосибирск), длина волны 450 нм, диапазон измерений составлял 0-300 пг/ мл. Количественная оценка содержания трансформирующего фактора роста – β, декорина и миостатина выполнялась с использованием диагностических наборов Cloud-Clone Corp. (КНР). Определение концентрации VEGF производилось посредством тест-системы производства ЗАО «БиоХимМак».
Статистическую обработку полученных результатов выполняли посредством программного обеспечения Statistica версии 10.0, StatSoft Inc. (США). Анализировались медианные значения (Me) совместно с интерквартильным размахом (Q0,25-QQ,75). Межгрупповой анализ осуществлялся при попощи непараметрического критерия Манна–Уитни, с статистической значимостью различий при p ≤ 0,02 учитывая поправку Бонферрони.
Результаты и обсуждение
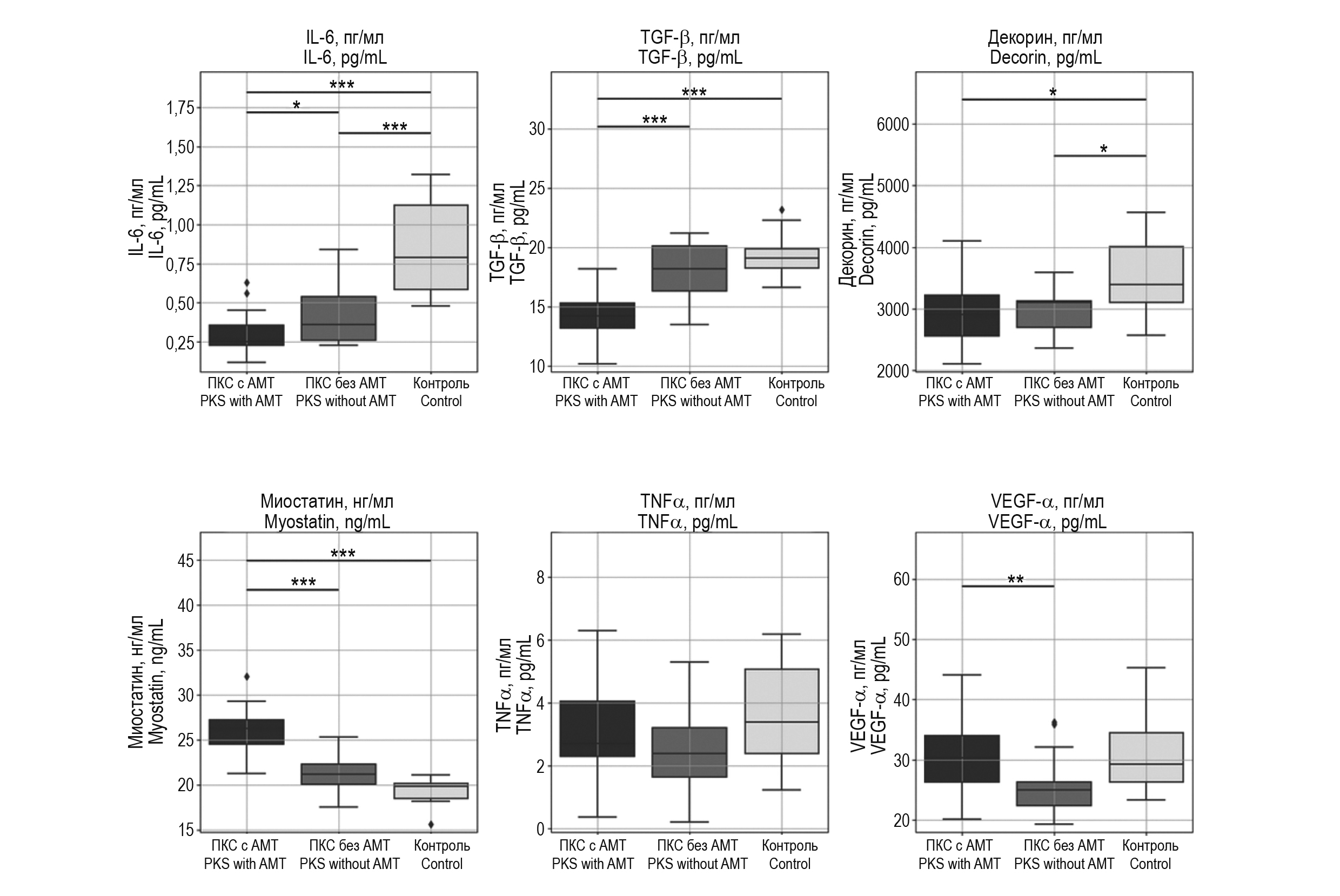
Рисунок 1 демонстрирует уровни некоторых миокинов в крои пациентов с травмой ПКС при наличии и отсутствии феномена АМТ.
Рисунок 1. Уровни миокинов при травме ПКС с наличием феномена АМТ
Figure 1. Myokine levels in ACL injury with the presence of the AMT phenomenon
По результатам исследования пациентов с травмой ПКС и наличием феномена АМТ установлено значимое снижение концентраций IL-6, наиболее изученного представителя мышечного секретома, а также трансформирующего фактора роста β и протеогликана – декорина в крови. Во всех группах уровень IL-6 в крови не выходил за диапазон референсных значений, характерных для данной возрастно-половой когорты. Напротив, концентрации вазоформного цитокина VEGF и миостатина (MSTN), относящихся наряду с TGF-β к группе факторов роста, оказались значимо высокими в сравнении с показателями пациентов с травмой ПКС, но не имеющих феномена АМТ. Уровень TNFα в крови пациентов с травмой ПКС в обеих изучаемых группах пациентов с ПКС не имел значимых различий между собой и группой здоровых лиц.
Известно, что гипокинезия приводит к снижению уровня IL-6 в крови и мышечной ткани, напротив, физическая активность стимулирует его выработку в мышцах [9]. Роль IL-6 не ограничивается участием в острофазовом воспалительном ответе, а повышающая регуляция его концентрации в допустимом физиологическом диапазоне способствует обеспечению активно функционирующих мышц набором энергосубстратов [5]. Наглядным примером может служить IL-6-зависимая активация гликогенолиза в гепатоцитах с параллельным увеличением экспрессии на гепатоцитах и миоцитах транспортера глюкозы 4 типа [2]. Несмотря на то, что нами не зарегистрировано изменений концентрации TNFα при феномене АМТ, имеются данные о синергичном модулирующем взаимодействии TNFα и IL-10, IL-8 на процессы миогенеза. В отношении TGF-β хорошо известно его участие в процессах восстановления, активируя цепочку сигнальных путей, а именно, Smad-белки, Erk1/2, JNK и p38, PI3K, а также через усиление экспрессии VEGF [7]. Снижение VEGF у пациентов с наличием феномена АМТ может отражать отсутствие стимулирующих васкулогенез стимулов при развитии вынужденной гипокинезии. В то же время, экспериментально показано, что VEGF запускает пролиферацию клеток эндотелия кровеносных и лимфатических сосудов в поврежденных тканях на этапе репарации [3].
Миостатин, являющийся членом суперсемейства трансформирующих факторов роста β (TGF-β), является отрицательным регулятором миогенеза, следовательно, его повышение в крови пациентов с наличием гипокинезии артрогенного происхождения может быть закономерным следствием секреторной активности клеток-продуцентов.
Сывороточные концентрации декорина – протеогликана, в подгруппе пациентов с феноменом АМТ имели значимо низкие значения в сравнении с остальными группами. Вынужденное снижение мышечной активности пациентов, приводящее к возникновению реципрокных отношений с миостатином, может быть обусловлено, в том числе, и снижением концентрации декорина, обладающего кроме того антифибротическими, противовоспалительными, антиоксидантными и антиангиогенными свойствами [4].
Выводы
Изменение концентрации миокинов в периферической крови при травматическом повреждении капсульно-связочного аппарата коленного сустава наглядно демонстрируют вовлеченность мышечного секретома в процессы травматического повреждения тканей и формирование феномена артрогенного мышечного торможения.
About the authors
Rustam R. Akhmetyanov
Chelyabinsk Regional Clinical Hospital; South Ural State Medical University
Author for correspondence.
Email: lfksar@mail.ru
ORCID iD: 0009-0002-0074-052X
Traumatologist-Orthopedist, Department of Traumatology and Orthopedics, Applicant, Department of Medical Rehabilitation and Sports Medicine
Russian Federation, 70 Vorovsky St, Chelyabinsk, 454048; ChelyabinskArtur R. Sabiryanov
South Ural State Medical University
Email: lfksar@mail.ru
ORCID iD: 0000-0001-7730-4393
PhD, MD (Medicine), Professor, Head, Department of Medical Rehabilitation and Sports Medicine
Russian Federation, ChelyabinskReferences
- Анастасиева Е.А., Симагаев Р.О., Кирилова И.А. Актуальные вопросы хирургического лечения повреждений передней крестообразной связки (обзор литературы) // Гений ортопедии, 2020. № 1. С. 117-128. [Anastasieva E., Simagaev R., Kirilova I. Topical issues of surgical treatment of injuries of the anterior cruciate ligament (literature review). Geniy ortopedii = Orthopedic Genius, 2020, no. 1, рр. 117-128. (In Russ.)]
- Касьянова Ю.В., Васюкова О.В., Окороков П.Л., Зураева З.Т., Безлепкина О.Б. Миокиновый профиль у подростков с ожирением при аэробных физических нагрузках // Проблемы эндокринологии, 2022. Т. 68, № 4. С102-110. [Kasyanova Yu.V., Vasyukova O.V., Okorokov P.L., Zuraeva Z.T., Bezlepkina O.B. Myokine profile in obese adolescents during aerobic exercise. Problemy endokrinologii = Problems of Endocrinology, 2022, Vol. 68, no.4, pp.102-110. (In Russ.)]
- Светозарский Н.Л., Артифексова А.А., Светозарский С.Н. Фактор роста эндотелия сосудов: биологические свойства и практическое значение (обзор литературы) // Journal of Siberian Medical Sciences, 2015. № 5. С. 24. [Svetozarskiy N.L., Artifeksova A.A., Svetozarskiy S.N. Growth promoting factor of endothelium of vessels: biological properties and practical value (literature review). Journal of siberian medical sciences = Journal of Siberian Medical Sciences, 2015, no. 5, p. 4. (In Russ.)]
- Цориев Т.Т., Белая Ж.Е., Рожинская Л.Я. Роль миокинов в межтканевом взаимодействии и регуляции обмена веществ: обзор литературы // Остеопороз и остеопатии, 2016. Т. 19, № 1. С. 28-34. [Tsoriev T.T., White Zh.E., Rozhinskaya L.Ya. The role of myokines interstitial interaction and regulation of metabolism: a review of literature. Osteoporoz i osteopatii = Osteoporosis and Bone Diseases, 2016, Vol. 19, no. 1, pp. 28-34. (In Russ.)]
- Bugera E.M., Duhamel T.A., Peeler J.D., Cornish S.M. The systemic myokine response of decorin, interleukin-6 (IL-6) and interleukin-15 (IL-15) to an acute bout of blood flow restricted exercise. Eur. J. Appl. Physiol., 2018, Vol. 118, no. 12, pp. 2679-2686.
- Lepley A.S., Lepley L.K. Mechanisms of Arthrogenic Muscle Inhibition. J. Sport Rehabil., 2021, Vol. 31, no. 6, pp. 707-716.
- Li X.Y., Wang Y.L., Yang S., Liao C.S., Li S.F., Han P.F. Correlation between vascular endothelial growth factor A gene polymorphisms and tendon and ligament injury risk: a systematic review and meta-analysis. J. Orthop. Surg. Res., 2024, Vol. 9, no.1, 122. doi: 10.1186/s13018-024-04589-z.
- Norte G., Rush J., Sherman D. Arthrogenic Muscle Inhibition: Best Evidence, Mechanisms, and Theory for Treating the Unseen in Clinical Rehabilitation. J. Sport Rehabil., 2021, Vol. 31, no. 6, pp. 717-735.
- Pedersen B.K. Physical activity and muscle-brain crosstalk. Nat. Rev. Endocrinol., 2019, Vol. 15, no. 7, рр. 383-392.
- Pietrosimone B., Lepley A.S., Kuenze C., Harkey M.S., Hart J.M., Blackburn J.T., Norte G. Arthrogenic Muscle Inhibition Following Anterior Cruciate Ligament Injury. J. Sport Rehabil., 2022, Vol. 31, no. 6, pp. 694-706.
Supplementary files




